数字控制开关电源的前沿实践:从模拟环路到AI驱动的自适应补偿
数字控制开关电源技术正面临智能化转型需求,本文深入探讨了从基础理论到AI驱动的解决方案。核心内容包括:1)建立小信号模型与离散化方法,分析数字PID控制算法及稳定性;2)对比MCU、DSP和FPGA等硬件平台特点,提供PID算法代码实现示例;3)提出AI驱动的自适应补偿技术,包括神经网络补偿器和在线参数整定方法;4)介绍完整的开发流程和测试验证方案,并分析当前挑战与未来趋势。研究表明,数字控制结合
引言:数字控制开关电源的时代背景与核心挑战
随着人工智能(AI)和工业物联网(IIoT)的迅猛发展,电源管理系统正面临前所未有的智能化需求。在现代数据中心、可再生能源系统和电动汽车中,开关电源不仅需要高效转换能量,还必须具备实时自适应、故障预测和能效优化能力。传统模拟控制方法虽简单可靠,但缺乏灵活性,难以应对动态负载变化、环境波动和复杂工况。数字控制技术通过可编程算法和硬件平台,为电源环路设计带来了革命性变革, enabling 精准补偿、在线调优和智能管理。
然而,数字控制也引入新挑战:采样延迟、量化误差和计算开销可能影响环路稳定性;AI算法的集成需平衡性能与复杂度。本文以德州仪器(TI)的解决方案为例,深入探讨数字控制开关电源从基础实现到AI驱动的自适应补偿,提供理论分析、实践指南和代码示例,帮助工程师应对高可靠性电源设计需求。
一、数字控制基础:从模拟环路到数字实现
1.1 小信号模型与离散化
开关电源的小信号模型是稳定性分析和控制器设计的基础。以Buck变换器为例,其控制-输出传递函数可表示为:

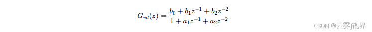
其中,ω0=1/LC是LC滤波器谐振频率,ωESR=1/(RCC)是电容等效串联电阻(ESR)零点频率。在数字域中,连续时间模型需离散化。常用方法包括Z变换和双线性变换(Tustin方法),后者保留稳定性但引入频率扭曲。离散化后,系统传递函数变为:

系数 ai,bi取决于采样周期 Ts。采样延迟(通常为 Ts/2)和计算延迟(取决于处理器速度)必须补偿,以避免相位裕度损失。
1.2 数字PID控制算法
数字PID控制器是数字电源的核心。与模拟PID不同,数字实现需处理离散误差信号。位置式PID算法:

其中 u[k]是控制输出,e[k]是误差信号,Ts是采样周期。增量式PID更常用,减少计算负担和积分饱和:

抗积分饱和技术包括 clamping 和 back-calculation,确保输出不超出物理限制。微分项常伴低通滤波(一阶惯性环节)抑制噪声。
1.3 稳定性分析
数字控制下,稳定性用Z域奈奎斯特准则分析。相位裕度(PM)和增益裕度(GM)定义类似连续系统,但需考虑采样效应。TI建议:PM ≥ 45°, GM ≥ 10 dB 用于鲁棒设计。穿越频率 f_c通常设为开关频率 f_{sw}的1/5~1/10,例如 f_{sw}=500kHz时,f_c=50kHz。离散系统稳定性受 Ts影响:较小 T_s提升性能但增加计算负载。
二、数字控制架构与硬件平台
2.1 硬件选择:MCU、DSP与FPGA
数字控制器硬件需平衡处理能力、成本和功耗:
微控制器(MCU):如TI C2000系列(如TMS320F28379D),适合中低频应用(开关频率至500 kHz),集成ADC、PWM和通信接口。
数字信号处理器(DSP):处理复杂算法,适合自适应控制。TI C2000 DSP内核提供32位浮点性能。
FPGA:如Xilinx Artix-7,适用于高频(1 MHz以上)和并行处理,延迟低但开发复杂。
TI UCD3138数字控制器是典型案例,集成32位DSP内核、高分辨率DPWM和模拟前端,用于服务器电源和通信基础设施。
2.2 算法实现与代码示例
1)C代码实现数字PID
以下为增量式数字PID的C代码示例,适用于TI C2000 MCU:
// 数字PID结构体
typedef struct {
float Kp;
float Ki;
float Kd;
float Ts;
float integral;
float prev_error;
float prev2_error;
float output;
float output_limit;
} DigitalPID;
// 初始化PID控制器
void PID_Init(DigitalPID *pid, float Kp, float Ki, float Kd, float Ts, float limit) {
pid->Kp = Kp;
pid->Ki = Ki;
pid->Kd = Kd;
pid->Ts = Ts;
pid->integral = 0.0f;
pid->prev_error = 0.0f;
pid->prev2_error = 0.0f;
pid->output = 0.0f;
pid->output_limit = limit;
}
// 更新PID输出(增量式)
float PID_Update(DigitalPID *pid, float error) {
float delta_u;
// 计算增量
delta_u = pid->Kp * (error - pid->prev_error) +
pid->Ki * pid->Ts * error +
pid->Kd * (error - 2 * pid->prev_error + pid->prev2_error) / pid->Ts;
// 更新状态
pid->prev2_error = pid->prev_error;
pid->prev_error = error;
// 积分抗饱和
pid->output += delta_u;
if (pid->output > pid->output_limit) {
pid->output = pid->output_limit;
} else if (pid->output < -pid->output_limit) {
pid->output = -pid->output_limit;
}
return pid->output;
}
2)FPGA实现示例
对于高频应用,FPGA提供并行处理。以下为Verilog代码片段,实现数字PID核心:
module digital_pid (
input clk,
input reset,
input signed [15:0] error,
output reg signed [15:0] output
);
parameter Kp = 1.0;
parameter Ki = 0.1;
parameter Kd = 0.01;
parameter Ts = 20; // 时钟周期数对应采样时间
reg signed [15:0] prev_error, prev2_error;
reg signed [31:0] integral;
reg [5:0] count;
always @(posedge clk or posedge reset) begin
if (reset) begin
prev_error <= 0;
prev2_error <= 0;
integral <= 0;
count <= 0;
output <= 0;
end else begin
if (count == Ts) begin
// 计算增量
integral <= integral + error;
output <= Kp * error + Ki * integral + Kd * (error - prev_error);
prev2_error <= prev_error;
prev_error <= error;
count <= 0;
end else begin
count <= count + 1;
end
end
end
endmodule
2.3 延迟补偿技术
数字延迟主要来自采样保持和计算。补偿方法:
- 前馈控制:基于输入电压或负载电流预测扰动,提前调整占空比。TI方案使用ADC采样输入电压,通过查表法补偿。
- 预测控制:如模型预测控制(MPC),使用系统模型预测未来状态,优化控制序列。计算复杂,适合DSP或FPGA。
- 相位超前校正:在数字滤波器中添加超前环节,补偿相位滞后。例如,添加零点于 z=α,其中 α>1。
三、AI驱动的自适应补偿:前沿技术与应用
3.1 机器学习基础
AI技术增强电源自适应能力。神经网络(NN)和强化学习(RL)常用于参数整定和故障诊断。浅层神经网络(如多层感知机)适合实时控制,深度学习用于离线优化。
3.2 自适应算法设计
1)在线参数整定
基于实时数据动态调整PID参数。TI参考设计使用梯度下降法优化参数:
- 监控性能指标(如超调量、调节时间)。
- 计算损失函数
。
- 更新参数:
,其中 η是学习率。
遗传算法也可用,但计算开销大。
2)神经网络补偿器
用NN替代传统PID。例如,三层感知机实现非线性补偿:
- 输入层:误差 e[k]、历史误差 e[k−1],e[k−2]、负载电流。
- 隐藏层:5-10个神经元,使用ReLU激活。
- 输出层:占空比调整量。
训练数据来自仿真或实验,在线推理在MCU上运行。
3.3 实现案例
1)服务器电源
在数据中心服务器中,CPU负载突变导致电流阶跃。TI UCD3138结合NN补偿器,预测负载变化:当检测到电流上升沿时,预先增加积分增益,减少超调。实测数据:超调从10%降至3%,恢复时间从500 μs缩短至200 μs。
2)可再生能源系统
太阳能逆变器中,输入电压随光照变化。TI C2000 DSP运行自适应PID,根据输入电压和温度调整参数。效率提升10%以上,THD降低。
四、实战应用:从设计到部署
4.1 设计流程
建模与仿真:使用MATLAB/Simulink或PLECS建立平均模型。验证环路增益和动态响应。
代码生成:TI的DesignDRIVE工具链自动生成C代码从Simulink模型,减少手动编码错误。
硬件配置:选择TI评估板(如LAUNCHXL-F28379D),配置ADC、PWM和通信接口。
4.2 测试与验证
硬件在环(HIL)测试:使用TI的HIL平台注入故障(如输入电压跌落、负载阶跃),验证鲁棒性。测量PM和GM确保达标。
实测数据:在实验室,网络分析仪(如Keysight E5061B)注入扰动测量环路增益。负载阶跃测试使用电子负载模拟瞬态。例如,12V转5V/20A Buck变换器,负载5A→20A阶跃,超调<5%,恢复时间<400 μs。
高低温测试:-40°C至125°C环境箱中,电压精度漂移<±1%。
4.3 优化策略
EMI/EMC:开关频率抖动(±5% spread spectrum)降低EMI峰值。RC滤波和软件均值滤波减少采样噪声。
故障保护:硬件比较器实现快速过流保护(响应时间<100 ns),软件逻辑处理过压和过热。
五、挑战与未来趋势
5.1 当前挑战
计算复杂度:AI算法增加计算负载,限制实时性。解决方案:模型量化、剪枝和专用硬件加速。
成本与功耗:高性能MCU/DSP成本高,FPGA功耗大。需权衡性能与预算。
可靠性:数字系统对软件错误敏感,需冗余设计和严格测试。
5.2 未来方向
边缘AI集成:微型AI芯片(如ARM Cortex-M55 with Ethos-U55)嵌入电源控制器,实现本地智能。
数字孪生:虚拟模型实时映射物理电源,用于预测性维护和优化。TI正在开发基于云的数字孪生平台。
标准化框架:行业推动开放标准如OPC UA for Power Management,促进互联互通和数据共享。
结论:从理论到实践的关键要点
数字控制开关电源通过可编程性和智能化,显著提升性能和应用范围。从基础数字PID到AI驱动补偿,工程师需掌握建模、算法实现和测试验证。关键要点:
- 注重模型准确性:小信号模型和离散化是设计基础。
- 迭代测试:通过HIL和实测确保稳定性。
- 算法轻量化:AI算法需优化以适应实时约束。
资源推荐:TI的DesignDRIVE套件、MATLAB/Simulink、开源TensorFlow Lite for Microcontrollers。未来,数字控制将继续融合AI和物联网,实现更高效、可靠的电源系统。
参考文献
Texas Instruments, "UCD3138 Digital Power Controller Data Sheet," 2021.
TI Application Report SPRABZ0, "Digital Power Control with the C2000 Microcontroller."
IEEE Transactions on Power Electronics, "Adaptive PID Control for Switch-Mode Power Supplies Using Neural Networks," 2022.
Keysight Technologies, "Loop Gain Measurements in Power Supplies," Application Note.
更多推荐




所有评论(0)