MetaGPT智能体开发:智能体入门
MetaGPT智能体开发:智能体入门
完成本节,你将能够:
- 使用现成的智能体
- 开发你的第一个能够执行一个或多个动作的智能体
使用现成的智能体
python
# 可导入任何角色,初始化它,用一个开始的消息运行它,完成!
import asyncio
from metagpt.context import Context
from metagpt.roles.product_manager import ProductManager
from metagpt.logs import logger
async def main():
msg = "Write a PRD for a snake game"
context = Context() # 显式创建会话Context对象,Role对象会隐式的自动将它共享给自己的Action对象
role = ProductManager(context=context)
while msg:
msg = await role.run(msg)
logger.info(str(msg))
if __name__ == '__main__':
asyncio.run(main())
开发你的第一个智能体
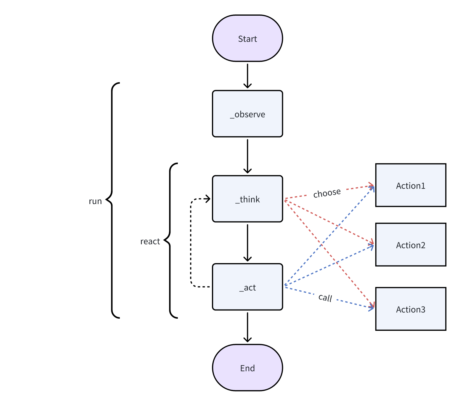
从实际使用的角度考虑,一个智能体要对我们有用,它必须具备哪些基本要素呢?从MetaGPT的观点来看,如果一个智能体能够执行某些动作(无论是由LLM驱动还是其他方式),它就具有一定的用途。简单来说,我们定义智能体应该具备哪些行为,为智能体配备这些能力,我们就拥有了一个简单可用的智能体!MetaGPT提供高度灵活性,以定义您自己所需的行为和智能体。我们将在本节的其余部分指导您完成这一过程。
一个智能体运行周期的流程图

具有单一动作的智能体
假设我们想用自然语言编写代码,并想让一个智能体为我们做这件事。让我们称这个智能体为 SimpleCoder,我们需要两个步骤来让它工作:
- 定义一个编写代码的动作
- 为智能体配备这个动作
定义动作
在 MetaGPT 中,类 Action 是动作的逻辑抽象。用户可以通过简单地调用 self._aask 函数令 LLM 赋予这个动作能力,即这个函数将在底层调用 LLM api。
在我们的场景中,我们定义了一个 SimpleWriteCode 子类 Action。虽然它主要是一个围绕提示和 LLM 调用的包装器,但我们认为这个 Action 抽象更直观。在下游和高级任务中,使用它作为一个整体感觉更自然,而不是分别制作提示和调用 LLM,尤其是在智能体的框架内。
python
from metagpt.actions import Action
class SimpleWriteCode(Action):
PROMPT_TEMPLATE: str = """
Write a python function that can {instruction} and provide two runnnable test cases.
Return ```python your_code_here ``` with NO other texts,
your code:
"""
name: str = "SimpleWriteCode"
async def run(self, instruction: str):
prompt = self.PROMPT_TEMPLATE.format(instruction=instruction)
rsp = await self._aask(prompt)
code_text = SimpleWriteCode.parse_code(rsp)
return code_text
@staticmethod
def parse_code(rsp):
pattern = r"```python(.*)```"
match = re.search(pattern, rsp, re.DOTALL)
code_text = match.group(1) if match else rsp
return code_text
定义角色
在 MetaGPT 中,Role 类是智能体的逻辑抽象。一个 Role 能执行特定的 Action,拥有记忆、思考并采用各种策略行动。基本上,它充当一个将所有这些组件联系在一起的凝聚实体。目前,让我们只关注一个执行动作的智能体,并看看如何定义一个最简单的 Role。
在这个示例中,我们创建了一个 SimpleCoder,它能够根据人类的自然语言描述编写代码。步骤如下:
- 我们为其指定一个名称和配置文件。
- 我们使用
self._init_action函数为其配备期望的动作SimpleWriteCode。 - 我们覆盖
_act函数,其中包含智能体具体行动逻辑。我们写入,我们的智能体将从最新的记忆中获取人类指令,运行配备的动作,MetaGPT将其作为待办事项 (self.rc.todo) 在幕后处理,最后返回一个完整的消息。
python
from metagpt.roles import Role
class SimpleCoder(Role):
name: str = "Alice"
profile: str = "SimpleCoder"
def __init__(self, **kwargs):
super().__init__(**kwargs)
self.set_actions([SimpleWriteCode])
async def _act(self) -> Message:
logger.info(f"{self._setting}: to do {self.rc.todo}({self.rc.todo.name})")
todo = self.rc.todo # todo will be SimpleWriteCode()
msg = self.get_memories(k=1)[0] # find the most recent messages
code_text = await todo.run(msg.content)
msg = Message(content=code_text, role=self.profile, cause_by=type(todo))
return msg
完成!
运行你的角色
现在我们可以让我们的智能体开始工作,只需初始化它并使用一个起始消息运行它。
python
import asyncio
from metagpt.context import Context
async def main():
msg = "write a function that calculates the sum of a list"
context = Context()
role = SimpleCoder(context=context)
logger.info(msg)
result = await role.run(msg)
logger.info(result)
asyncio.run(main)
具有多个动作的智能体
我们注意到一个智能体能够执行一个动作,但如果只有这些,实际上我们并不需要一个智能体。通过直接运行动作本身,我们可以得到相同的结果。智能体的力量,或者说Role抽象的惊人之处,在于动作的组合(以及其他组件,比如记忆,但我们将把它们留到后面的部分)。通过连接动作,我们可以构建一个工作流程,使智能体能够完成更复杂的任务。
假设现在我们不仅希望用自然语言编写代码,而且还希望生成的代码立即执行。一个拥有多个动作的智能体可以满足我们的需求。让我们称之为RunnableCoder,一个既写代码又立即运行的Role。我们需要两个Action:SimpleWriteCode 和 SimpleRunCode
定义动作
首先,定义 SimpleWriteCode。我们将重用上面创建的那个。
接下来,定义 SimpleRunCode。如前所述,从概念上讲,一个动作可以利用LLM,也可以在没有LLM的情况下运行。在SimpleRunCode的情况下,LLM不涉及其中。我们只需启动一个子进程来运行代码并获取结果。我们希望展示的是,对于动作逻辑的结构,我们没有设定任何限制,用户可以根据需要完全灵活地设计逻辑。
python
class SimpleRunCode(Action):
name: str = "SimpleRunCode"
async def run(self, code_text: str):
result = subprocess.run(["python3", "-c", code_text], capture_output=True, text=True)
code_result = result.stdout
logger.info(f"{code_result=}")
return code_result
定义角色
与定义单一动作的智能体没有太大不同!让我们来映射一下:
- 用
self.set_actions初始化所有Action - 指定每次
Role会选择哪个Action。我们将react_mode设置为 "by_order",这意味着Role将按照self.set_actions中指定的顺序执行其能够执行的Action(有关更多讨论,请参见 思考和行动)。在这种情况下,当Role执行_act时,self.rc.todo将首先是SimpleWriteCode,然后是SimpleRunCode。 - 覆盖
_act函数。Role从上一轮的人类输入或动作输出中检索消息,用适当的Message内容提供当前的Action(self.rc.todo),最后返回由当前Action输出组成的Message。
python
class RunnableCoder(Role):
name: str = "Alice"
profile: str = "RunnableCoder"
def __init__(self, **kwargs):
super().__init__(**kwargs)
self.set_actions([SimpleWriteCode, SimpleRunCode])
self._set_react_mode(react_mode="by_order")
async def _act(self) -> Message:
logger.info(f"{self._setting}: to do {self.rc.todo}({self.rc.todo.name})")
# By choosing the Action by order under the hood
# todo will be first SimpleWriteCode() then SimpleRunCode()
todo = self.rc.todo
msg = self.get_memories(k=1)[0] # find the most k recent messages
result = await todo.run(msg.content)
msg = Message(content=result, role=self.profile, cause_by=type(todo))
self.rc.memory.add(msg)
return msg
运行你的角色
现在可以让你的智能体开始工作,只需初始化它并使用一个起始消息运行它。
python
import asyncio
from metagpt.context import Context
async def main():
msg = "write a function that calculates the sum of a list"
context = Context()
role = RunnableCoder(context=context)
logger.info(msg)
result = await role.run(msg)
logger.info(result)
asyncio.run(main)
本节完整脚本
https://github.com/geekan/MetaGPT/blob/main/examples/build_customized_agent.py
通过以下命令运行:
shell
python3 examples/build_customized_agent.py --msg "write a function that calculates the sum of a list"
或在Colab上运行
《DeepSeek高效数据分析:从数据清洗到行业案例》聚焦DeepSeek在数据分析领域的高效应用,是系统讲解其从数据处理到可视化全流程的实用指南。作者结合多年职场实战经验,不仅深入拆解DeepSeek数据分析的核心功能——涵盖数据采集、清洗、预处理、探索分析、建模(回归、聚类、时间序列等)及模型评估,更通过金融量化数据分析、电商平台数据分析等真实行业案例,搭配报告撰写技巧,提供独到见解与落地建议。助力职场人在激烈竞争中凭借先进技能突破瓶颈,实现职业进阶,开启发展新篇。

更多推荐



所有评论(0)