ChatGPT 背后的数学
ChatGPT是由OpenAI开发的语言模型,它使用深度学习在自然语言中生成类似人类的响应。它基于转换器架构,并在大量文本数据语料库上进行训练,以生成连贯且有意义的答案。ChatGPT 背后的数学很复杂,涉及几种深度学习技术。image.png。
ChatGPT是由OpenAI开发的语言模型,它使用深度学习在自然语言中生成类似人类的响应。它基于转换器架构,并在大量文本数据语料库上进行训练,以生成连贯且有意义的答案。ChatGPT 背后的数学很复杂,涉及几种深度学习技术。

image.png
转换器架构
转换器架构是一种深度学习模型,由Vaswani等人在论文“注意力是你所需要的一切”中引入。它是一种神经网络架构,使用自注意机制来处理顺序数据,例如自然语言文本。在转换器架构中,输入序列中的每个单词都由一个嵌入向量表示,该向量被馈送到多个自我注意层中。自我注意机制允许模型关注输入序列中的相关单词,并为每个单词生成上下文感知表示。
转换器架构有几个关键组件,包括多头注意、位置前馈网络和层归一化。这些组件协同工作以生成输入序列的上下文感知表示,然后将其馈送到线性层以生成预测。
损失函数
ChatGPT 使用监督学习方法进行训练,其中模型经过训练以最小化其预测输出与真实标签之间的差异。ChatGPT 中使用的损失函数是交叉熵损失,它测量预测分布与实际分布之间的差异。交叉熵损失的计算方法是取预测分布的负对数似然,然后对所有输出类求和。

75efd4d2a079922bcad2605643fcbf2f_aea08b10da6543ff92cd980ca6af09897a3f1c6805ef42cf96b8b1782297cdd3.png
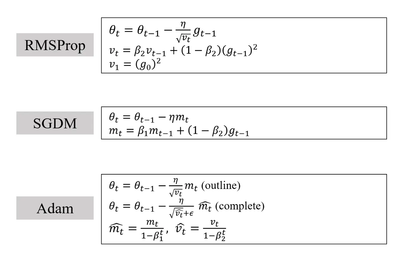
优化
ChatGPT 使用随机梯度下降 (SGD) 的变体进行训练,称为 Adam 优化器。Adam 优化器是一种流行的优化算法,它结合了 SGD 和均方根传播 (RMSProp) 优化算法的优点。Adam 优化器在训练过程中自适应地调整学习率,这有助于模型更快、更准确地收敛。

image.png
结论
ChatGPT 是一种复杂而精密的深度学习模型,它利用转换器架构、损失函数和优化算法以自然语言生成类似人类的响应。
ChatGPT 背后的数学涉及深度学习中的几个关键概念,包括自我注意机制、位置前馈网络、层归一化、交叉熵损失和优化算法。通过理解这些概念,我们可以更深入地了解 ChatGPT 的卓越功能以及深度学习在推进自然语言处理领域的潜力。
AI大模型学习福利
作为一名热心肠的互联网老兵,我决定把宝贵的AI知识分享给大家。 至于能学习到多少就看你的学习毅力和能力了 。我已将重要的AI大模型资料包括AI大模型入门学习思维导图、精品AI大模型学习书籍手册、视频教程、实战学习等录播视频免费分享出来。
一、全套AGI大模型学习路线
AI大模型时代的学习之旅:从基础到前沿,掌握人工智能的核心技能!

因篇幅有限,仅展示部分资料,需要点击文章最下方名片即可前往获取
二、640套AI大模型报告合集
这套包含640份报告的合集,涵盖了AI大模型的理论研究、技术实现、行业应用等多个方面。无论您是科研人员、工程师,还是对AI大模型感兴趣的爱好者,这套报告合集都将为您提供宝贵的信息和启示。

因篇幅有限,仅展示部分资料,需要点击文章最下方名片即可前往获
三、AI大模型经典PDF籍
随着人工智能技术的飞速发展,AI大模型已经成为了当今科技领域的一大热点。这些大型预训练模型,如GPT-3、BERT、XLNet等,以其强大的语言理解和生成能力,正在改变我们对人工智能的认识。 那以下这些PDF籍就是非常不错的学习资源。

因篇幅有限,仅展示部分资料,需要点击文章最下方名片即可前往获
四、AI大模型商业化落地方案

因篇幅有限,仅展示部分资料,需要点击文章最下方名片即可前往获
作为普通人,入局大模型时代需要持续学习和实践,不断提高自己的技能和认知水平,同时也需要有责任感和伦理意识,为人工智能的健康发展贡献力量
更多推荐


所有评论(0)