DPO微调
🍋🍋AI🍋🍋。
🍋🍋AI学习🍋🍋
🔥系列专栏: 👑哲学语录: 用力所能及,改变世界。
💖如果觉得博主的文章还不错的话,请点赞👍+收藏⭐️+留言📝支持一下博主哦🤞
一、DPO 的核心思想
“语言模型本身就可以作为隐式的奖励模型,无需显式训练 RM。”
更具体地说:
- 给定一个参考策略(通常是 SFT 模型),最优策略与参考策略的概率比直接反映了人类偏好的“隐式奖励”。
- 因此,我们可以直接用偏好数据优化策略模型,而不需要中间的奖励模型或强化学习。
这使得 DPO 成为一种 端到端、稳定、高效、易于实现 的偏好对齐方法。
二、数学原理
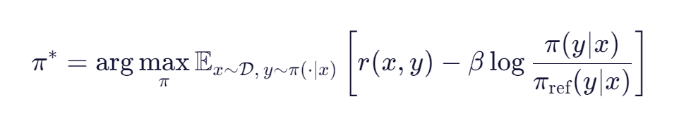
1. RLHF 的目标回顾
在 RLHF 中,我们希望找到策略 π∗,使其最大化期望奖励:

其中 r(x,y) 是奖励模型给出的标量分数。
但直接优化这个目标会导致语言崩坏,因此引入 KL 正则项,得到正则化目标:

其中 π ref 是参考策略(如 SFT 模型),β>0 是温度系数。
2. 关键洞察:最优策略的解析形式
对上述目标求导并令梯度为零,可得最优策略的闭式解:

其中 Z(x) 是归一化常数。
移项后得到:

注意:logZ(x) 对同一个 prompt x 是常数,因此在比较两个回答 yw 和 yl 时会被抵消!
于是有:

3. 构造 DPO 损失函数
人类偏好告诉我们:yw 比 yl 更好 ⇒ 希望 r(x,yw)>r(x,yl)
因此,我们可以直接最大化上述差值。采用 Bradley-Terry 偏好模型,定义损失为:

其中:
- πθ:待优化的策略模型(可与 πref 初始化相同)
- π ref:参考模型(冻结,不更新参数)
- σ:sigmoid 函数
- β:控制优化强度的超参数
这就是 DPO 的全部!没有 RM,没有 PPO,只有一次标准的监督训练。
三、DPO 训练流程(Step-by-Step)
输入准备
你需要一个偏好数据集 D={(x,yw,yl)},其中:
- x:用户指令(prompt)
- yw:被人类选中的“更好”回答
- yl:被拒绝的“较差”回答
数据来源:
- 人工标注(如 Anthropic HH、OpenAI Summarize)
- 合成数据(用 GPT-4 生成对比对)
- 在线收集(A/B 测试日志)
模型准备
- 参考模型 πref:通常是一个经过 SFT 的模型(如 Alpaca、Qwen-Chat)。训练过程中冻结。
- 策略模型 πθ:可初始化为 πref,然后微调。
训练过程
对每个 batch:
- 将 (x,yw) 和 (x,yl) 分别输入 πθ 和 πref
- 计算 log-prob:
- logπθ(y∣x)=∑t=1Tlogπθ(yt∣x,y<t)
- 同理计算 logπref(y∣x)
- 计算 logits 差值:
Δ=β([logπθ(yw)−logπref(yw)]−[logπθ(yl)−logπref(yl)])
- 损失:L=−logσ(Δ)
- 反向传播,只更新 πθ
注意:log-prob 需要对整个序列计算(通常忽略 prompt 部分,只算 response 的 token)
四、关键实现细节
1. 如何计算 logπ(y∣x)?
- 使用模型的 token-level logits
- 对 response 部分(不含 prompt)求和:
2. 是否需要 mask prompt?
必须 mask!否则模型会优化 prompt 的 likelihood,导致过拟合。
3. 参考模型是否必须不同?
- 通常 πθ 和 πref 共享初始权重,但训练中 πref 冻结。
- 也可以用更强的模型作 πref(如用 GPT-4 生成参考 log-prob),但需离线计算。
4. 支持 PEFT 吗?
完全支持!DPO + LoRA 是 2025 年最主流的轻量对齐方案。
五、超参数调优指南
| 超参 | 推荐值 | 说明 |
|---|---|---|
| β | 0.1 ~ 0.5 | 核心参数!太小学不到偏好,太大破坏语言质量。常用 0.3 |
| Learning Rate | 1e-6 ~ 5e-6 | 比 SFT 更小,因 DPO 更敏感 |
| Batch Size | 越大越好 | 偏好损失对 batch noise 敏感,建议 ≥ 32(可通过梯度累积) |
| Max Length | 与 SFT 一致 | 通常 1024~2048 tokens |
| Weight Decay | 0.01 | 防止过拟合 |
更多推荐



所有评论(0)