LeetCode //C - 919. Complete Binary Tree Inserter
Summary: This problem involves maintaining a complete binary tree (CBT) where all levels except possibly the last are fully filled, and nodes are left-aligned. The solution implements a CBTInserter cl
919. Complete Binary Tree Inserter
A complete binary tree is a binary tree in which every level, except possibly the last, is completely filled, and all nodes are as far left as possible.
Design an algorithm to insert a new node to a complete binary tree keeping it complete after the insertion.
Implement the CBTInserter class:
- CBTInserter(TreeNode root) Initializes the data structure with the root of the complete binary tree.
- int insert(int v) Inserts a TreeNode into the tree with value Node.val == val so that the tree remains complete, and returns the value of the parent of the inserted TreeNode.
- TreeNode get_root() Returns the root node of the tree.
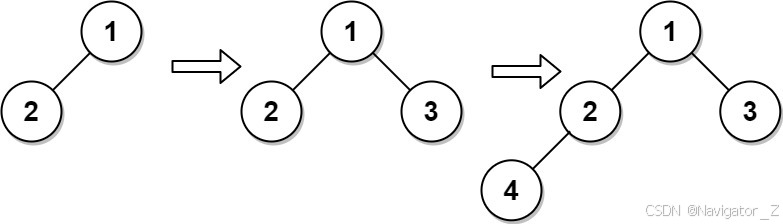
Example 1:

Input:
[“CBTInserter”, “insert”, “insert”, “get_root”]
[[[1, 2]], [3], [4], []]
Output:
[null, 1, 2, [1, 2, 3, 4]]
Explanation
CBTInserter cBTInserter = new CBTInserter([1, 2]);
cBTInserter.insert(3); // return 1
cBTInserter.insert(4); // return 2
cBTInserter.get_root(); // return [1, 2, 3, 4]
Constraints:
- The number of nodes in the tree will be in the range [1, 1000].
- 0 <= Node.val <= 5000
- root is a complete binary tree.
- 0 <= val <= 5000
- At most 104 calls will be made to insert and get_root.
From: LeetCode
Link: 919. Complete Binary Tree Inserter
Solution:
Ideas:
-
Key idea:
- Keep a queue (cand) of nodes that can accept a new child (i.e., not having both left and right children).
-
Initialization (cBTInserterCreate):
- Perform a level-order traversal (BFS) from the root.
- Add every node with at least one empty child into the candidate queue.
-
Insert (cBTInserterInsert):
- Take the front node of the queue (the current parent).
- Insert the new node as its left child if empty; otherwise as right child.
- If the parent now has both children, remove it from the queue.
- Add the newly inserted node to the queue (it may receive children later).
- Return the value of the parent node.
-
Get root (cBTInserterGet_root):
- Simply return the stored root pointer.
-
Free (cBTInserterFree):
- Free memory used by the candidate queue and the structure itself.
Code:
/**
* Definition for a binary tree node.
* struct TreeNode {
* int val;
* struct TreeNode *left;
* struct TreeNode *right;
* };
*/
typedef struct {
struct TreeNode *root;
struct TreeNode **cand; // parents with at least one empty child
int head, tail, cap; // simple grow-only queue indices
} CBTInserter;
/* ------- internal helpers ------- */
static void ensure_capacity(CBTInserter *obj, int extra) {
if (obj->tail + extra < obj->cap) return;
while (obj->tail + extra >= obj->cap) obj->cap <<= 1;
obj->cand = (struct TreeNode **)realloc(obj->cand, obj->cap * sizeof(struct TreeNode *));
}
static void enqueue(CBTInserter *obj, struct TreeNode *node) {
ensure_capacity(obj, 1);
obj->cand[obj->tail++] = node;
}
/* ------- API ------- */
CBTInserter* cBTInserterCreate(struct TreeNode* root) {
CBTInserter *obj = (CBTInserter *)malloc(sizeof(CBTInserter));
obj->root = root;
obj->cap = 2048; // plenty; will grow if needed
obj->cand = (struct TreeNode **)malloc(obj->cap * sizeof(struct TreeNode *));
obj->head = obj->tail = 0;
// Level-order traversal to find initial candidate parents
int qcap = 2048;
struct TreeNode **q = (struct TreeNode **)malloc(qcap * sizeof(struct TreeNode *));
int h = 0, t = 0;
q[t++] = root;
while (h < t) {
struct TreeNode *cur = q[h++];
if (cur->left) {
if (t >= qcap) { qcap <<= 1; q = (struct TreeNode **)realloc(q, qcap * sizeof(struct TreeNode *)); }
q[t++] = cur->left;
}
if (cur->right) {
if (t >= qcap) { qcap <<= 1; q = (struct TreeNode **)realloc(q, qcap * sizeof(struct TreeNode *)); }
q[t++] = cur->right;
}
if (!(cur->left && cur->right)) enqueue(obj, cur); // has a free child spot
}
free(q);
return obj;
}
int cBTInserterInsert(CBTInserter* obj, int val) {
struct TreeNode *node = (struct TreeNode *)malloc(sizeof(struct TreeNode));
node->val = val;
node->left = node->right = NULL;
struct TreeNode *par = obj->cand[obj->head];
if (par->left == NULL) {
par->left = node;
} else {
par->right = node;
obj->head++; // parent is now full
}
enqueue(obj, node); // new node may accept children later
return par->val;
}
struct TreeNode* cBTInserterGet_root(CBTInserter* obj) {
return obj->root;
}
void cBTInserterFree(CBTInserter* obj) {
if (!obj) return;
free(obj->cand);
free(obj);
}
/*
* Your CBTInserter struct will be instantiated and called as such:
* CBTInserter* obj = cBTInserterCreate(root);
* int param_1 = cBTInserterInsert(obj, val);
* struct TreeNode* param_2 = cBTInserterGet_root(obj);
* cBTInserterFree(obj);
*/
更多推荐


所有评论(0)