揭秘大模型强化学习RL的熵衰减机制:策略梯度衰减原理与解决方案!
文章深入探讨了强化学习中熵衰减与策略梯度之间的关系。研究表明,熵收敛到0会导致策略梯度幅度衰减,这是因为softmax参数化的特殊曲率使高概率动作的梯度范数更小。这种现象可能使学习陷入局部最优,难以跳出。作者提出使用牛顿法或其他参数化方式可以缓解这一问题,并指出在大模型与强化学习的结合研究中,改进softmax参数化导致的特殊学习动态仍有广阔空间。
最近半年以来,有关于 RL+Entropy 的研究非常的多。对于离散的动作空间 A , 策略 π 在状态 s 处的 entropy 为:

直观上而言,entropy 收敛到 0,意味着策略极化到某一个确定性的解上,并且不容易跳出来,这也是“收敛”两字的蕴含之意。
但一个问题是,到底背后发生了什么,导致了该现象发生?对于 softmax policy,即:


一、Entropy衰减,策略梯度幅度衰减
首先第一个理论结果我们已经写在 EMPG 论文中。
https://arxiv.org/pdf/2509.09265

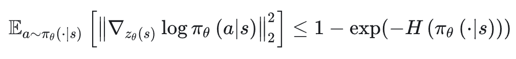
这个理论结果说明了,对于 softmax 策略,状态 s 处,期望下关于 logits 的策略梯度范数直接等于 1-exp{-H2} 。
Renyi-2 entropy,即 H2,越小,例如接近 0,那么期望的策略梯度范数也接近 0。注意到我们一般讨论的 entropy 为信息熵,实际上是 Renyi-1 entropy。
Renyi entropy 在 order 上存在单调性,即 Renyi-1 entropy 大于 Renyi-2 entropy。
从而上述的理论结果可以推到下面的不等式:

实际上,这个定理的主要推导并不复杂。其背后的原理是:高概率 action 的策略梯度范数更小。而 entropy 越低,更容易产生高概率的 action,因此导致期望的梯度范数衰减。
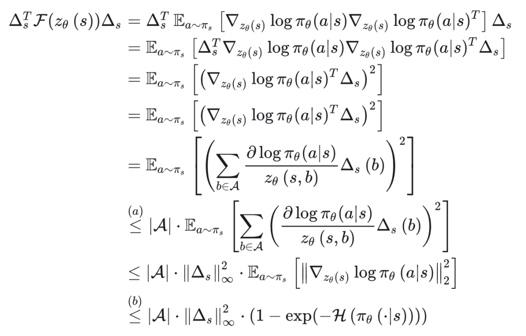
二、Entropy衰减,策略Reverse KL移动幅度上界衰减
实际上,我们有下面一个定理,可以进一步佐证这个事情。假设我们有一个基础策略 π_θ,经过某个算法更新后(例如 PG),得到新的策略 π_θ+。
我们考虑状态 s 处的更新前后的 logits 向量的差,即:

那我们可以得到如下的不等式证明:

其中:

是一个根据泰勒展开得到的,关于 logits 移动幅度距离的高阶项。在 logits 移动距离幅度的不大的时候可以忽略。
因此如果只关注 RHS 的第一项,我们可以看到:

不等式证明:
为方便符号简单,我们记策略向量:

我们定义向量函数:

为以向量 z 作为 logits 与 π_s 的 KL 距离。于是根据泰勒展开,容易知道:

根据推导,我们可以得到(此处省略):

从而直接推导我们可以得到:

其中(a)使用了幂等不等式,(b)实际上利用了第一个理论结果中的不等式。将这个二次项带入 KL 的泰勒展开,我们即得到了结果。
三、总结
从上述推导可以看到,这两个性质的出现,即 entropy 收敛导致的学习衰退,完全是由于 softmax 参数化的特殊的曲率导致的。
在之前的 RL 研究中使用牛顿法(如 NPG)或者换其他参数化(比如我自己文章的 Hadamard 参数下的 PG)y 一定程度上都能够克服这样的事情,避免陷在局部最优上出不来。
https://academic.oup.com/imaiai/article-pdf/doi/10.1093/imaiai/iaaf003/62206681/iaaf003.pdf
我们的 LLM+RL 的研究,仍然有机会去改进 softmax 参数化导致的特殊的学习 dynamic。
四、如何学习AI大模型?
如果你对AI大模型入门感兴趣,那么你需要的话可以点击这里大模型重磅福利:入门进阶全套104G学习资源包免费分享!
这份完整版的大模型 AI 学习和面试资料已经上传CSDN,朋友们如果需要可以微信扫描下方CSDN官方认证二维码免费领取【保证100%免费】

这是一份大模型从零基础到进阶的学习路线大纲全览,小伙伴们记得点个收藏!

第一阶段: 从大模型系统设计入手,讲解大模型的主要方法;
第二阶段: 在通过大模型提示词工程从Prompts角度入手更好发挥模型的作用;
第三阶段: 大模型平台应用开发借助阿里云PAI平台构建电商领域虚拟试衣系统;
第四阶段: 大模型知识库应用开发以LangChain框架为例,构建物流行业咨询智能问答系统;
第五阶段: 大模型微调开发借助以大健康、新零售、新媒体领域构建适合当前领域大模型;
第六阶段: 以SD多模态大模型为主,搭建了文生图小程序案例;
第七阶段: 以大模型平台应用与开发为主,通过星火大模型,文心大模型等成熟大模型构建大模型行业应用。
100套AI大模型商业化落地方案

大模型全套视频教程

200本大模型PDF书籍

👉学会后的收获:👈
• 基于大模型全栈工程实现(前端、后端、产品经理、设计、数据分析等),通过这门课可获得不同能力;
• 能够利用大模型解决相关实际项目需求: 大数据时代,越来越多的企业和机构需要处理海量数据,利用大模型技术可以更好地处理这些数据,提高数据分析和决策的准确性。因此,掌握大模型应用开发技能,可以让程序员更好地应对实际项目需求;
• 基于大模型和企业数据AI应用开发,实现大模型理论、掌握GPU算力、硬件、LangChain开发框架和项目实战技能, 学会Fine-tuning垂直训练大模型(数据准备、数据蒸馏、大模型部署)一站式掌握;
• 能够完成时下热门大模型垂直领域模型训练能力,提高程序员的编码能力: 大模型应用开发需要掌握机器学习算法、深度学习框架等技术,这些技术的掌握可以提高程序员的编码能力和分析能力,让程序员更加熟练地编写高质量的代码。
LLM面试题合集

大模型产品经理资源合集

大模型项目实战合集

👉获取方式:
😝有需要的小伙伴,可以保存图片到wx扫描二v码免费领取【保证100%免费】🆓

更多推荐


所有评论(0)