没有嵌入,就没有RAG!第六讲:彻底搞懂文本向量化这件事!
人类通过视觉、听觉、触觉等感官接收信息,最终在大脑中转化为 “神经编码信息”(一种统一的神经信号);而 AI 嵌入技术的本质是将文本、图像、音频等不同类型的信息,转化为统一的 “向量表示”(如 [0.2, 0.5, ..., -0.8] 这样的数值数组),让机器能像人类大脑处理神经信号一样,对这些信息进行 “比较、检索、理解”。
1. 嵌入技术的基本知识
核心逻辑:“把复杂信息翻译成机器能懂的‘通用语言’”
人类通过视觉、听觉、触觉等感官接收信息,最终在大脑中转化为 “神经编码信息”(一种统一的神经信号);而 AI 嵌入技术的本质是将文本、图像、音频等不同类型的信息,转化为统一的 “向量表示”(如 [0.2, 0.5, …, -0.8] 这样的数值数组),让机器能像人类大脑处理神经信号一样,对这些信息进行 “比较、检索、理解”。
嵌入技术的核心是 语义映射—— 用数学方法把文本、图像、音频的 “语义含义” 映射到高维空间中的一个点(向量),使得语义越相似的信息,对应的向量在空间中的距离越近 。具体分三步:
- 信息输入:像图中右侧的 “文本、图像、音频” 一样,将原始信息(可以是任何模态)输入到嵌入模型中。
- 模型编码:嵌入模型(如文本领域的 BERT、图像领域的 CLIP)会对信息进行 “特征提取”—— 比如文本模型会分析单词的上下文、语法、语义;图像模型会识别像素、形状、物体。
- 向量输出:最终输出一个固定长度的向量(如 768 维、3072 维),这个向量就是信息的 “数字指纹”—— 语义越接近的信息,向量的 “数字指纹” 越相似。

在这里插入图片描述
嵌入技术是 RAG(检索增强生成)、语义检索、多模态理解等 AI 应用的 “基石”,核心价值体现在:
- 语义检索:比如在 RAG 系统中,用户问 “黑神话悟空的剧情”,嵌入模型会把问题和文档都转化为向量,通过计算向量相似度,快速找到最相关的文档片段(而不是靠关键词匹配,避免 “同义词搜不到” 的问题)。
- 多模态理解:像图中 AI 处理 “文本、图像、音频” 一样,嵌入技术能让机器把不同模态的信息(如 “黑神话悟空的图片” 和 “黑神话悟空的剧情介绍”)映射到同一向量空间,实现 “以文搜图”“以图搜文”。
- 知识关联:比如把 “孙悟空”“美猴王”“齐天大圣” 的向量拉近,让机器理解它们是同一实体,提升问答的准确性。
1.1 嵌入向量维度
嵌入向量的维度可以理解为:把文本、图片等信息 “压缩” 成一个 “数字列表” 时,这个列表的 “长度”—— 这个长度就是嵌入向量的维度,它决定了向量能 “装下多少信息细节”。
用通俗的例子解释:比如把 “蛇灵是武周反派组织” 这句话转换成嵌入向量:
如果维度是 3,向量可能是 [0.2, 0.5, -0.3](列表长度为 3);
如果维度是 768,向量就是 [0.12, 0.35, -0.21, …, 0.47](列表长度为 768)。
在这里插入图片描述
- 维度由嵌入模型决定:不同模型的输出维度固定,比如:
- 开源模型 all-MiniLM-L6-v2 → 维度 384;
- OpenAI text-embedding-3-small → 维度 1536;
模型越大 / 越专业,维度通常越高。
- 维度不是越高越好:
- 优点:高维度能承载更多细节,语义匹配更精准;
- 缺点:高维度会增加存储成本(向量库存 1 个 768 维向量,比存 1 个 384 维向量多占 1 倍空间)和计算成本(向量相似度计算更慢)。
- 实际选择原则:
- 小规模场景(如个人 RAG):用 384/768 维(平衡效果与成本);
- 大规模 / 高精度场景(如企业知识库):用 1536 + 维(优先保证语义精准度)。
1.2 向量相似度的计算

在这里插入图片描述
向量相似度计算是判断“两个嵌入向量有多像”的核心方法,本质是通过数学运算量化向量之间的“方向/距离关系”,在RAG中直接决定了“检索结果是否相关”。常见的计算方法有3种,各有适用场景:
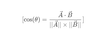
1.2.1 最常用:余弦相似度(Cosine Similarity)
核心逻辑:计算两个向量的“方向夹角”——夹角越小,相似度越高。
- 公式:

是向量点积,是向量的模长
- 结果范围:([-1, 1])
- 1:向量方向完全相同(语义完全一致,如“蛇灵是反派”和“蛇灵是武周反派组织”);
- 0:向量垂直(语义无关,如“蛇灵”和“天气预报”);
- -1:向量方向完全相反(语义完全对立,如“蛇灵是反派”和“蛇灵是正义组织”)。
适用场景:
RAG的向量检索(如Chroma、Pinecone)几乎都用余弦相似度——因为它只关注“方向”,不关注“长度”,能忽略文本长短的影响(比如“蛇灵”和“蛇灵是武周最大反派组织”的向量长度不同,但方向可能相近)。
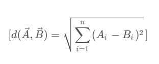
1.2.2 欧氏距离(Euclidean Distance)
核心逻辑:计算两个向量在“高维空间中的直线距离”——距离越小,相似度越高。
- 公式:

(是向量的第个元素,是向量维度)
- 结果范围:([0, +∞))
- 0:向量完全相同;
- 数值越大,向量越不相似。
适用场景:
适合“向量长度差异小”的场景(比如同一模型生成的短文本向量),但RAG中较少用——因为它会被“向量长度”干扰(比如长文本的向量模长更大,可能导致距离偏大,即使语义相似)。
1.2.3 点积(Dot Product)
核心逻辑:计算两个向量的“点积”——点积越大,相似度越高。
- 公式:

- 结果范围:
- 数值越大,向量方向越接近。
适用场景:
需先对向量做“归一化(模长=1)”,否则会被向量长度干扰——归一化后,点积的结果和余弦相似度完全一致,因此实际中常替代余弦相似度(计算更快)。
1.2.4 实际应用中的选择(RAG场景)
99%的情况优先选 余弦相似度(或归一化后的点积),原因:
- 不受向量长度影响:能公平对比“短文本”和“长文本”的语义相似度;
- 结果直观:范围固定在[-1,1],容易判断相关性(通常取>0.5为相关);
- 工具默认支持:Chroma、Pinecone、LangChain等RAG工具的向量检索,默认用余弦相似度。
1.2.5 代码示例(计算“蛇灵”相关向量的相似度)
import numpy as npfrom sklearn.metrics.pairwise import cosine_similarity# 模拟嵌入向量(维度3)vec1 = np.array([0.2, 0.5, -0.3]) # 对应文本:“蛇灵是武周反派组织”vec2 = np.array([0.1, 0.6, -0.2]) # 对应文本:“蛇灵是李唐复辟组织”vec3 = np.array([-0.8, 0.1, 0.4]) # 对应文本:“天气预报:今日晴天”# 1. 余弦相似度sim_cos12 = cosine_similarity([vec1], [vec2])[0][0]sim_cos13 = cosine_similarity([vec1], [vec3])[0][0]print(f"vec1与vec2的余弦相似度:{sim_cos12:.2f}(语义相近)")print(f"vec1与vec3的余弦相似度:{sim_cos13:.2f}(语义无关)")# 2. 欧氏距离dist_euc12 = np.linalg.norm(vec1 - vec2)dist_euc13 = np.linalg.norm(vec1 - vec3)print(f"\nvec1与vec2的欧氏距离:{dist_euc12:.2f}(距离近)")print(f"vec1与vec3的欧氏距离:{dist_euc13:.2f}(距离远)")
输出:
vec1与vec2的余弦相似度:0.98(语义相近)vec1与vec3的余弦相似度:-0.65(语义无关)vec1与vec2的欧氏距离:0.17(距离近)vec1与vec3的欧氏距离:1.30(距离远)
1.3 应用

在这里插入图片描述
嵌入技术的核心是“把信息转成向量”,而这两类模型是“向量的两种典型用法”:
- 判别式模型:用嵌入向量做“分类/预测”(比如把“我很开心”的向量丢给分类器,输出“正面情绪”标签);
- 检索式模型:用嵌入向量做“相似匹配”(比如把“蛇灵第一高手是谁”的向量,和向量库里的文档向量比相似度,找到最相关的回答)。
| 维度 | 判别式模型(嵌入的“分类用法”) | 检索式模型(嵌入的“匹配用法”) |
|---|---|---|
| 核心目标 | 给信息“贴标签”(比如“这是正面情绪”) | 给信息“找同类”(比如“这和‘闪灵虺文忠’的介绍最像”) |
| 输入输出 | 输入“向量+分类器”,输出“标签” | 输入“查询向量+向量库”,输出“匹配的内容” |
| 技术特点 | 要标注数据(比如先告诉模型“开心=正面”) | 不用标注(只要向量库有内容,直接比相似度) |
| 应用场景 | 情绪判断、识别用户想干嘛(意图识别) | 知识问答(RAG)、智能客服找答案 |
1.3.1 举嵌入技术的应用例子:
- 用嵌入做判别式模型:把“这部电影真难看”转成向量,丢给SVM分类器,输出“负面影评”标签;
- 用嵌入做检索式模型:把“狄仁杰崇州案的主谋是谁”转成向量,在向量库里找相似度最高的文档,返回“主谋是蛇灵肖清芳”。
嵌入技术是这两类模型的“基础工具”,但目标不同导致用法不同——一个是“向量+分类器=标签”,一个是“向量+相似度=匹配内容”。
2. 嵌入技术的发展和演变
2.1 早期词嵌入模型

在这里插入图片描述
早期词嵌入模型是文本向量化技术的奠基性成果,核心目标是突破传统独热编码的局限,将单个词语映射为低维稠密的实数向量,使向量空间能够体现词语的语义关联(如“蛇灵”与“反派”向量相近)。这类模型的核心特点是“静态向量”(一词一向量),虽存在多义词处理不足等缺陷,但为后续上下文相关词嵌入技术奠定了基础。
2.1.1 为何需要词嵌入?
在早期自然语言处理中,“独热编码(One-Hot Encoding)”是主流的词语表示方法,但存在两大致命缺陷,无法满足语义理解需求:
- 语义孤立:每个词的向量是“1+全0”的稀疏向量(如“蛇灵”=[1,0,0],“反派”=[0,0,1]),向量点积为0,无法体现语义关联;
- 维度爆炸:词汇量为10万时,向量维度即达10万维,存储和计算成本极高,且数据稀疏性严重。
词嵌入技术的核心突破在于:
- 低维稠密:将词映射到50~300维的实数向量(如“蛇灵”=[0.21, 0.53, -0.17, …]),解决维度爆炸问题;
- 语义关联:通过语料训练,让语义相近的词在高维空间中距离更近(如“蛇灵”与“反派”的向量相似度高于“蛇灵”与“天气”);
- 可计算性:向量的加减运算能体现语义关系(如早期Word2Vec实现“king - man + woman = queen”的语义推理)。
2.1.2 三大经典模型:原理、架构与特点
早期词嵌入模型的核心思路是“从词语的上下文关系中学习语义向量”,其中Word2Vec、GloVe、FastText三大模型最为经典,各有侧重:
2.1.2.1 Word2Vec(Google,2013)
Word2Vec是首个规模化落地的高效词嵌入模型,彻底推动了NLP从“稀疏编码”向“稠密向量”的转型,核心是通过“上下文与目标词的预测任务”训练向量。
2.1.2.1.1 核心架构:两种训练范式
- CBOW(连续词袋模型,Continuous Bag-of-Words)
- 任务逻辑:用“周围上下文词的集合”预测“中心目标词”;
- 示例:给定上下文“武周 最大 反派 组织”,预测中心词“蛇灵”;给定“狄仁杰 得力 助手 卫队长”,预测中心词“李元芳”;
- 模型结构:输入层(上下文词的独热编码)→ 隐藏层(向量累加/平均)→ 输出层(目标词的概率分布),训练目标是最小化预测误差。
- Skip-Gram(跳字模型)
- 任务逻辑:用“中心目标词”预测“周围一定窗口内的上下文词”;
- 示例:给定中心词“蛇灵”,预测窗口内的上下文词“武周、最大、反派、组织”;给定中心词“崇州案”,预测上下文词“狄仁杰、蛇灵、阴谋、平反”;
- 模型结构:输入层(中心词的独热编码)→ 隐藏层(词向量)→ 输出层(上下文词的概率分布),相比CBOW,对低频词的语义捕捉更精准。
2.1.2.1.2 关键优化:提升训练效率
Word2Vec通过两大优化解决了传统神经网络训练慢的问题:
- 负采样(Negative Sampling):不计算所有词汇的概率分布,仅采样少量负例(与中心词无关的词),降低计算量;
- 层次Softmax(Hierarchical Softmax):将词汇表构建为二叉树,输出层概率计算转化为路径遍历,复杂度从O(V)降至O(logV)(V为词汇量)。
2.1.2.1.3 优势与局限
- 优势:训练效率极高(可处理亿级语料)、向量语义表现力强、部署成本低;
- 局限:静态向量特性导致无法处理未登录词(OOV,如“狄如燕”“虺文忠”)和多义词(如“银行”在金融与自然语境中向量相同)。
2.1.2.2 GloVe(斯坦福大学,2014)
GloVe(Global Vectors for Word Representation)的核心创新是“融合全局统计信息与局部上下文信息”,解决了Word2Vec仅依赖局部上下文的局限。
2.1.2.2.1 核心原理:基于词共现统计
- 第一步:构建“词-词共现矩阵”:统计整个语料中,每个词与其他词在固定窗口内的共现次数(如“蛇灵”与“反派”共现120次,“蛇灵”与“狄仁杰”共现95次);
- 第二步:定义“共现概率比”:通过共现矩阵计算概率比P(k|i)/P(k|j),其中P(k|i)是词k与词i共现的概率,该比值能反映词i与词j的语义差异(如P(金融|银行)/P(金融|河流)远大于1);
- 第三步:训练词向量:通过优化目标让词向量的点积逼近共现概率比的对数,使向量同时体现全局统计规律(共现次数)和局部语义关联(上下文依赖)。
2.1.2.2.2 优势与局限
- 优势:语义精准度高于Word2Vec(融合全局统计,避免局部上下文的偶然性),在文本分类、语义相似度计算等任务中表现更优;
- 局限:训练速度稍慢(需先构建共现矩阵,占用更多内存);同样无法处理未登录词和多义词。
2.1.2.3 FastText(Facebook,2016)
FastText的核心突破是“引入子词(Subword)信息”,专门解决未登录词和多语言场景的痛点,架构上借鉴了Word2Vec的Skip-Gram模型。
2.1.2.3.1 核心原理:词=子词的集合
- 子词拆分逻辑:将每个词拆分为“字符n-gram”(n通常取2~5),同时保留词的边界标记(如“<”“>”),避免子词混淆;
- 示例:“狄如燕”拆分为“<狄”“狄如”“如燕”“燕>”(n=2时);“蛇灵”拆分为“<蛇”“蛇灵”“灵>”(n=2时);
- 向量生成方式:每个子词都有独立的向量,最终词的向量是所有子词向量的加权平均(权重与子词长度相关)。
2.1.2.3.2 优势与局限
- 优势:
- 支持未登录词:即使语料中未出现“狄如燕”,但见过“狄”“如”“燕”等子词,仍能生成合理向量;
- 多语言适配:适合英语、德语等形态丰富的语言(如“running”拆为“<run”“run”“ning”“ning>”),也适用于低资源语言;
- 训练效率高:与Word2Vec速度相当,支持并行训练;
- 局限:语义精准度略低于GloVe(子词拆分可能引入噪声,如“蛇灵”的子词“灵”可能与“灵魂”的子词混淆)。
2.1.3 核心特性:静态词嵌入的共性与本质
早期词嵌入模型虽架构不同,但共享三大核心特性,构成“静态词嵌入”的本质:
- 一词一向量:每个词的向量在训练完成后固定不变,与上下文无关(如“刀”在“李元芳的刀”和“切菜的刀”中向量相同);
- 语义源于上下文统计:向量的语义信息完全来自语料中词的共现关系或上下文预测,不依赖外部知识;
- 低维稠密表示:向量维度通常在50~300维,既降低了存储和计算成本,又通过稠密表示承载语义信息。
2.1.4 可视化解析:词嵌入的语义空间
早期词嵌入的核心价值可通过可视化直观体现(如经典的“Words As Vectors”图):
- 语义聚集:语义相近的词在高维空间中形成聚类(如“蛇灵”“反派”“组织”聚集在一起,“狄仁杰”“李元芳”“忠臣”聚集在一起);
- 维度分化:向量空间的维度对应潜在语义维度(如“性别维度”“年龄维度”“语义属性维度”),例如“man - woman”的向量差可对应“性别偏移”;
- 语义推理:向量的加减运算能实现简单语义推理(如“蛇灵 - 反派 + 忠臣 = 狄仁杰”,体现“蛇灵是反派”“狄仁杰是忠臣”的语义关联)。
2.1.5 与上下文相关词嵌入的核心差异
| 对比维度 | 早期词嵌入(Word2Vec/GloVe/FastText) | 上下文相关词嵌入(ELMo/BERT) |
|---|---|---|
| 向量特性 | 静态向量(一词一向量) | 动态向量(一词多向量) |
| 语境依赖 | 不依赖上下文,向量固定 | 依赖完整上下文,向量动态生成 |
| 多义词处理 | 无法区分,同一词向量相同 | 可区分,不同语境向量不同 |
| 核心架构 | 浅层模型(CBOW/Skip-Gram/共现统计) | 深层模型(LSTM/Transformer) |
| 未登录词支持 | FastText支持,Word2Vec/GloVe不支持 | 天然支持(依赖上下文推断) |
| 语义捕捉能力 | 仅捕捉词的通用语义 | 捕捉词的语境化语义+复杂关联 |
2.1.6 应用场景与局限
2.1.6.1 主要应用场景
早期词嵌入在简单NLP任务中表现优异,是2013~2018年的主流文本向量化方案:
- 关键词匹配与简单检索:如基于向量相似度的关键词联想、文档初步筛选;
- 基础NLP任务:文本分类、情感分析、命名实体识别(作为特征输入);
- 语义相似度计算:如短文本相似度匹配(如“蛇灵是什么组织”与“蛇灵是反派组织”)。
2.1.6.2 核心局限
随着NLP任务向复杂语义理解演进,早期词嵌入的缺陷逐渐凸显:
- 多义词处理不足:无法区分多义词在不同语境下的语义(如“银行”的金融与自然语境);
- 语境关联缺失:无法捕捉词与上下文的动态依赖(如“刀”在“李元芳的刀”和“切菜的刀”中的语义差异);
- 未登录词问题:除FastText外,多数模型无法处理语料中未出现的词(如专业术语、新词汇);
- 语义表达僵化:向量固定不变,无法适应新语境、新用法(如网络热词的语义演变)。
早期词嵌入模型(Word2Vec、GloVe、FastText)通过“低维稠密向量+上下文统计学习”,解决了传统独热编码的语义孤立和维度爆炸问题,奠定了文本向量化的基础。三大模型各有侧重:追求效率选Word2Vec,追求精度选GloVe,处理生僻词/多语言选FastText。
尽管存在“静态向量”的固有局限,但早期词嵌入的核心思想——“用低维向量量化语义,让语义相近的词在空间中距离更近”——至今仍是文本向量化的核心原则,为后续ELMo、BERT等上下文相关词嵌入模型的发展提供了关键铺垫。
2.2 上下文相关的词嵌入模型
上下文相关的词嵌入模型是对早期“一词一向量”(如Word2Vec、GloVe)的核心升级——解决了多义词在不同语境下的语义区分问题,让同一个词根据上下文生成不同向量(如“苹果”在“吃苹果”和“苹果手机”中向量不同)

在这里插入图片描述
2.2.1 核心痛点:早期词嵌入的“一词一向量”局限
早期词嵌入模型(如Word2Vec)的核心缺陷的是“静态向量”特性,无法适配自然语言中大量的多义词和语境依赖场景:
- 多义词无法区分:“银行”在“去银行存钱”和“河边银行散步”中语义完全不同,但早期模型仅生成一个向量,无法体现差异;
- 语境关联缺失:“狄仁杰的刀”和“李元芳的刀”中,“刀”的语义需绑定“使用者”,但早期模型无法捕捉这种语境依赖;
- 语义表达僵化:向量一旦训练完成固定不变,无法适应新语境、新用法(如网络热词的新含义)。
上下文相关的词嵌入模型的核心目标:让词向量动态依赖上下文,实现“一词多向量”,精准捕捉语境化语义。
2.2.2 经典模型:从ELMo到BERT的技术演进
上下文相关词嵌入的发展经历了“单向语境”到“双向语境”的升级,以下是两大里程碑模型:
2.2.2.1 ELMo(Embeddings from Language Models,2018)
ELMo是首个规模化落地的上下文相关词嵌入模型,由Allen Institute提出,核心是“基于双向LSTM的语言模型生成动态向量”。
2.2.2.1.1 核心原理:双向语言模型融合
- 训练阶段:构建双向LSTM语言模型,分为“向前LSTM”和“向后LSTM”:
- 向前LSTM:根据前文预测当前词(如用“狄仁杰手持”预测“刀”);
- 向后LSTM:根据后文预测当前词(如用“刀斩杀反派”预测“刀”);
- 向量生成:每个词的最终向量 = 向前LSTM输出向量 + 向后LSTM输出向量 + 原始词嵌入向量(加权融合);
- 关键创新:不同语境下,双向LSTM的输出不同,因此同一词的最终向量动态变化(如“银行”在金融语境和自然语境下向量不同)。
2.2.2.1.2 优势与局限
- 优势:首次实现“一词多向量”,解决多义词区分问题,在文本分类、命名实体识别等任务上大幅超越早期词嵌入;
- 局限:基于LSTM架构,并行计算效率低(无法处理长文本),且双向融合仅为简单加权,未充分捕捉语境交互。
2.2.2.2 BERT(Bidirectional Encoder Representations from Transformers,2018)
BERT是上下文相关词嵌入的革命性模型,由Google提出,核心是“基于Transformer编码器的双向语境建模”,彻底取代ELMo成为主流。
2.2.2.2.1 核心原理:Transformer编码器+掩码语言模型
- 基础架构:采用Transformer的编码器模块(无解码器),利用“自注意力机制”同时捕捉词与上下文所有词的关联(如“刀”与“狄仁杰”“斩杀”“反派”的语义依赖);
- 训练任务:
- 掩码语言模型(MLM):随机掩盖文本中15%的词(如“狄仁杰手持[MASK]斩杀反派”),让模型预测被掩盖的词,强制模型学习上下文语义;
- 下一句预测(NSP):判断两个句子是否为连续上下文(如“蛇灵是反派组织”和“狄如燕叛出蛇灵”为连续,和“今日天气晴朗”为不连续),学习句子级语义关联;
- 向量生成:每个词的向量由Transformer编码器的多层输出融合得到,能捕捉不同层级的语义(底层捕捉语法,上层捕捉语义)。
2.2.2.2.2 优势与突破
- 优势:
- 双向语境深度交互:自注意力机制可同时关注前文和后文,比ELMo的简单双向拼接更精准;
- 并行计算效率高:Transformer架构支持并行处理文本,比LSTM快数倍;
- 语义表达更强:多层编码器能捕捉复杂语义(如“变灵苏显儿”中“变灵”的身份属性、“苏显儿”的人物关联);
- 突破:不仅解决多义词问题,还能生成句子/段落级别的上下文相关向量,为后续大模型嵌入技术奠定基础。
2.2.3 技术核心:上下文建模的关键机制
上下文相关词嵌入的核心能力来自“语境感知建模”,两大关键机制支撑:
2.2.3.1 自注意力机制(BERT的核心)
自注意力机制的作用是“让每个词都能关注上下文所有相关词,并分配不同权重”:
- 原理:对于句子“变灵苏显儿叛出蛇灵”,“叛出”一词的向量生成时,会重点关注“苏显儿”(主语)、“蛇灵”(宾语),给这两个词分配高权重,同时弱化无关词的影响;
- 优势:可动态捕捉长距离语境依赖(如“狄仁杰在崇州案中识破的阴谋来自蛇灵”,“阴谋”能关联到“蛇灵”),比LSTM的“顺序依赖”更灵活。
2.2.3.2 动态向量生成逻辑
与早期词嵌入的“静态向量”不同,上下文相关词嵌入的向量生成是“语境驱动”的:
- 输入:词本身 + 完整上下文(句子/段落);
- 过程:通过模型(LSTM/Transformer)学习上下文与目标词的语义关联,动态调整向量的每个维度;
- 输出:同一词在不同语境下的向量维度值不同(如“刀”在“李元芳的刀”中,“武器属性”维度值更高;在“切菜的刀”中,“工具属性”维度值更高)。
2.2.4 与早期词嵌入的核心差异对比
| 对比维度 | 早期词嵌入(Word2Vec/GloVe) | 上下文相关词嵌入(ELMo/BERT) |
|---|---|---|
| 向量特性 | 静态向量(一词一向量) | 动态向量(一词多向量) |
| 语境依赖 | 不依赖上下文,向量固定 | 依赖完整上下文,向量动态生成 |
| 多义词处理 | 无法区分,同一词向量相同 | 可区分,不同语境向量不同 |
| 核心架构 | 浅层模型(CBOW/Skip-Gram/共现统计) | 深层模型(LSTM/Transformer) |
| 语义捕捉能力 | 仅捕捉词的通用语义 | 捕捉词的语境化语义+复杂关联 |
| 适用场景 | 简单语义任务(如关键词匹配) | 复杂语义任务(如RAG检索、文本理解) |
2.2.5 应用价值:上下文相关词嵌入的核心作用
上下文相关词嵌入是现代NLP和RAG系统的基础技术,核心应用场景包括:
- 精准语义检索(RAG):生成的文本向量能精准反映语境语义(如“蛇灵的刀”和“李元芳的刀”向量不同,检索时不会混淆);
- 多义词语义理解:在智能问答中,能根据问题语境准确识别多义词含义(如“蛇灵的银行”不会误匹配金融相关内容);
- 复杂NLP任务:命名实体识别(如“变灵”在“变灵苏显儿”中识别为身份标签)、情感分析(如“这个案件真难”在“破案难”和“案件精彩难能可贵”中情感不同);
- 大模型嵌入技术基础:现代大模型的文本嵌入(如text-embedding-3-small、Sentence-BERT)本质是“上下文相关词嵌入的扩展”——从“词级向量”升级为“句子/段落级向量”,但核心的“语境感知”逻辑完全一致。
上下文相关的词嵌入模型(以ELMo、BERT为代表)通过“动态向量+深层语境建模”,解决了早期词嵌入的“一词一向量”局限,实现了“语境化语义捕捉”。其中BERT的“Transformer+双向掩码语言模型”架构成为行业标准,其核心思想不仅推动了词嵌入技术的升级,更奠定了现代大模型文本向量化的基础,是RAG、智能问答等场景实现精准语义匹配的关键技术支撑。
2.3 常见的开源Sentence Bert Embedding 模型

在这里插入图片描述
Sentence-BERT(SBERT)是基于BERT改进的句子/段落级嵌入模型,核心是将BERT的“分类任务输出”改造为“语义向量输出”,实现高效的句子级语义匹配。图中3个主流开源SBERT模型的详解:
2.3.1 paraphrase-MiniLM-L6-v2
这是SBERT中轻量级且针对文本相似度优化的模型,是日常NLP任务的首选之一。
2.3.1.1 核心信息
- 参数/维度:33M参数,384维向量;
- 训练优化:专门针对“文本相似度、语义检索”任务训练,在低资源环境下(如普通CPU)也能高效运行。
2.3.1.2 特点与使用场景
- 特点:轻量、速度快、对文本相似度任务的效果做了定向优化;
- 使用场景:
- 句子/段落相似度比较(如判断“蛇灵是反派组织”和“蛇灵是李唐复辟组织”是否语义相近);
- 常规NLP任务(如文本分类、短文本检索);
- 资源有限的场景(如嵌入式设备、低配置服务器)。
2.3.2 all-MiniLM-L6-v2
这是SBERT中泛用性更强的轻量级模型,覆盖更多任务场景,是“速度与效果平衡”的代表。
2.3.2.1 核心信息
- 参数/维度:33M参数,384维向量;
- 训练优化:在更广泛的语料上训练,覆盖多种任务(不限于相似度)。
2.3.2.2 特点与使用场景
- 特点:速度快、泛用性强(适配多任务),但多语言支持较弱;
- 使用场景:
- 搜索引擎优化(如站内短文本检索);
- 单语言的批量文本嵌入(如批量处理中文文档生成向量);
- 对速度要求高、多任务兼顾的场景。
2.3.3 all-mpnet-base-v2
这是SBERT中高精度的中大型模型,基于MPNet架构(BERT的优化版),适合对语义精度要求高的场景。
2.3.3.1 核心信息
- 参数/维度:110M参数,768维向量;
- 训练优化:基于MPNet的深层架构,在大规模语料上训练,语义捕捉能力更强。
2.3.3.2 特点与使用场景
- 特点:精度高、语义表达能力强,但参数更大、计算成本更高;
- 使用场景:
- 高精度语义检索(如RAG中需要精准匹配长文档细节);
- 复杂语义任务(如长文本相似度、细粒度语义分类);
- 资源充足的场景(如GPU服务器、高配置云服务)。
2.3.4 三大模型对比与选型建议
| 模型名称 | 核心优势 | 核心劣势 | 选型建议 |
|---|---|---|---|
| paraphrase-MiniLM-L6-v2 | 轻量、相似度任务最优 | 泛用性弱 | 专注文本相似度+低资源场景 |
| all-MiniLM-L6-v2 | 轻量、泛用性强 | 多语言支持弱 | 单语言多任务+追求速度 |
| all-mpnet-base-v2 | 精度高、语义能力强 | 计算成本高 | 高精度语义检索+资源充足场景 |
2.4 多语言嵌入模型

在这里插入图片描述
多语言嵌入模型的核心目标是让不同语言的文本(如“蛇灵是反派组织”的中文与“Snake Spirit is a villain organization”的英文)映射到同一向量空间,实现跨语言的语义对齐——既支持单语言的语义任务,也能完成跨语言检索、翻译等场景。
2.4.1 MUSE(Multilingual Unsupervised or Supervised Embeddings)
MUSE是Facebook提出的多语言嵌入模型,核心特点是“同时支持有监督/无监督的跨语言对齐”,是早期多语言嵌入的标杆模型之一。
2.4.1.1 核心原理:跨语言向量对齐
MUSE的核心是“将不同语言的词嵌入映射到同一向量空间”,支持两种对齐方式:
- 有监督对齐:利用平行语料(如中英双语句子对“蛇灵是反派→Snake Spirit is a villain”),学习“中文词向量→英文词向量”的映射矩阵,让语义相同的词在向量空间中重合;
- 无监督对齐:无需平行语料,通过“语言内部的分布规律”对齐——比如中文中“蛇灵”常与“反派”共现,英文中“Snake Spirit”常与“villain”共现,模型通过这种分布相似性,将两种语言的向量对齐。
2.4.1.2 优势与局限
- 优势:支持无监督对齐(适配低资源语言)、对齐效果好,能实现跨语言语义检索(如用中文“蛇灵”检索英文相关文档);
- 局限:基于早期静态词嵌入(如Word2Vec),无法处理上下文依赖,且仅支持词级对齐(不支持句子/段落)。
2.4.2 XLM-R(XLM-RoBERTa)
XLM-R是Facebook在RoBERTa基础上升级的多语言模型,是当前最主流的多语言上下文嵌入模型之一,支持100+种语言。
2.4.2.1 核心原理:多语言预训练+上下文嵌入
XLM-R的核心是“用100+种语言的大规模单语语料预训练RoBERTa模型”,实现跨语言的上下文语义对齐:
- 预训练语料:涵盖100+种语言的数万亿Token单语文本(无需平行语料);
- 模型架构:基于RoBERTa(BERT的优化版)的Transformer编码器,支持上下文相关的动态向量生成;
- 跨语言对齐:通过“不同语言的语义分布相似性”实现向量空间共享——比如中文“蛇灵”和英文“Snake Spirit”在模型中生成的向量距离极近。
2.4.2.2 核心优势
- 支持上下文依赖:同一词在不同语境下生成不同向量(如“银行”在金融/自然语境的向量差异,且跨语言一致);
- 多语言覆盖广:支持100+种语言(包括低资源语言),且单语/跨语言任务效果均优异;
- 适配多任务:可直接用于跨语言文本分类、检索、问答等场景(如用中文问题检索英文文档)。
2.4.3 Universal Sentence Encoder(USE)
USE是Google提出的多语言句子嵌入模型,核心特点是“直接生成句子/段落级的多语言向量”,聚焦于句子级的跨语言语义匹配。
2.4.3.1 核心原理:句子级跨语言嵌入
USE的核心是“用多语言语料训练模型,让不同语言的同义句子生成相近向量”:
- 模型架构:支持两种版本——Transformer架构(适合高精度)、DAN架构(适合高速度);
- 训练方式:利用平行语料和单语语料,同时优化“单语言句子语义匹配”和“跨语言句子语义匹配”任务;
- 输出:直接生成句子/段落级的向量,无需额外处理(如输入中文“蛇灵是武周反派组织”和英文“Snake Spirit is a villain organization in Wu Zhou”,输出向量相似度极高)。
2.4.3.2 适用场景
- 跨语言句子检索:如用中文句子检索其他语言的同义句子;
- 多语言语义相似度计算:如判断“中文句子A”与“法文句子B”是否语义相同;
- 轻量级多语言任务:因DAN版本速度快,适合实时性要求高的场景(如多语言智能客服)。
2.4.4 多语言嵌入模型的核心价值
多语言嵌入模型解决了“不同语言文本无法直接语义交互”的问题,核心应用场景包括:
- 跨语言检索(RAG):用中文查询检索英文/法文文档,或反之;
- 多语言智能客服:支持不同语言用户的语义理解,统一回复逻辑;
- 低资源语言任务:为小语种(如非洲语、东南亚语)提供语义嵌入能力,降低开发成本;
- 机器翻译辅助:提升翻译的语义准确性(如对齐不同语言的术语向量)。
2.4.5 三大模型对比表
| 模型 | 核心特点 | 支持粒度 | 语言覆盖 | 核心优势 |
|---|---|---|---|---|
| MUSE | 有监督/无监督跨语言词对齐 | 词级(静态) | 30+种 | 无监督对齐适配低资源语言 |
| XLM-R | 多语言上下文嵌入(RoBERTa升级) | 词/句子/段落(动态) | 100+种 | 上下文依赖+多语言覆盖广 |
| USE | 多语言句子级嵌入 | 句子/段落(动态) | 100+种 | 句子级对齐+速度/精度可选 |
2.5 多模态嵌入数据

在这里插入图片描述
2.5 多模态嵌入模型
多模态嵌入模型的核心目标是将不同类型的信息(如文本、图像、音频)映射到同一向量空间,让“跨模态的语义相似内容”在向量空间中距离更近(比如文本“一只可爱的小狗狗”和对应的小狗图片,生成的向量相似度极高)。以下结合图示解析其核心逻辑、流程与价值:
2.5.1 核心逻辑:跨模态语义对齐
多模态嵌入的本质是打破“文本、图像等模态的信息壁垒”——通过模型将不同模态的信息转化为“可比较的向量”,实现“以文搜图、以图搜文”等跨模态交互。
以图示中的“文本+图像”为例:
- 文本模态:“一只可爱的小狗狗”→ 经文本编码器生成文本向量序列;
- 图像模态:小狗图片 → 经图像编码器生成图像向量序列 ;
- 跨模态对齐:通过计算“图像向量×文本向量”的组合(如 ,让“语义匹配的文本与图像向量”在空间中重合(比如“小狗狗”的文本向量与图片中“小狗”区域的图像向量距离极近)。
2.5.2 核心流程(以“文本+图像”为例)
结合图示,多模态嵌入的流程分为3步:
- 单模态编码:
- 文本:用文本编码器(如BERT)将文本拆分为token并生成向量序列对应“一只”,对应“可爱的”等);
- 图像:用图像编码器(如CNN、ViT)将图像拆分为视觉区域并生成向量序列对应图片左上角区域, 对应右上角区域等)。
- 跨模态交互计算:
计算“图像向量序列”与“文本向量序列”的两两组合(如),构建交互矩阵——矩阵中值越高的位置,代表对应图像区域与文本token的语义匹配度越高(比如“小狗狗”对应的 与图片中“小狗主体”对应的 ),组合值会显著高于其他区域)。 - 跨模态向量对齐:
通过模型训练,让“语义匹配的跨模态向量”在最终的共享向量空间中距离更近(比如“小狗狗”的文本向量与小狗图片的图像向量,最终会聚集在空间的同一区域)。
2.5.3 核心价值:实现跨模态语义交互
多模态嵌入解决了“不同模态信息无法直接关联”的问题,核心应用场景包括:
- 以文搜图/以图搜文:输入文本“一只可爱的小狗狗”,检索语义匹配的小狗图片;或上传小狗图片,检索描述该图片的文本;
- 多模态内容理解:在智能客服中,同时理解用户发送的“文本+图片”信息(如用户发“这个商品坏了”+商品破损图,模型能关联两者的语义);
- 跨模态RAG:在知识库中同时存储文本、图片、视频的嵌入向量,支持用户用任意模态的查询(如图片)检索所有相关内容。
2.5.4 经典多模态嵌入模型
常见的多模态嵌入模型包括:
- CLIP(OpenAI):最主流的多模态模型之一,支持文本与图像的跨模态对齐,可直接实现以文搜图/以图搜文;
- ALIGN(Google):通过大规模图像-文本对训练,实现高精度的跨模态语义匹配;
- BLIP-2(Salesforce):结合语言模型与视觉模型,支持更复杂的多模态交互(如基于图片生成描述文本)。
2.5.5 与单模态嵌入的核心区别
| 维度 | 单模态嵌入(如Sentence-BERT) | 多模态嵌入(如CLIP) |
|---|---|---|
| 处理的信息类型 | 单一类型(仅文本/仅图像) | 多种类型(文本+图像+音频等) |
| 向量空间 | 单模态独立空间 | 多模态共享空间 |
| 核心能力 | 同模态内的语义匹配 | 跨模态的语义匹配 |
| 典型应用 | 文本检索、文本分类 | 以文搜图、多模态内容理解 |
3. 大语言时代的嵌入模型
3.1 MTEB排行榜

在这里插入图片描述

在这里插入图片描述

在这里插入图片描述

在这里插入图片描述
3.2 模型介绍
聚焦主流文本嵌入模型(含商用闭源与开源模型),从核心特性、技术细节、适用场景三方面展开,覆盖OpenAI、BGE、Jina等工业级常用模型,为嵌入模型选型提供明确参考:
3.2.1 OpenAI Embedding Models(闭源商用)
OpenAI的嵌入模型是目前语义捕捉精度最高的商用模型之一,基于大模型底层架构优化,适配多语言、长文本场景,广泛应用于企业级RAG、语义检索等核心任务。
在这里插入图片描述
3.2.1.1 核心模型版本
- • text-embedding-3-small:轻量高效版
- • 向量维度:1536维;
- • 特点:速度快、成本低(每1K Token约0.0001美元),支持多语言,语义精度满足多数场景;
- • 适用:中小规模RAG、实时性要求高的检索任务。
- • text-embedding-3-large:高精度版
- • 向量维度:3072维;
- • 特点:语义捕捉能力更强(尤其长文本、复杂语义场景),支持128K Token输入(约9.6万字),多语言适配更优;
- • 适用:企业级知识库、高精度语义检索、长文档嵌入。
- • text-embedding-ada-002(经典版):
- • 向量维度:1536维;
- • 特点:性价比高,是早期主流选择,语义精度优于初代模型,目前仍适用于中小规模场景。
3.2.1.2 核心优势与局限
- • 优势:
-
- 语义精度顶尖:能捕捉细粒度语义差异(如“蛇灵组织的核心目标”与“蛇灵组织的次要诉求”);
-
- 长文本支持:text-embedding-3-large支持128K Token,无需复杂文本拆分;
-
- 多语言适配:天然支持100+种语言,跨语言语义对齐效果优异;
-
- 易用性强:通过OpenAI API调用,无需本地部署,适配LangChain、LlamaIndex等框架。
- • 局限:
-
- 闭源依赖:需依赖OpenAI API,存在网络延迟、数据隐私风险(敏感数据需谨慎);
-
- 成本累积:大规模数据嵌入(如亿级文本)成本较高。
3.2.1.3 典型应用场景
- • 企业级RAG知识库(如金融、法律行业高精度检索);
- • 跨语言语义检索(如中文查询检索英文文档);
- • 长文档语义分析(如学术论文、政策文件的嵌入)。
3.2.2 BGE Embeddings(开源免费)
BGE(BAAI General Embedding)是由北京人工智能研究院(BAAI)开发的开源高性能嵌入模型,专注于中文语义理解,在开源社区广泛应用,是“效果比肩商用、部署成本低”的首选开源方案。

3.2.2.1 核心模型版本
- • BGE-base/bge-large(基础版):
- • 向量维度:768维(base)/ 1024维(large);
- • 特点:中文语义优化,训练数据包含大量中文语料,支持8192 Token输入;
- • 适用:中文场景优先选择,中小规模RAG、文本分类。
- • BGE-m3(最新版):
- • 向量维度:1024维;
- • 特点:多语言支持(中、英、日、韩等),语义精度接近text-embedding-3-small,支持32768 Token长文本,支持向量压缩(从1024维降至256维,不损失过多效果);
- • 适用:大规模开源RAG、多语言场景、低存储成本需求。
- • BGE-reranker(重排专用):
- • 特点:专门用于检索结果重排,输入“查询+候选文本”,输出相关性得分,可与基础嵌入模型搭配使用,提升检索精准度。
3.2.2.2 核心优势与局限
- • 优势:
-
- 中文效果顶尖:开源模型中中文语义捕捉最优(如“狄仁杰崇州案”“蛇灵六大蛇首”等中文专有名词的嵌入精度高);
-
- 开源免费:可本地部署,无API调用成本,数据隐私可控;
-
- 长文本与多语言:BGE-m3支持32K长文本,多语言适配能力强;
-
- 轻量灵活:支持CPU/GPU部署,小规模场景可直接用CPU推理。
- • 局限:
-
- 大规模部署需硬件支持:large/m3版本在CPU上推理速度较慢,大规模场景需GPU(如A10、T4);
-
- 极端高精度场景略逊于OpenAI:复杂语义任务(如专业术语细粒度区分)精度稍低。
3.2.2.3 典型应用场景
- • 中文RAG知识库(如政务、教育行业中文文档检索);
- • 敏感数据场景(如企业内部涉密文档嵌入,需本地部署);
- • 开源项目嵌入方案(无需商业授权)。
3.2.3 Jina Embeddings(商用+开源双版本)
Jina Embeddings是由Jina AI开发的嵌入模型,以“长文本、多语言、高效推理”为核心优势,提供商用API与开源版本,适配企业级与开发者场景。
在这里插入图片描述
3.2.3.1 核心模型版本
- • Jina Embeddings v2(商用API):
- • 向量维度:768/1024/3072维(可选);
- • 特点:支持200K Token超长文本输入(约15万字),多语言支持(100+种),语义精度对标text-embedding-3-large,推理速度快;
- • 适用:超长文档嵌入(如小说、行业报告)、企业级商用检索。
- • jina-embeddings-v2-base(开源版):
- • 向量维度:768维;
- • 特点:开源免费,支持8192 Token,多语言优化,可本地部署,适合中小规模场景。
3.2.3.2 核心优势与局限
- • 优势:
-
- 超长文本支持:商用版200K Token输入,无需拆分长文档(如整本书、完整政策文件);
-
- 高效推理:优化的推理引擎,相同硬件下速度快于同类模型;
-
- 商用+开源灵活选择:小规模用开源版,大规模用商用API,平滑迁移。
- • 局限:
-
- 商用API成本中等:高于OpenAI,低于部分小众商用模型;
-
- 开源版语义精度略逊于BGE-m3/OpenAI:基础版开源模型在复杂语义场景效果一般。
3.2.3.3 典型应用场景
- • 超长文档检索(如法律合同、学术专著的嵌入);
- • 多语言企业知识库(如跨国公司多语言文档检索);
- • 对推理速度要求高的实时检索场景。
3.2.4 Voyage AI Embeddings(闭源商用)
Voyage AI是专注于嵌入技术的创业公司,其嵌入模型以“长文本、高精度、多语言”为核心卖点,在长文档语义检索场景表现突出,受到海外企业广泛采用。
在这里插入图片描述
3.2.4.1 核心模型版本
- • Voyage Embeddings-1:
- • 向量维度:1024/2048维;
- • 特点:支持160K Token超长文本输入,多语言支持(50+种),语义精度接近OpenAI text-embedding-3-large;
- • 细分版本:Voyage-Lite(轻量版,速度快)、Voyage-Pro(高精度版,长文本优化)。
3.2.4.2 核心优势与局限
- • 优势:
-
- 超长文本精度高:160K Token输入下仍能保持细粒度语义捕捉(如长文档中特定段落的精准匹配);
-
- 多语言语义对齐优:跨语言检索(如英文查询检索日文文档)效果优于多数同类模型;
-
- API稳定性强:专为企业级场景设计,服务可用性高,支持批量嵌入。
- • 局限:
-
- 成本较高:商用API价格高于OpenAI,大规模使用成本累积明显;
-
- 中文支持略逊于BGE/OpenAI:中文语料训练较少,中文专有名词语义捕捉精度一般;
-
- 国内访问延迟高:服务器主要在海外,国内用户调用存在网络延迟。
3.2.4.3 典型应用场景
- • 海外企业长文档知识库(如英文小说、海外政策文件检索);
- • 跨语言长文本检索(如跨国项目多语言文档交互);
- • 对长文本语义精度要求高的商用场景。
3.2.5 Cohere Embeddings(闭源商用)
Cohere是由前Google Brain团队创立的AI公司,其嵌入模型以“多语言、企业级安全、定制化”为核心优势,适配多语言企业场景与定制化嵌入需求。
在这里插入图片描述
3.2.5.1 核心模型版本
- • embed-english/embed-multilingual:
- • 向量维度:768/1024/4096维(可选);
- • 特点:embed-english(英文优化)、embed-multilingual(50+种语言),支持512K Token超长文本输入;
- • 定制化服务:支持企业私有数据微调,生成贴合特定行业(如医疗、金融)的嵌入模型。
3.2.5.2 核心优势与局限
- • 优势:
-
- 企业级安全:支持数据隔离、私有部署,满足金融、医疗等行业合规要求;
-
- 定制化能力强:可基于企业私有语料微调,提升行业术语、专有名词的嵌入精度;
-
- 多语言长文本支持:512K Token输入+多语言适配,适合跨国企业大规模知识库。
- • 局限:
-
- 成本高:基础API价格高于OpenAI,定制化微调额外收费;
-
- 中文支持一般:中文语料优化较少,中文场景效果不如BGE/OpenAI;
-
- 国内访问不便:主要服务海外企业,国内用户需解决网络与合规问题。
3.2.5.3 典型应用场景
- • 跨国企业多语言知识库(如金融机构全球分支文档检索);
- • 行业定制化场景(如医疗术语嵌入、法律合同语义检索);
- • 高合规要求场景(如银行、保险行业的敏感数据嵌入)。
3.2.6 开源模型Stella(中文优化)
Stella是字节跳动开源的中文专用嵌入模型,基于BERT架构优化,专注于中文语义理解与低资源部署,适合中文开发者与中小规模中文场景。
在这里插入图片描述
3.2.6.1 核心模型版本
- • Stella-base/stella-large:
- • 向量维度:768维(base)/ 1024维(large);
- • 特点:中文语料深度优化(涵盖新闻、小说、专业文档等),支持512-4096 Token输入,推理速度快(CPU可实时推理);
- • 衍生版本:Stella-zh-embedding(通用嵌入)、Stella-zh-reranker(中文重排专用)。
3.2.6.2 核心优势与局限
- • 优势:
-
- 中文轻量高效:在CPU上推理速度快于BGE,适合嵌入式设备、低配置服务器;
-
- 开源免费:无授权成本,支持本地部署与二次开发;
-
- 中文语义精准:对中文口语、网络用语、专业术语的适配性强(如“蛇灵组织”“崇州案”等中文专有名词嵌入效果好)。
- • 局限:
-
- 多语言支持弱:仅优化中文,其他语言效果较差;
-
- 长文本支持有限:最大支持4096 Token,超长文档需拆分;
-
- 高精度场景略逊于BGE-m3:复杂语义任务(如长文本细粒度检索)精度稍低。
3.2.6.3 典型应用场景
- • 中文轻量场景(如嵌入式设备的中文语义检索);
- • 中小规模中文RAG(如个人知识库、小型企业中文文档检索);
- • 中文重排任务(搭配其他嵌入模型,用Stella-reranker提升检索精度)。
3.2.7 主流模型核心对比表
| 模型名称 | 类型 | 向量维度 | 最大输入Token | 核心优势 | 适用场景 |
|---|---|---|---|---|---|
| OpenAI text-embedding-3-large | 闭源商用 | 3072维 | 128K | 高精度、多语言、长文本 | 企业级高精度检索、跨语言场景 |
| BGE-m3 | 开源免费 | 1024维(可压缩) | 32K | 中文最优、多语言、低成本 | 中文场景、开源RAG、本地部署 |
| Jina Embeddings v2 | 商用+开源 | 768/1024/3072维 | 200K | 超长文本、高效推理 | 超长文档检索、实时性要求高的商用场景 |
| Voyage AI Embeddings | 闭源商用 | 1024/2048维 | 160K | 长文本高精度、多语言 | 海外长文档知识库、跨语言长文本检索 |
| Cohere Embeddings | 闭源商用 | 768/1024/4096维 | 512K | 企业级安全、定制化 | 高合规行业、定制化术语嵌入 |
| Stella-large | 开源免费 | 1024维 | 4K | 中文轻量、CPU高效 | 中文低资源场景、嵌入式设备、中文重排 |
3.2.8 模型选型建议
-
- 优先选中文场景:开源选BGE-m3(长文本/多语言)、Stella(轻量CPU);商用选OpenAI text-embedding-3-small(精度优先);
-
- 超长文本场景(>10万Token):Jina Embeddings v2(商用)、Voyage AI(海外)、BGE-m3(开源,32K);
-
- 高合规/敏感数据场景:开源模型本地部署(BGE-m3、Stella);企业级选Cohere(私有部署);
-
- 成本敏感场景:开源模型(BGE-base、Stella-base);中小规模商用选OpenAI text-embedding-3-small;
-
- 跨语言场景:商用选OpenAI/Jina/Voyage;开源选BGE-m3。
通过以上模型的特性对比与选型建议,可根据“场景(中文/多语言、长文本)、成本(开源/商用)、合规要求”快速锁定适配的嵌入模型。
- 稀疏嵌入+密集嵌入→混合检索
4.1 稀疏嵌入 vs 密集嵌入

在这里插入图片描述

在这里插入图片描述
稀疏嵌入与密集嵌入是文本向量化的两种核心范式,核心差异在于向量元素的分布形式与语义表达逻辑,二者分别适配不同的场景需求,以下结合图示展开详解:
4.1.1 稀疏嵌入:“非0即1”的离散特征表示
稀疏嵌入是早期文本向量化的主流方式,核心是用“离散的0/1元素”表示文本特征,图示中的[1, 0, 0, 1, 0, 0, 0, 1, 0, 0]是典型示例。
4.1.1.1 核心特点
- • 元素分布:绝大多数元素为0,仅少数元素为1(或其他非0值);
- • 维度特性:维度通常极大(如词汇量10万时,维度为10万);
- • 语义逻辑:每个位置有明确含义(如位置i对应词汇表中的第i个词,值为1表示文本包含该词)。
4.1.1.2 典型代表
- • 独热编码(One-Hot Encoding):每个词对应一个维度,包含该词则值为1,否则为0;
- • TF-IDF:在独热编码基础上,用“词频-逆文档频率”加权,值为非0的实数,但仍以0元素为主。
4.1.1.3 优势与局限
- • 优势:
-
- 语义解释性强:每个非0元素对应明确的词/特征,可直接解读文本包含的内容;
-
- 实现简单:无需复杂模型训练,直接基于词汇表统计生成。
- • 局限:
-
- 维度爆炸:词汇量越大,向量维度越高(如10万词对应10万维),存储与计算成本极高;
-
- 语义孤立:无法体现词的关联(如“蛇灵”与“反派”的向量点积为0,无法体现语义相近);
-
- 数据稀疏:绝大多数元素为0,信息利用率极低。
4.1.1.4 适用场景
仅适用于简单、小规模的文本任务,如早期关键词检索、基础文本分类(已被密集嵌入逐步替代)。
4.1.2 密集嵌入:“连续实数”的语义压缩表示
密集嵌入是当前主流的文本向量化方式(如Word2Vec、BERT嵌入),核心是用“低维连续实数”压缩文本语义,图示中的[0.2, -0.5, 0.8, -0.3, 0.6]是典型示例。
4.1.2.1 核心特点
- • 元素分布:所有元素为连续实数(可正可负),无大量0元素;
- • 维度特性:维度相对较小(通常为50~1536维);
- • 语义逻辑:特征由模型自动学习得到,单个维度无明确含义,但向量整体承载文本语义。
4.1.2.2 典型代表
- • 词嵌入:Word2Vec、GloVe、FastText;
- • 上下文嵌入:BERT、Sentence-BERT、OpenAI Embedding;
- • 多模态嵌入:CLIP(文本+图像)。
4.1.2.1 优势与局限
- • 优势:
-
- 低维高效:维度远低于稀疏嵌入,存储与计算成本可控;
-
- 语义关联强:语义相近的文本,向量在空间中距离更近(如“蛇灵”与“反派”的向量相似度高);
-
- 语义表达丰富:可捕捉复杂语义(如多义词的语境差异、长文本的整体含义)。
- • 局限:
-
- 解释性弱:单个维度无明确含义,无法直接解读向量对应的具体特征;
-
- 依赖模型训练:需通过大规模语料训练模型,成本较高。
4.1.2.2 适用场景
适用于绝大多数现代NLP任务,如RAG语义检索、文本分类、智能问答、多模态交互等。
4.1.3 核心差异对比表
| 对比维度 | 稀疏嵌入 | 密集嵌入 |
|---|---|---|
| 元素形式 | 离散值(以0为主,少数为1/实数) | 连续实数(无大量0元素) |
| 维度范围 | 极大(通常与词汇量相当,如10万维) | 较小(50~1536维) |
| 语义逻辑 | 单个维度对应明确词/特征 | 向量整体承载语义,单个维度无明确含义 |
| 语义关联能力 | 弱(无法体现词的语义相近) | 强(语义相近则向量距离近) |
| 存储/计算成本 | 高(维度大、稀疏性导致冗余) | 低(低维稠密) |
| 解释性 | 强(可直接对应具体词) | 弱(需通过模型间接解读) |
| 主流应用场景 | 早期简单任务(关键词检索) | 现代NLP任务(RAG、问答等) |
4.1.4 实际应用中的选择逻辑
- • 若需“简单、解释性强”的文本表示(如小规模关键词统计):可选用稀疏嵌入(如TF-IDF);
- • 若需“语义关联、低维高效”的文本表示(如RAG、智能问答):必须选用密集嵌入(如BGE、OpenAI Embedding);
- • 部分场景可“结合使用”:如先用稀疏嵌入做粗筛,再用密集嵌入做精准语义匹配,平衡效率与精度。
4.2 向量类型的对比

在这里插入图片描述
图中展示了三类主流向量类型(Float Vector、Sparse Float Vector、Binary Vector),它们是稀疏/密集嵌入的具体实现形式,核心差异在于元素形式、存储方式与适用场景。
4.2.1 Float Vector(密集嵌入的典型实现)
Float Vector是现代文本嵌入的主流形式,对应“密集嵌入”的核心实现,图示中的[0.3, -0.7, 0.2, 0.9]是典型示例。
4.2.1.1 核心特点
- • 元素形式:连续实数值(可正可负);
- • 存储方式:所有位置都有值,无空缺;
- • 维度特性:维度较小(通常128~2048维)。
4.2.1.2 本质与关联
Float Vector是“密集嵌入”的最常见实现——如Word2Vec、BERT、OpenAI Embedding生成的向量,都属于Float Vector。
4.2.1.3 适用场景
所有需要语义精准匹配的场景,如RAG检索、智能问答、文本相似度计算等。
4.2.2 Sparse Float Vector(稀疏实数向量)
Sparse Float Vector是“稀疏嵌入”的带权重形式,图示中的{1:0.5, 5:-0.3, 8:0.7}(键为维度索引,值为非零实数)是典型示例。
4.2.2.1 核心特点
- • 元素形式:实数,但仅存储非零值(以“键值对”形式表示);
- • 存储方式:仅保留非零元素,节省空间;
- • 维度特性:维度可以极大(如与词汇量相当)。
4.2.2.2 本质与关联
Sparse Float Vector是“稀疏嵌入”的进阶形式——在独热编码基础上增加权重(如TF-IDF的向量表示),非零值对应“词的权重”。
4.2.2.3 适用场景
需保留特征权重的稀疏场景,如传统关键词检索(结合词频权重)、简单文本分类等。
4.2.3 Binary Vector(稀疏嵌入的简化形式)
Binary Vector是“稀疏嵌入”的极简形式,图示中的[1, 0, 0, 1, 0, 1]是典型示例。
4.2.3.1 核心特点
- • 元素形式:仅包含0和1;
- • 语义逻辑:1表示“特征存在”,0表示“特征不存在”;
- • 维度特性:通常维度极大且稀疏(多数元素为0)。
4.2.3.2 本质与关联
Binary Vector是“稀疏嵌入”的基础形式——对应独热编码,非零值仅表示“词是否出现”,无权重。
4.2.3.3 适用场景
简单特征存在性判断的场景,如早期关键词匹配(仅判断是否包含特定词)。
4.2.4 三类向量核心对比表
| 向量类型 | 元素形式 | 存储方式 | 维度特性 | 对应嵌入类型 | 核心优势 | 适用场景 |
|---|---|---|---|---|---|---|
| Float Vector | 连续实数 | 全量存储 | 小(128~2048) | 密集嵌入 | 语义精准、低维高效 | RAG检索、智能问答、语义匹配 |
| Sparse Float Vector | 实数(仅存非零) | 键值对存储 | 大(与词汇量相当) | 稀疏嵌入 | 保留权重、节省空间 | 传统关键词检索(带权重)、文本分类 |
| Binary Vector | 0/1 | 全量存储 | 大且稀疏 | 稀疏嵌入 | 实现简单、解释性强 | 简单关键词匹配(仅判断存在性) |
4.2.5 关系说明(图中核心逻辑)
从嵌入类型到向量类型的对应关系:
- • 密集嵌入 → Float Vector(最常见的实现形式);
- • 稀疏嵌入 → Binary Vector(简化形式,仅存0/1) 或 Sparse Float Vector(带权重形式,存非零实数)。
4.2.6 实际应用中的选择
- • 优先选Float Vector:现代NLP任务(如RAG、智能问答)几乎都用此类型,平衡语义精度与效率;
- • 仅简单场景用Sparse/Binary Vector:如传统关键词检索、小规模特征统计,需解释性强的场景。
4.3 BM25:典型的稀疏嵌入实现

在这里插入图片描述
BM25是信息检索领域经典的稀疏嵌入算法,核心是通过“词频+逆文档频率+文档长度”计算词的权重,生成仅包含“词-权重”的稀疏向量,是传统关键词检索的主流方案之一。
4.3.1 BM25的核心逻辑
BM25的目标是计算“词与文档的相关性得分”,并将得分作为稀疏向量的非零值(仅出现的词对应维度有值,其余为0),本质是“带权重的稀疏嵌入”。
4.3.2 核心公式拆解
BM25的得分由词频(TF)、逆文档频率(IDF)、文档长度惩罚三部分共同决定,公式分为“得分计算式”和“IDF计算式”:
4.3.2.1 词的相关性得分公式

- • TF(w):词( w )在当前文档中的出现次数(词频);
- • :词频饱和系数(通常取1.2,控制词频的边际收益,避免高频词权重过高);
- • :文档长度惩罚系数(通常取0.75,控制文档长度对得分的影响,避免长文档中词权重被低估);
- • 文档长度/平均文档长度:当前文档长度与语料库中文档平均长度的比值(长文档会被适当惩罚)。
4.3.2.2 逆文档频率(IDF)公式

- • IDF的作用:衡量词的“稀缺性”——包含词的文档越少,IDF值越高(如“狲狲”“金刚体”这类专有名词,IDF值高,权重更大)。
4.3.3 稀疏嵌入的实现方式(结合示例)
以图中文本“狲狲施展烈焰拳,击退妖怪;随后开启金刚体,抵挡神兵攻击。”为例,BM25生成稀疏向量的过程:
-
- 词表映射:词表包含10000个词,每个词对应一个维度(如“狲狲”对应103维、“金刚体”对应302维);
-
- 计算词权重:仅对文本中出现的词(“狲狲”“烈焰拳”“金刚体”等)计算BM25得分(即权重);
-
- 生成稀疏向量:向量维度为10000,但仅“103维(狲狲)、302维(金刚体)”等出现的词对应维度有值(值为BM25得分),其余维度为0。
4.3.4 BM25作为稀疏嵌入的核心特点
-
- 稀疏性:仅出现的词对应维度有值,向量极稀疏(如10000维向量仅少数维度非零);
-
- 权重可解释:非零值对应“词的相关性得分”,可直接关联具体词(如103维的值对应“狲狲”的权重);
-
- 依赖关键词匹配:仅基于词的出现与否计算权重,无法捕捉语义关联(如“狲狲”与“妖怪”的语义关系无法体现);
-
- 效率高:稀疏向量存储与计算成本低,适合大规模关键词检索场景。
4.3.5 BM25的适用场景与局限
- • 适用场景:
- • 传统关键词检索(如搜索引擎的粗筛、文档关键词匹配);
- • 对解释性要求高的场景(需明确知道“哪些词导致文档被检索”);
- • 大规模语料的快速检索(稀疏计算效率高)。
- • 局限:
- • 无法处理语义关联(如查询“狲狲的攻击技能”,无法匹配包含“烈焰拳”但未出现“攻击技能”的文档);
- • 对多义词、同义词不敏感(如“神兵”与“兵器”无法被识别为语义相近);
- • 无法捕捉上下文语义(如“金刚体”在不同文本中的语义差异无法体现)。
4.3.6 BM25与密集嵌入的互补性
现代检索系统通常将“BM25(稀疏关键词检索)”与“密集嵌入(语义检索)”结合使用:
-
- 先用BM25做粗筛(快速过滤大量无关文档);
-
- 再用密集嵌入做精准语义匹配(提升检索结果的语义相关性);
这种“稀疏+密集”的混合检索,既能保证效率,又能兼顾语义精度。
- 再用密集嵌入做精准语义匹配(提升检索结果的语义相关性);
4.4 BGE-M3

在这里插入图片描述
BGE-M3是北京人工智能研究院(BAAI)推出的下一代多能力嵌入模型,其命名中的“M3”对应“多功能性、多语言性、多粒度性”三大核心特性,是当前开源嵌入模型中功能最全面的方案之一,以下结合图示详解:
4.4.1 “M3”命名的核心含义
BGE-M3的“M3”并非版本号,而是对其三大核心能力的概括:
- • 多功能性(Multi-Functionality):集成“密集检索、稀疏检索、多向量检索”3种检索模式,可灵活适配不同场景;
- • 多语言性(Multi-Linguality):支持超过100种语言,具备跨语言检索能力;
- • 多粒度性(Multi-Granularity):支持从短句到8192 Token长文档的处理,覆盖不同长度文本的嵌入需求。
4.4.2 三大核心特性详解
4.4.2.1 多功能性:一站式覆盖多检索模式
BGE-M3是首个同时支持密集、稀疏、多向量检索的开源嵌入模型,无需额外集成其他工具:
- • 密集检索:生成低维稠密向量(默认1024维),用于语义精准匹配(如RAG的核心检索);
- • 稀疏检索:同时生成稀疏向量(基于词的权重),实现关键词级匹配(替代传统BM25);
- • 多向量检索:将长文档拆分为多个子向量,捕捉长文本的细粒度语义(避免长文档语义丢失)。
这一特性让BGE-M3可“一键实现混合检索”,同时兼顾语义精度与关键词匹配能力。
4.4.2.2 多语言性:支持100+语言的跨语言对齐
BGE-M3在100+种语言的大规模语料上训练,实现了跨语言语义对齐:
- • 不同语言的同义文本,生成的向量相似度极高(如中文“蛇灵是反派组织”与英文“Snake Spirit is a villain organization”的向量距离极近);
- • 支持“用中文查询检索其他语言文档”“多语言文档混合检索”等场景,适配跨国、多语言知识库需求。
4.4.2.3 多粒度性:覆盖全长度文本的嵌入
BGE-M3支持从短句到8192 Token长文档的嵌入,解决了传统嵌入模型“长文本语义丢失”的问题:
- • 短句:精准捕捉短文本的细粒度语义(如“狲狲的烈焰拳”);
- • 长文档:通过多向量检索拆分长文本为子片段,每个子片段生成独立向量,确保长文档中的细节信息被保留(如8192 Token的政策文件,可捕捉其中的具体条款)。
4.4.3 BGE-M3的核心优势
相比传统嵌入模型,BGE-M3的核心优势在于“一站式解决多场景需求”:
-
- 功能集成:无需同时部署“密集模型+BM25+长文本拆分工具”,一个模型覆盖所有检索模式;
-
- 成本可控:开源免费,可本地部署,无API调用成本,数据隐私可控;
-
- 效果均衡:在中文语义精度、多语言对齐、长文本处理上均达到开源模型的顶尖水平,接近OpenAI等商用模型。
4.4.4 适用场景
BGE-M3的多功能性使其适配绝大多数嵌入场景:
- • 中文RAG知识库:兼顾语义精度与关键词匹配;
- • 多语言企业知识库:支持跨语言检索;
- • 长文档嵌入:8192 Token长文本的细粒度检索;
- • 混合检索系统:替代“BM25+密集模型”的传统混合方案,简化部署流程。
4.4.5 与其他主流模型的对比
| 模型 | 多功能性(密+稀+多向量) | 多语言支持 | 长文本处理(最大Token) | 开源/商用 |
|---|---|---|---|---|
| BGE-M3 | ✅ 支持 | 100+种 | 8192 | 开源免费 |
| OpenAI text-embedding-3-large | ❌ 仅密集 | 100+种 | 128K | 闭源商用 |
| BGE-base | ❌ 仅密集 | 中文为主 | 512 | 开源免费 |
| Jina Embeddings v2 | ❌ 仅密集 | 100+种 | 200K | 商用+开源 |
BGE-M3的“M3”特性,使其成为当前开源嵌入模型中“功能最全面、场景适配性最强”的选择,尤其适合需要兼顾多检索模式、多语言、长文本的复杂场景。
- 多模态嵌入模型的应用
5.1 多模态处理的核心特点(以Visualized_BGE为例)

在这里插入图片描述
Visualized_BGE是BGE系列衍生的多模态嵌入模型(由FlagOpen团队开发),核心是在同一框架下实现“文本+图像”的联合嵌入,其核心特点围绕“多模态处理、统一嵌入空间、跨模态检索”展开:
5.1.1 多模态处理:同一框架兼容文本与图像
Visualized_BGE的核心能力是在单一模型架构中同时处理文本和图像数据,无需额外集成独立的文本编码器/图像编码器:
- • 文本处理:复用BGE的文本编码能力,支持多语言、长文本的语义嵌入;
- • 图像处理:引入视觉编码器(如ViT),将图像转化为与文本同维度的向量;
- • 优势:避免多模型集成的兼容性问题,简化部署流程,降低推理成本。
5.1.2 统一嵌入空间:文本与图像的向量可直接比对
Visualized_BGE通过跨模态对齐训练,将文本、图像映射到同一向量空间:
- • 训练逻辑:利用“文本-图像配对数据”(如“一只小狗”的文本与对应的小狗图片)训练模型,让语义匹配的文本和图像在向量空间中距离极近;
- • 效果:文本向量与图像向量的相似度可直接计算(如“可爱的小狗”的文本向量,与小狗图片的图像向量,相似度远高于与猫咪图片的向量)。
5.1.3 跨模态检索:实现“以文搜图、以图搜文”
基于“统一嵌入空间”,Visualized_BGE支持双向跨模态检索,是其核心应用价值:
- • 以文搜图:输入文本描述(如“蛇灵组织的标志”),检索向量空间中最相似的图像;
- • 以图搜文:输入图像(如一张狄仁杰的剧照),检索向量空间中最匹配的文本描述(如“狄仁杰在崇州案中的造型”);
- • 适用场景:多模态知识库、图文内容推荐、智能内容检索等。
5.1.4 Visualized_BGE的额外特性(结合项目信息)
从GitHub项目信息看,Visualized_BGE还具备:
- • 开源可定制:提供训练、微调代码,支持基于企业私有图文数据优化(如特定领域的图文对齐);
- • 多任务适配:支持零样本跨模态检索(无需针对特定任务微调),适配不同场景的快速落地;
- • 兼容BGE生态:可与BGE-M3等文本嵌入模型协同使用,构建“文本+图像”的多模态RAG系统。
5.1.5 核心价值与适用场景
Visualized_BGE的核心价值是打破文本与图像的模态壁垒,让多模态数据可通过向量直接交互,典型适用场景包括:
- 多模态知识库:同时存储文本文档与配套图像,支持图文混合检索;
- 内容创作辅助:输入文本描述检索参考图像,或输入图像生成匹配的文本说明;
- 智能客服:同时理解用户发送的“文本+图像”信息(如“这个商品坏了”+破损图),精准匹配解决方案。
Visualized_BGE作为BGE生态的多模态延伸,是开源领域中“文本-图像跨模态嵌入”的优质方案之一,尤其适合需要低成本构建多模态检索系统的场景。
5.2 嵌入技术最新发展

如何学习大模型 AI ?
由于新岗位的生产效率,要优于被取代岗位的生产效率,所以实际上整个社会的生产效率是提升的。
但是具体到个人,只能说是:
“最先掌握AI的人,将会比较晚掌握AI的人有竞争优势”。
这句话,放在计算机、互联网、移动互联网的开局时期,都是一样的道理。
我在一线互联网企业工作十余年里,指导过不少同行后辈。帮助很多人得到了学习和成长。
我意识到有很多经验和知识值得分享给大家,也可以通过我们的能力和经验解答大家在人工智能学习中的很多困惑,所以在工作繁忙的情况下还是坚持各种整理和分享。但苦于知识传播途径有限,很多互联网行业朋友无法获得正确的资料得到学习提升,故此将并将重要的AI大模型资料包括AI大模型入门学习思维导图、精品AI大模型学习书籍手册、视频教程、实战学习等录播视频免费分享出来。

第一阶段(10天):初阶应用
该阶段让大家对大模型 AI有一个最前沿的认识,对大模型 AI 的理解超过 95% 的人,可以在相关讨论时发表高级、不跟风、又接地气的见解,别人只会和 AI 聊天,而你能调教 AI,并能用代码将大模型和业务衔接。
- 大模型 AI 能干什么?
- 大模型是怎样获得「智能」的?
- 用好 AI 的核心心法
- 大模型应用业务架构
- 大模型应用技术架构
- 代码示例:向 GPT-3.5 灌入新知识
- 提示工程的意义和核心思想
- Prompt 典型构成
- 指令调优方法论
- 思维链和思维树
- Prompt 攻击和防范
- …
第二阶段(30天):高阶应用
该阶段我们正式进入大模型 AI 进阶实战学习,学会构造私有知识库,扩展 AI 的能力。快速开发一个完整的基于 agent 对话机器人。掌握功能最强的大模型开发框架,抓住最新的技术进展,适合 Python 和 JavaScript 程序员。
- 为什么要做 RAG
- 搭建一个简单的 ChatPDF
- 检索的基础概念
- 什么是向量表示(Embeddings)
- 向量数据库与向量检索
- 基于向量检索的 RAG
- 搭建 RAG 系统的扩展知识
- 混合检索与 RAG-Fusion 简介
- 向量模型本地部署
- …
第三阶段(30天):模型训练
恭喜你,如果学到这里,你基本可以找到一份大模型 AI相关的工作,自己也能训练 GPT 了!通过微调,训练自己的垂直大模型,能独立训练开源多模态大模型,掌握更多技术方案。
到此为止,大概2个月的时间。你已经成为了一名“AI小子”。那么你还想往下探索吗?
- 为什么要做 RAG
- 什么是模型
- 什么是模型训练
- 求解器 & 损失函数简介
- 小实验2:手写一个简单的神经网络并训练它
- 什么是训练/预训练/微调/轻量化微调
- Transformer结构简介
- 轻量化微调
- 实验数据集的构建
- …
第四阶段(20天):商业闭环
对全球大模型从性能、吞吐量、成本等方面有一定的认知,可以在云端和本地等多种环境下部署大模型,找到适合自己的项目/创业方向,做一名被 AI 武装的产品经理。
- 硬件选型
- 带你了解全球大模型
- 使用国产大模型服务
- 搭建 OpenAI 代理
- 热身:基于阿里云 PAI 部署 Stable Diffusion
- 在本地计算机运行大模型
- 大模型的私有化部署
- 基于 vLLM 部署大模型
- 案例:如何优雅地在阿里云私有部署开源大模型
- 部署一套开源 LLM 项目
- 内容安全
- 互联网信息服务算法备案
- …
学习是一个过程,只要学习就会有挑战。天道酬勤,你越努力,就会成为越优秀的自己。
如果你能在15天内完成所有的任务,那你堪称天才。然而,如果你能完成 60-70% 的内容,你就已经开始具备成为一名大模型 AI 的正确特征了。
这份完整版的大模型 AI 学习资料已经上传CSDN,朋友们如果需要可以微信扫描下方CSDN官方认证二维码免费领取【保证100%免费】

更多推荐



所有评论(0)