大模型面试必备03——llama文章精读
LLaMA是一个系列模型,模型参数量从7B到65B。在大部分的任务上,LLaMA-13B强于GPT-3(175B)。LLaMA-65B的性能,可以和最好的LM相媲美,如Chinchilla-70B 和PaLM-540B。
llama系列:meta公司旗下
llama1系列

论文地址:https://arxiv.org/pdf/2302.13971
代码地址:https://link.zhihu.com/?target=https%3A//github.com/facebookresearch/llama
参考博客:https://zhuanlan.zhihu.com/p/632102048
LLaMA 是目前为止,效果最好的开源 LLM 之一。精读 LLaMA 的论文及代码,可以很好的了解 LLM 的内部原理。本文对 LLaMA 论文进行了介绍,同时附上了关键部分的代码,并对代码做了注释。
摘要
LLaMA是一个系列模型,模型参数量从7B到65B。在大部分的任务上,LLaMA-13B强于GPT-3(175B)。LLaMA-65B的性能,可以和最好的LM相媲美,如Chinchilla-70B 和 PaLM-540B。
一、引言
一般而言,模型越大,效果越好。然而有文献指出([1]),当给定计算量的预算之后,最好的performance,并不是最大的模型,而是在一个小模型上用更多的数据进行训练。针对给定的计算量预算,scaling laws可以计算如何选择数据量的大小和模型的大小。然而这忽略了inference的预算,而这一点在模型推理时非常关键。当给定一个模型performance目标之后,最好的模型不是训练最快的模型,而是推理最快的模型。尽管在这种情况下,训练一个更大的模型成本会更低。
文献([2])中推荐,训练一个 10B 的模型,需要 200B 的 tokens,而本文的实验发现,一个7B的模型,经过 1T tokens 训练之后,performance 仍然在增加。本文的目标在于,通过在超大规模的数据上训练,给出一系列可能最好 performance 的 LLM。
总结:
-
在预算有限的条件下,小模型+大数据效果更好(Hoffmann et al., 2022)
-
推理速度比训练速度更重要
-
7B的模型,在1T tokens 训练之后,仍有上升空间
-
LlaMA-13B 在大多数的测试上,实现了对 175B 的 GPT-3(不开源) 的超越
-
LlaMA-13B 可以在单块 GPT 上运行,实现大模型技术的民主化
-
LlaMA-65B 超越 540B的 PaLM
-
完全基于公开数据集
二、预训练数据
2.1 数据集
一共有1.4T的tokens,大部分的训练数据都只用了一次,除了Wikipedia 和 Books 使用了大概2个epochs。
CommonCrawl (占 67%):包含 2017 到 2020 的5个版本,预处理部分包含:删除重复数据,去除掉非英文的数据,并通过一个 n-gram 语言模型过滤掉低质量内容。
C4 (占 15%):在探索性实验中,作者观察到使用不同的预处理 CommonCrawl 数据集可以提高性能,因此在预训练数据集中加了 C4。预处理部分包含:删除重复数据,过滤的方法有一些不同,主要依赖于启发式方法,例如标点符号的存在或网页中的单词和句子的数量。
Github (占 4.5%):在 Github 中,作者只保留在 Apache、BSD 和 MIT 许可下的项目。此外,作者使用基于行长或字母数字字符比例的启发式方法过滤低质量文件,并使用正则表达式删除标题。最后使用重复数据删除。
Wikipedia (占 4.5%):作者添加了 2022 年 6-8 月的 Wikipedia 数据集,包括 20 种语言,作者处理数据以删除超链接、评论和其他格式样板。
Gutenberg and Books3 (占 4.5%):作者添加了两个书的数据集,分别是 Gutenberg 以及 ThePile (训练 LLM 的常用公开数据集) 中的 Book3 部分。处理数据时作者执行重复数据删除,删除内容重叠超过 90% 的书籍。
ArXiv (占 2.5%):为了添加一些科学数据集,作者处理了 arXiv Latex 文件。作者删除了第一部分之前的所有内容,以及参考文献。还删除了 .tex 文件的评论,以及用户编写的内联扩展定义和宏,以增加论文之间的一致性。
Stack Exchange (占 2%):作者添加了 Stack Exchange,这是一个涵盖各种领域的高质量问题和答案网站,范围从计算机科学到化学。作者从 28 个最大的网站保留数据,从文本中删除 HTML 标签并按分数对答案进行排序。

2.2 tokenizer
使用byte pair encoding (BPE) 算法,使用的是Sentence-Piece的实现。所有数字被拆分为单独的digit,所有未知的UTF-8 字符,回退到字节来进行分解。因此,LLaMA 可以通过byte 的方式,构造出很多不在 vocab 中的字符,从而也具有较好的多语言能力。

import os # 导入 os 模块,用于操作系统功能,如文件路径
from logging import getLogger # 从 logging 模块导入 getLogger,用于日志记录
from typing import List # 从 typing 模块导入 List,用于指定列表类型的注释
from sentencepiece import SentencePieceProcessor # 从 sentencepiece 导入 SentencePieceProcessor,用于文本分词和编码/解码
logger = getLogger() # 获取一个日志记录器对象
class Tokenizer:
"""使用 SentencePiece 进行文本的分词和编码/解码。"""
def __init__(self, model_path: str):
"""
使用 SentencePiece 模型初始化 Tokenizer。
参数:
model_path (str): SentencePiece 模型文件的路径。
"""
# 重新加载分词器
assert os.path.isfile(model_path), model_path # 断言模型路径是一个文件,如果不是则抛出异常
self.sp_model = SentencePieceProcessor(model_file=model_path) # 加载 SentencePiece 模型
logger.info(f"Reloaded SentencePiece model from {model_path}") # 记录日志,表示模型已重新加载
# 设置开始(BOS)/结束(EOS)标记的 ID
self.n_words: int = self.sp_model.vocab_size() # 词汇表大小
self.bos_id: int = self.sp_model.bos_id() # 开始标记的 ID
self.eos_id: int = self.sp_model.eos_id() # 结束标记的 ID
self.pad_id: int = self.sp_model.pad_id() # 填充(PAD)标记的 ID
logger.info(
f"#words: {self.n_words} - BOS ID: {self.bos_id} - EOS ID: {self.eos_id}"
) # 记录词汇表大小和各标记的 ID
assert self.sp_model.vocab_size() == self.sp_model.get_piece_size() # 确保词汇表大小与分词器的大小一致
def encode(self, s: str, bos: bool, eos: bool) -> List[int]:
"""
将字符串编码成一个 token ID 列表。
参数:
s (str): 要编码的输入字符串。
bos (bool): 是否在序列开始处添加开始标记。
eos (bool): 是否在序列结束处添加结束标记。
返回:
List[int]: token ID 的列表。
"""
assert type(s) is str # 断言输入是字符串类型
t = self.sp_model.encode(s) # 使用 SentencePiece 模型编码字符串
if bos:
t = [self.bos_id] + t # 如果需要,添加开始标记
if eos:
t = t + [self.eos_id] # 如果需要,添加结束标记
return t
def decode(self, t: List[int]) -> str:
"""
将 token ID 列表解码成字符串。
参数:
t (List[int]): 要解码的 token ID 列表。
返回:
str: 解码后的字符串。
"""
return self.sp_model.decode(t) # 使用 SentencePiece 模型解码 token ID 列表
三、网络结构改进
使用了基于transformer的架构,并做了如下3点改进:
3.1 Pre-normalization
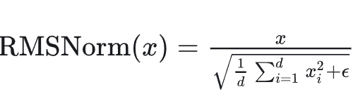
Root Mean Square Normalization,是一种归一化技术,用于深度神经网络中,特别是在处理序列数据时(如在自然语言处理任务中)。这种技术的目的是通过调整网络层的输入来改善训练过程的稳定性和效率。
数学原理
RMSNorm 归一化的基本数学原理是对每个神经元的激活进行标准化。给定一个输入张量 x,其每个元素表示一个神经元的激活值。RMSNorm 通过以下步骤进行归一化:
-
平方和的平均值:首先,计算输入张量
x在最后一个维度(通常是特征或通道维度)上每个元素的平方的均值。这相当于计算每个特征(或每个时间步长)的均方值。 -
均方根(Root Mean Square, RMS):然后,对上述平方和的均值求平方根的倒数(即
rsqrt),为了避免除以零的问题,在这个步骤中加入一个小的正数ε(epsilon),提高数值稳定性。 -
应用归一化:最后,将这个标准化因子应用于原始输入
x,从而得到归一化后的输出。
其数学公式可以表示为:

在这个公式中:
−x是输入向量(通常是神经网络层的输出)。−d是向量x的维度。−xi是向量x中的第i个元素。−epsilon是一个非常小的数,用来避免除以零,通常设置为1e−8或类似的小数。−分母是\(x\)各元素平方的均值的平方根,这就是“RootMeanSquare(均方根)”的来源。
RMSNorm 的目的是对输入向量进行归一化,以保持其范数接近 1,这有助于防止训练过程中的梯度消失或爆炸问题。RMS Norm 的作者认为这种模式在简化了Layer Norm 的计算,可以在减少约 7%∼64% 的计算时间([3])。
和 LayerNorm 对比:
-
计算复杂性:
RMSNorm的计算通常比LayerNorm简单,因为它不涉及计算均值。 -
对于序列长度的适应性:两者都适用于处理序列数据,尤其是在自然语言处理中。但
RMSNorm在处理非常长的序列时可能表现更好,因为它不依赖于均值的计算。 -
稳定性和效率:两者都旨在提高训练过程的稳定性和效率,但它们在处理不同类型的数据集和网络结构时的表现可能有所不同
-
import torch import torch.nn as nn class RMSNorm(torch.nn.Module): # 定义一个继承自 torch.nn.Module 的 RMSNorm 类 def __init__(self, dim: int, eps: float = 1e-6): """ 初始化 RMSNorm 归一化层。 参数: dim (int): 输入张量的维度。 eps (float, optional): 为了数值稳定性添加到分母的小值,默认为 1e-6。 属性: eps (float): 为了数值稳定性添加到分母的小值。 weight (nn.Parameter): 可学习的缩放参数。 """ super().__init__() # 调用父类的初始化方法 self.eps = eps # 存储数值稳定性参数 self.weight = nn.Parameter(torch.ones(dim)) # 初始化可学习的缩放参数 def _norm(self, x): """ 对输入张量应用 RMSNorm 归一化。 参数: x (torch.Tensor): 输入张量。 返回: torch.Tensor: 归一化后的张量。 """ # 计算归一化值,使用均方根(RMS)作为分母 return x * torch.rsqrt(x.pow(2).mean(-1, keepdim=True) + self.eps) def forward(self, x): """ RMSNorm 层的前向传播。 参数: x (torch.Tensor): 输入张量。 返回: torch.Tensor: 应用 RMSNorm 后的输出张量。 """ # 将输入张量转换为 float 类型,应用归一化,然后恢复原始类型 output = self._norm(x.float()).type_as(x) # 应用可学习的缩放参数并返回结果 return output * self.weight3.2 SwiGLU
SwiGLU激活函数(Swish-Gated Linear Unit)被用于替代传统Transformer中的前馈网络(Feed-Forward Network, FFN)模块,其核心作用是通过门控机制和更平滑的非线性响应提升模型表达能力和训练效率。
-

作用一: 增强非线性表达能力
-
门控机制:通过逐元素乘法(⊙)动态调节信息流,允许模型在不同位置选择性地激活或抑制特定特征,类似LSTM/GRU中的门控逻辑。
-
Swish的平滑性:Swish函数在接近零时近似线性,在远离零时饱和,避免了ReLU的“硬截断”问题,梯度更稳定(尤其适合深层网络)。
作用二: 减少参数量的同时保持性能
-
传统FFN的参数规模为2×dmodel×dff(两个线性层),而SwiGLU通过共享输入x并拆分为两个分支(W和V),参数量为2×dmodel×dff+2×dff,但实际中通过调整dff(如缩小至32dmodel)可显著降低计算量,同时性能不降反升(参考LLaMA论文中的消融实验)。
作用三:提升训练稳定性
-
SwiGLU的梯度更平滑,减少了传统ReLU的“神经元死亡”问题(即某些神经元因输出为0而无法更新权重)。
-
门控机制可缓解梯度消失/爆炸,尤其对深层模型(如LLaMA的65B参数版本)至关重要。


SwiGLU 及几种类似变体的计算公式如下:

其中, Swishβ(x)=xσ(βx) 。代码如下:
## Swish 函数
def swish(x, beta=1):
return x * (1 / (1 + np.exp(-beta * x)))
## LLaMA 中的源代码
def forward(self, x):
return self.w2(F.silu(self.w1(x)) * self.w3(x))
class LlamaMLP(nn.Module):
def __init__(
self,
hidden_size: int,
intermediate_size: int,
hidden_act: str,
):
super().__init__()
self.gate_proj = nn.Linear(hidden_size, intermediate_size, bias=False)
self.down_proj = nn.Linear(intermediate_size, hidden_size, bias=False)
self.up_proj = nn.Linear(hidden_size, intermediate_size, bias=False)
# config 中 hidden_act = 'silu'
# 'silu' 和 'swish' 对应的激活函数均为:SiLUActivation
# https://github.com/huggingface/transformers/blob/717dadc6f36be9f50abc66adfd918f9b0e6e3502/src/transformers/activations.py#L229
self.act_fn = ACT2FN[hidden_act]
def forward(self, x):
# 对应上述公式的 SwiGLU
return self.down_proj(self.act_fn(self.gate_proj(x)) * self.up_proj(x))
从代码可以看到 LlamaMLP 中一共有 3 个 Linear 层,原因就在于 SwiGLU 激活函数比类似 ReLU 的激活函数,需要多一个 Linear 层进行门控。
3.3 RoPE
RoPE 的核心思想是“通过绝对位置编码的方式实现相对位置编码”,可以说是具备了绝对位置编码的方便性,同时可以表示不同 token 之间的相对位置关系。([5]) 不同于原始 Transformers 论文中,将 pos embedding 和 token embedding 进行相加,RoPE 是将位置编码和 query (或者 key) 进行相乘。具体如下:

其中,左侧的矩阵 Rm 表示位置第 m 个位置的位置编码,右侧的向量 qi 表示对应位置的 query 向量。两者相乘,即可得到增加了位置信息的 query (或者 key)。由于 Rm 的稀疏性,上述矩阵乘法可以等价于:

其中 ⊗ 是逐位对应相乘, θi=1000−2i/d 。
RoPE的代码实现如下([6]):
import torch
class LlamaRotaryEmbedding(torch.nn.Module):
def __init__(self, dim, max_position_embeddings=2048, base=10000, device=None):
super().__init__()
# 此处 inv_freq 对应公式中的 theta
inv_freq = 1.0 / (base ** (torch.arange(0, dim, 2).float().to(device) / dim))
self.register_buffer("inv_freq", inv_freq)
self.max_seq_len_cached = max_position_embeddings
t = torch.arange(self.max_seq_len_cached, device=self.inv_freq.device, dtype=self.inv_freq.dtype)
# 此处 freqs 对应公式中的 m * theta, t 对应公式中的 m,表示位置
freqs = torch.einsum("i,j->ij", t, self.inv_freq)
# Different from paper, but it uses a different permutation in order to obtain the same calculation
# 此处和原始公式不同,theta_0 和 theta_0 不再相邻
# 而是分在向量的前半部分和后半部分
emb = torch.cat((freqs, freqs), dim=-1)
dtype = torch.get_default_dtype()
self.register_buffer("cos_cached", emb.cos()[None, None, :, :].to(dtype), persistent=False)
self.register_buffer("sin_cached", emb.sin()[None, None, :, :].to(dtype), persistent=False)
def forward(self, x, seq_len=None):
# x: [bs, num_attention_heads, seq_len, head_size]
if seq_len > self.max_seq_len_cached:
self.max_seq_len_cached = seq_len
t = torch.arange(self.max_seq_len_cached, device=x.device, dtype=self.inv_freq.dtype)
freqs = torch.einsum("i,j->ij", t, self.inv_freq)
# Different from paper, but it uses a different permutation in order to obtain the same calculation
emb = torch.cat((freqs, freqs), dim=-1).to(x.device)
self.register_buffer("cos_cached", emb.cos()[None, None, :, :].to(x.dtype), persistent=False)
self.register_buffer("sin_cached", emb.sin()[None, None, :, :].to(x.dtype), persistent=False)
# 大部分情况下,直接从这里返回
return (
self.cos_cached[:, :, :seq_len, ...].to(dtype=x.dtype),
self.sin_cached[:, :, :seq_len, ...].to(dtype=x.dtype),
)
def rotate_half(x):
"""Rotates half the hidden dims of the input."""
# 此次和原始推导中不同,正负号不是间隔的,而是分前半部分和后半部分。
# 但对于结果没有影响
x1 = x[..., : x.shape[-1] // 2]
x2 = x[..., x.shape[-1] // 2 :]
return torch.cat((-x2, x1), dim=-1)
def apply_rotary_pos_emb(q, k, cos, sin, position_ids):
# The first two dimensions of cos and sin are always 1, so we can `squeeze` them.
cos = cos.squeeze(1).squeeze(0) # [seq_len, dim]
sin = sin.squeeze(1).squeeze(0) # [seq_len, dim]
cos = cos[position_ids].unsqueeze(1) # [bs, 1, seq_len, dim]
sin = sin[position_ids].unsqueeze(1) # [bs, 1, seq_len, dim]
# 对应上图中 RoPE 的简化计算
q_embed = (q * cos) + (rotate_half(q) * sin)
k_embed = (k * cos) + (rotate_half(k) * sin)
return q_embed, k_embed
四、高效实现
加速训练:
-
使用了xformers库。
-
减少了activation checkpointing 中,重新计算 activation 的计算量。手动实现 transformer 层的反向传递函数,保存了计算成本高的 activations,例如线性层的输出。
-
通过使用 model parallelism 和 sequence parallelism 来减少显存的使用量。
-
尽可能地将 activations 的计算和GPU之间的通讯进行并行。
加速效果:
-
65B的模型,在2048个80G的A100 GPU上,可以达到380 tokens/sec/GPU的速度。训练1.4T tokens需要21天。
五、主要结果与结论

LLaMA-13B 优于 GPT-3,尽管只有1/10大小。 LLaMA-65B 是可以与 Chinchilla-70B 和 PaLM-540B 这种最佳的LLM相竞争的模型。经过微调之后,LLaMA的效果有显著的提升。
未来打算发布在更大的语料上预训练上的更大的模型,因为随着数据和模型的增大,可以看到 performance 的稳定提升。
更多推荐


所有评论(0)