收藏!2025大模型面试必备:17道RLHF高频题深度解析
本文是2025年大模型面试宝典,重点解析RLHF(基于人类反馈的强化学习)技术。涵盖17个高频面试题及详细解答,包括RLHF原理、训练流程、奖励模型、价值模型等核心概念。特别针对Deepseek等热门大模型,强调MLA注意力、MTP、GRPO等关键技术点。适合准备大厂面试的算法工程师,帮助掌握大模型对齐人类价值观的核心技术,提升面试竞争力。
前言
对于目前很火的 Deepseek,最近有准备LLM面试的学员问需要重点掌握哪些东西,给大家的建议是这块最重要的是deepseek v3和r1的技术报告,建议大家去精读一下,其中MLA注意力,MTP,GRPO,冷启动数据,这些是重点。
随着 ChatGPT 等大模型席卷全球,RLHF(基于人类反馈的强化学习)已成为算法岗求职热点。
作为大模型对齐人类价值观的核心技术,RLHF 不仅决定了模型的"情商",更是面试中高频出现的必考点——如何设计奖励函数?数据标注有哪些陷阱?策略优化如何平衡性能与安全?
无论你是准备冲刺大厂,还是深入理解前沿技术,掌握 RLHF 的核心逻辑和落地难点都至关重要。本文梳理 17 道 RLHF 高频面试题+深度解析,助你斩获 offer!
Q1:什么是 RLHF?为什么要用它训练语言模型?
解析:
RLHF(基于人类反馈的强化学习)通过人类偏好数据优化模型,解决传统语言模型无法直接优化复杂目标(如“有趣且无害”)的问题。
其核心价值在于:
- 将模糊的人类价值观转化为可量化的奖励信号。
- 使模型生成更安全、有用、符合伦理的文本。
Q2:为什么 RLHF 比监督微调(SFT)更适合复杂任务?
解析:
SFT 局限:需明确“标准答案”,无法处理多目标(如“幽默且严谨”)。
RLHF 优势:
- 通过人类偏好数据定义复杂目标。
- 模型在试错中学习权衡不同目标。
案例:ChatGPT 通过 RLHF 平衡“信息量”和“无害性”。
Q3:RLHF 的训练流程分为哪几步?
解析:
预训练:用海量文本训练基础语言模型(如GPT-3)。
奖励建模:人工标注生成结果的优劣,训练奖励模型(RM)。
强化学习优化:以 RM 为裁判,用PPO算法优化语言模型。
Q4:奖励模型(RM)的意义和训练方法是什么?
解析:
意义:
- RM 是 RLHF 的“裁判”,将人类偏好转化为可量化的奖励信号。
- 解决语言模型无法直接优化复杂目标(如“有趣且严谨”)的问题。
训练方法:
- 数据收集:用基础模型生成多个回答,人工对回答排序(如 A > B > C)。
- 模型训练:将排序转化为 pairwise 损失函数:

Q5:奖励模型(RM)的训练数据如何收集?
解析:
数据生成:让基础模型为同一问题生成多个候选回答(如 4-9 个)。
人工标注:标注员对回答排序或打分(例如 A > B > C)。
数据增强:覆盖多样场景(开放问答、伦理判断、逻辑推理等)。
Q6:RLHF 中奖励模型(RM)训练好后会一直不变吗?
解析:
常规情况:在单轮 RLHF 训练中,RM 固定不变,PPO 仅优化策略模型。
需更新 RM 的场景:
- 迭代训练:当策略模型生成的文本超出 RM 训练时的数据分布(如质量显著提升)。
- 奖励破解:模型找到 RM 的漏洞(例如堆砌关键词骗取高分)。
- 领域扩展:新增任务或场景需补充标注数据(如从通用对话扩展到医疗咨询)。
更新方法:重新采集人类反馈数据,微调或重新训练 RM。
Q7:价值模型(VM)的本质与作用是什么?为什么不能直接用 RM?
解析:
本质:VM 是强化学习中的状态价值函数,预测从当前状态(已生成文本)出发的长期预期收益。
核心作用:
- 信用分配:将句子级奖励拆解为 token 级收益,回答“哪个 token 对最终奖励贡献更大”。
- 序列决策支持:生成文本是逐步进行的,VM 帮助模型权衡当前动作对未来的影响。通过优势函数指导模型优化
与 RM 的关键区别:
- 输入:RM 需要完整回答,VM 仅需当前上下文。
- 输出:RM 提供全局评分,VM 提供局部价值预测。
- 角色:RM 是裁判,VM 是导航员。
Q8:价值模型的训练方法是什么?标签为何设计为衰减形式?
解析:
训练方法:

衰减设计的必要性:
- 时间折扣:未来奖励的权重应随时间递减(类似经济学中的“现值”概念,“现在的钱比未来更值钱”)。
- 数学收敛:无限累积未来奖励会导致数值爆炸,衰减确保收敛。
- 物理意义:生成早期 token 的影响需通过后续步骤传递,衰减反映这种间接性。

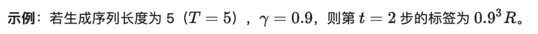
Q9:折扣因子(γ)为什么要设为 0.9 或 0.99?
解析:

Q10:折扣因子与早期错误的影响是否矛盾?
解析:

Q11:优势函数(Advantage)是如何计算的?
解析:

Q12:优势函数在哪些情况下会大于 0 或小于 0?
解析:

Q13:为什么价值模型存在预测误差,但优势函数仍能引导收敛?
解析:

Q14:PPO Loss 的构成是什么?如何与奖励模型关联?
思考:
PPO(Proximal Policy Optimization)的损失函数由三部分组成:

Q15:PPO 中的 KL 散度约束是什么?为什么需要它?
思考:
KL 散度:衡量优化后的语言模型与初始模型的输出分布差异。数学上表示为:

作用:
- 防止模型“放飞自我”:避免语言模型为追求高奖励生成乱码或偏离正常语言模式。
- 保持多样性:限制模型过度优化到单一高奖励模式(如重复固定句式)。
- 类比:老师允许学生改进作文,但要求“不能完全重写,必须保留原文 80% 的内容”。
Q16:RLHF 训练中如何应对“奖励破解”(Reward Hacking)?
解析:
现象:模型通过“作弊”获取高奖励(例如重复关键词“非常好!非常棒!”)。
解决方案:
- 在 RM 训练时加入正则化(如惩罚重复 n-gram)。
- 动态更新 RM 的训练数据,覆盖模型的新生成模式。
- 增加 KL 散度约束,限制策略突变。
Q17:RLHF 训练中有哪些常见失败模式?
解析:
模式坍塌:模型生成单一化回答(如所有问题都回复“这个问题需要深入分析”)。
过度优化:为追求高奖励生成不合理的文本(如过度使用复杂术语)。
人类偏好冲突:不同标注者对“好回答”的标准不一致。
解决方案:多样化训练数据、动态调整奖励函数、多人标注去噪。
最后
为了助力朋友们跳槽面试、升职加薪、职业困境,提高自己的技术,本文给大家整了一套涵盖AI大模型所有技术栈的快速学习方法和笔记。目前已经收到了七八个网友的反馈,说是面试问到了很多这里面的知识点。
由于文章篇幅有限,不能将全部的面试题+答案解析展示出来,有需要完整面试题资料的朋友,可以扫描下方二维码免费领取哦!!! 👇👇👇👇

面试题展示
1、请解释一下BERT模型的原理和应用场景。
答案:BERT(Bidirectional Encoder Representations from Transformers)是一种预训练的语言模型,通过双向Transformer编码器来学习文本的表示。它在自然语言处理任务中取得了很好的效果,如文本分类、命名实体识别等。
2、什么是序列到序列模型(Seq2Seq),并举例说明其在自然语言处理中的应用。
答案:Seq2Seq模型是一种将一个序列映射到另一个序列的模型,常用于机器翻译、对话生成等任务。例如,将英文句子翻译成法文句子。
3、请解释一下Transformer模型的原理和优势。
答案:Transformer是一种基于自注意力机制的模型,用于处理序列数据。它的优势在于能够并行计算,减少了训练时间,并且在很多自然语言处理任务中表现出色。
4、什么是注意力机制(Attention Mechanism),并举例说明其在深度学习中的应用。
答案:注意力机制是一种机制,用于给予模型对不同部分输入的不同权重。在深度学习中,注意力机制常用于提升模型在处理长序列数据时的性能,如机器翻译、文本摘要等任务。
5、请解释一下卷积神经网络(CNN)在计算机视觉中的应用,并说明其优势。
答案:CNN是一种专门用于处理图像数据的神经网络结构,通过卷积层和池化层提取图像特征。它在计算机视觉任务中广泛应用,如图像分类、目标检测等,并且具有参数共享和平移不变性等优势。
6、请解释一下生成对抗网络(GAN)的原理和应用。
答案:GAN是一种由生成器和判别器组成的对抗性网络结构,用于生成逼真的数据样本。它在图像生成、图像修复等任务中取得了很好的效果。
7、请解释一下强化学习(Reinforcement Learning)的原理和应用。
答案:强化学习是一种通过与环境交互学习最优策略的机器学习方法。它在游戏领域、机器人控制等领域有广泛的应用。
8、请解释一下自监督学习(Self-Supervised Learning)的原理和优势。
答案:自监督学习是一种无需人工标注标签的学习方法,通过模型自动生成标签进行训练。它在数据标注困难的情况下有很大的优势。
9、解释一下迁移学习(Transfer Learning)的原理和应用。
答案:迁移学习是一种将在一个任务上学到的知识迁移到另一个任务上的学习方法。它在数据稀缺或新任务数据量较小时有很好的效果。
10、请解释一下模型蒸馏(Model Distillation)的原理和应用。
答案:模型蒸馏是一种通过训练一个小模型来近似一个大模型的方法。它可以减少模型的计算和存储开销,并在移动端部署时有很大的优势。
11、请解释一下LSTM(Long Short-Term Memory)模型的原理和应用场景。
答案:LSTM是一种特殊的循环神经网络结构,用于处理序列数据。它通过门控单元来学习长期依赖关系,常用于语言建模、时间序列预测等任务。
12、请解释一下BERT模型的原理和应用场景。
答案:BERT(Bidirectional Encoder Representations from Transformers)是一种预训练的语言模型,通过双向Transformer编码器来学习文本的表示。它在自然语言处理任务中取得了很好的效果,如文本分类、命名实体识别等。
13、什么是注意力机制(Attention Mechanism),并举例说明其在深度学习中的应用。
答案:注意力机制是一种机制,用于给予模型对不同部分输入的不同权重。在深度学习中,注意力机制常用于提升模型在处理长序列数据时的性能,如机器翻译、文本摘要等任务。
14、请解释一下生成对抗网络(GAN)的原理和应用。
答案:GAN是一种由生成器和判别器组成的对抗性网络结构,用于生成逼真的数据样本。它在图像生成、图像修复等任务中取得了很好的效果。
15、请解释一下卷积神经网络(CNN)在计算机视觉中的应用,并说明其优势。
答案:CNN是一种专门用于处理图像数据的神经网络结构,通过卷积层和池化层提取图像特征。它在计算机视觉任务中广泛应用,如图像分类、目标检测等,并且具有参数共享和平移不变性等优势。
16、请解释一下强化学习(Reinforcement Learning)的原理和应用。
答案:强化学习是一种通过与环境交互学习最优策略的机器学习方法。它在游戏领域、机器人控制等领域有广泛的应用。
17、请解释一下自监督学习(Self-Supervised Learning)的原理和优势。
答案:自监督学习是一种无需人工标注标签的学习方法,通过模型自动生成标签进行训练。它在数据标注困难的情况下有很大的优势。
18、请解释一下迁移学习(Transfer Learning)的原理和应用。
答案:迁移学习是一种将在一个任务上学到的知识迁移到另一个任务上的学习方法。它在数据稀缺或新任务数据量较小时有很好的效果。
19、请解释一下模型蒸馏(Model Distillation)的原理和应用。
答案:模型蒸馏是一种通过训练一个小模型来近似一个大模型的方法。它可以减少模型的计算和存储开销,并在移动端部署时有很大的优势。
20、请解释一下BERT中的Masked Language Model(MLM)任务及其作用。
答案:MLM是BERT预训练任务之一,通过在输入文本中随机mask掉一部分词汇,让模型预测这些被mask掉的词汇。
由于文章篇幅有限,不能将全部的面试题+答案解析展示出来,有需要完整面试题资料的朋友,可以扫描下方二维码免费领取哦!!! 👇👇👇👇


更多推荐


所有评论(0)