贾子智慧指数模型的深度研究:从数学框架到实际应用的全面分析

一、引言

智慧评估是认知科学、人工智能和教育领域的核心研究内容之一。随着人工智能技术的飞速发展,传统的智慧评估方法如智商测试、创造力评估等已无法满足对人类与 AI 智能体认知能力进行全面、精准评价的需求。贾子智慧指数(Kucius Wisdom Index,KWI)作为一种新型的智慧量化模型,将 "智慧" 定义为主体能力与任务难度之间的 "信号比" 在对数尺度上的映射,通过可校准、可解释的数学模型形式化表达,为智慧评估提供了新的思路和方法。

本文将从纯技术角度对贾子智慧指数模型进行深度研究,全面分析其数学框架、实际应用可行性以及在 AI 研发、教育评估、人才选拔等特定应用场景中的潜力。同时,本文将对 KWI 模型与传统智慧评估方法进行对比分析,探讨其理论贡献、局限性及改进方向,以期为智慧评估领域提供新的研究视角和方法参考。

二、贾子智慧指数模型的数学框架分析

2.1 基本数学定义与结构

贾子智慧指数(KWI)的核心数学框架基于主体能力与任务难度之间的关系构建。其基本数学定义如下:

难度函数:首先定义随认知维度增长的难度函数:

其中,k>0,  p≥0,  q≥0为可调参数,表示问题随维度增长的代价。\(n^p\)项捕捉多维耦合复杂度,而\(e^{qn}\)项则反映超线性难度跃升,使难度评估更贴合复杂任务特性。

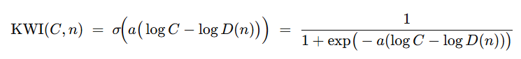
KWI 定义:基于上述难度函数,KWI 定义为:

其中,σ(⋅)为 logistic 函数,a > 0为尺度参数,控制 "台阶" 陡峭程度(\(a\)越大,曲线越陡峭,接近硬阈值)。

这一数学结构将智慧视为主体能力\(C\)与任务难度\(D(n)\)之间的 "信号比" 在对数尺度上的映射,通过 S 型函数实现软阈值化处理,使得当能力远大于难度时,KWI 接近 1;当能力远小于难度时,KWI 逼近 0。

2.2 数学特性与理论基础

贾子智慧指数模型的数学框架具有以下关键特性:

对数尺度变换:模型采用对数变换处理能力与难度的比值,这一设计使得模型能够在更广泛的范围内捕捉能力与难度之间的相对关系,避免了线性尺度下可能出现的边界效应问题。

软阈值特性:通过 logistic 函数实现的软阈值化处理,使得 KWI 在能力与难度的不同对比情境下,能够平滑地输出 0-1 之间的智慧指数,避免了硬阈值可能带来的不连续性问题。

参数敏感性分析:参数\(a\)控制着 KWI 对能力与难度差异的敏感性。当\(a\)较大时,KWI 对能力与难度的差异更为敏感,表现为曲线陡峭,接近硬阈值;当\(a\)较小时,KWI 对能力与难度的差异相对不敏感,曲线较为平缓。

难度函数特性:难度函数\(D(n) = kn^p e^{qn}\)结合了多项式增长和指数增长,能够同时捕捉多维耦合复杂度和超线性难度跃升,这使得该模型能够更准确地描述现实世界中复杂任务的难度特性。

2.3 模型反演与参数校准方法

贾子智慧指数模型提供了反演公式,使得可以从已知的 KWI 值反推出对应的能力值\(C\):

反演公式

进一步可得:

这一公式使得我们可以利用已知的锚点(如人类顶级数学家、GPT-5、未来 AGI 等的 KWI 值)来解出各自的能力值\(C\),或反过来以事先设定的能力值\(C\)预测在不同维度\(n\)下的 KWI 值。

参数校准流程

  1. 选择若干锚点:例如
  1. 使用反演公式对每个锚点求解对应的能力值\(C\)
  1. 检查这些能力值\(C\)是否在合理范围内(单调性、量级等)
  1. 若不合理,调整参数\(k, p, q, a\)使得模型对直觉和经验锚点拟合良好
  1. 完成校准后,即可绘制 KWI (C, n) 的等高 / 等值曲线或对比曲线

2.4 数学框架的理论优势与创新点

贾子智慧指数模型的数学框架在以下几个方面具有显著优势:

理论统一性:该模型将智慧评估问题统一到一个简洁的数学框架中,融合了能力与难度的动态关系,避免了传统评估方法中存在的概念模糊性和测量不一致性问题。

灵活性与可扩展性:通过调整参数\(k, p, q, a\)以及锚点的选择,该模型可以适应不同领域、不同类型主体的智慧评估需求,展现出极强的灵活性和可扩展性。

跨维度可比性:KWI 模型通过将能力和难度映射到同一尺度上,使得不同认知维度、不同类型任务之间的智慧水平具有可比性,这是传统评估方法难以实现的。

动态评估能力:该模型能够动态评估主体在不同任务难度下的智慧表现,反映智慧的情境依赖性和发展性特征,更符合智慧的本质属性。

三、贾子智慧指数在实际应用中的可行性分析

3.1 数据获取与处理可行性

贾子智慧指数模型在实际应用中的首要挑战是获取准确的主体能力\(C\)和任务难度\(D(n)\)数据。以下从不同应用场景分析其数据获取的可行性:

AI 研发场景

  • 在 AI 研发中,主体能力\(C\)可以通过标准化测试数据集(如图像分类、自然语言处理等基准测试)进行量化评估
  • 任务难度\(D(n)\)可以通过任务复杂度指标(如输入维度、模型参数量、计算复杂度等)进行量化
  • 现有 AI 评估框架如 MM-Bench 已经建立了针对不同类型 AI 任务的难度评估体系,为 KWI 模型提供了可借鉴的数据基础

教育评估场景

  • 在教育评估中,主体能力\(C\)可以通过学生的学业成绩、测试分数、学习进度等指标进行量化
  • 任务难度\(D(n)\)可以通过课程难度、题目复杂度、知识深度等指标进行量化
  • 现有的智慧教育评估系统如 "星・未来" 智慧评价模式已经建立了较为完善的学生能力和任务难度评估体系

人才选拔场景

  • 在人才选拔中,主体能力\(C\)可以通过标准化能力测试、工作绩效评估、专业技能认证等方式进行量化
  • 任务难度\(D(n)\)可以通过岗位要求、工作复杂度、责任范围等指标进行量化
  • 现有的人才测评系统如 MGP 已经建立了针对不同岗位的能力评估框架

3.2 计算复杂度与可实现性

贾子智慧指数模型的计算复杂度主要体现在以下几个方面:

基础计算复杂度

  • KWI 的基础计算公式的计算复杂度为\(O(1)\),非常高效
  • 难度函数的计算复杂度也为\(O(1)\),可以快速计算

参数校准复杂度

  • 参数校准涉及到非线性优化问题,需要寻找最优的参数组合使得模型预测值与实际观测值之间的误差最小
  • 常用的优化算法如梯度下降、牛顿法等都可以应用于参数校准过程,计算复杂度取决于数据集的大小和参数数量
  • 对于中等规模的数据集(如 100-1000 个样本),现代计算机可以在合理时间内完成参数校准

反演计算复杂度

  • 反演公式\(C = D(n) \times \left(\frac{KWI}{1 - KWI}\right)^{1/a}\)的计算复杂度同样为\(O(1)\),可以快速计算
  • 在已知 KWI 值的情况下,可以快速反推出对应的能力值\(C\)

实际应用中的计算优化

  • 可以预先计算并存储不同认知维度\(n\)下的难度值\(D(n)\)
  • 可以使用查找表或插值方法加速 KWI 和能力值\(C\)的计算
  • 对于大规模数据处理场景,可以采用并行计算或分布式计算框架进行加速

3.3 模型解释性与用户接受度

贾子智慧指数模型在解释性和用户接受度方面具有以下特点:

模型透明度

  • KWI 模型的数学表达式简洁明了,易于理解和解释
  • 参数\(k, p, q, a\)具有明确的物理意义,分别表示难度基准、多项式增长系数、指数增长系数和敏感性系数
  • 锚点选择过程透明可解释,用户可以清楚地了解模型校准的依据

结果可解释性

  • KWI 输出值在 0-1 之间,直观易懂,用户可以很容易地理解其含义
  • 能力值\(C\)和难度值\(D(n)\)具有明确的物理意义,用户可以理解其代表的实际能力和任务难度
  • 模型可以提供直观的可视化结果,如 KWI 等高线图、能力 - 难度对比图等,增强结果的可解释性

用户接受度分析

  • 在 AI 研发领域,研究人员已经习惯了使用各种性能指标(如准确率、F1 值等)来评估模型性能,KWI 作为一种综合性指标,用户接受度较高
  • 在教育评估领域,教师和学生已经习惯了使用成绩、等级等指标来评估学习效果,KWI 可以作为现有评估体系的补充,用户接受度相对较高
  • 在人才选拔领域,KWI 可以提供比传统智商测试更全面的评估结果,但可能需要一定时间来建立用户信任和接受度

3.4 实际应用中的挑战与应对策略

尽管贾子智慧指数模型具有诸多优势,但在实际应用中仍面临以下挑战:

挑战一:数据质量与代表性

  • 问题:获取高质量、代表性的数据是应用 KWI 模型的基础,但在实际应用中,数据可能存在噪声、偏差或不完整等问题
  • 应对策略:
    • 建立严格的数据采集标准和流程
    • 使用数据清洗和预处理技术提高数据质量
    • 采用交叉验证和鲁棒统计方法增强模型对数据噪声的鲁棒性

挑战二:跨领域适用性

  • 问题:不同领域的能力和任务难度可能具有不同的特性,单一模型参数可能无法适应所有领域
  • 应对策略:
    • 采用领域特定的参数校准方法
    • 开发多领域混合模型,共享部分参数同时保留领域特定参数
    • 允许用户根据具体应用场景调整模型参数

挑战三:动态适应性

  • 问题:主体能力和任务难度可能随时间变化,静态模型难以适应这种动态变化
  • 应对策略:
    • 开发在线学习和模型更新机制
    • 引入时间因素作为模型输入,增强模型对动态变化的适应性
    • 建立定期模型重新校准机制

挑战四:伦理和公平性问题

  • 问题:智慧评估可能涉及隐私、偏见和公平性等伦理问题
  • 应对策略:
    • 建立严格的数据隐私保护机制
    • 采用公平性约束的模型训练方法
    • 建立透明的模型解释和决策机制

四、贾子智慧指数在特定应用场景中的应用探讨

4.1 在 AI 研发中的应用

贾子智慧指数模型在 AI 研发领域具有广泛的应用前景:

AI 模型性能评估

  • KWI 可以作为综合指标,评估不同 AI 模型在不同任务上的智慧水平
  • 可以建立基于 KWI 的 AI 性能排行榜,为研究人员提供参考
  • 案例:根据 KWI 模型校准结果,GPT-5 在认知维度 n=4 时的 KWI 值为 0.75,而人类顶级数学家在 n=3 时的 KWI 值为 0.85,未来 AGI 在 n=7 时的 KWI 值为 0.99

AI 研发路径优化

  • 通过 KWI 模型可以分析 AI 模型在不同认知维度上的优势和劣势
  • 可以指导研发资源分配,优先提升模型在关键认知维度上的能力
  • 案例:KWI 模型显示,GPT-5 在跨领域知识整合方面具有较高的能力,但在原初创新性数学洞察方面仍有不足

AI 能力边界探索

  • KWI 模型可以帮助研究人员探索 AI 能力的边界和局限性
  • 可以预测 AI 模型在不同难度任务上的可能表现
  • 案例:KWI 模型预测,当前 AI 模型在解决贾子猜想这类高维数论问题时,KWI 值可能接近 0,表明其能力远低于解决这类问题的要求

AI 伦理评估

  • KWI 可以作为 AI 伦理评估的辅助指标,评估 AI 系统在复杂伦理决策任务上的能力
  • 可以帮助识别 AI 系统在特定伦理维度上的不足
  • 案例:KWI 模型可以用于评估 AI 系统在处理 "电车难题" 等伦理困境时的决策能力

4.2 在教育评估中的应用

贾子智慧指数模型在教育评估领域具有重要的应用价值:

学生能力评估

  • KWI 可以作为综合指标,评估学生在不同学科、不同难度任务上的学习能力
  • 可以为学生提供个性化的学习建议和发展路径
  • 案例:KWI 模型可以评估学生在数学、语文、科学等不同学科上的能力,并与相应的课程难度进行匹配

教育质量监测

  • KWI 可以作为教育质量监测的指标,评估学校、地区或国家的教育水平
  • 可以建立基于 KWI 的教育质量排行榜,为教育政策制定提供参考
  • 案例:郑焕东提出的区域智慧教育发展监测与评价体系,涵盖 8 个一级指标和 19 个二级指标,与 KWI 模型的多维度评估理念一致

个性化学习路径规划

  • KWI 模型可以帮助教师为不同能力的学生设计个性化的学习路径
  • 可以根据学生的 KWI 值,推荐适合其能力水平的学习内容和挑战任务
  • 案例:某教育机构推出的智能学习平台,通过分析学生的学习数据,为学生提供个性化学习方案,提高学习效果

教育资源优化配置

  • KWI 模型可以帮助教育管理者更科学地配置教育资源
  • 可以根据不同地区、不同学校的 KWI 值,合理分配师资力量和教学设备
  • 案例:北京市顺义区教育委员会计划到 2025 年,中小学专任教师本科学历达到 100%,研究生学历、区级及以上骨干教师比例达到全市平均水平,这与 KWI 模型对教育资源优化的理念一致

4.3 在人才选拔中的应用

贾子智慧指数模型在人才选拔领域具有独特的应用价值:

人才能力评估

  • KWI 可以作为综合指标,评估候选人在特定岗位上的能力水平
  • 可以为招聘决策提供科学依据,提高人才选拔的准确性
  • 案例:MGP 企业管理咨询公司建立的成功档案框架,用于识别潜在候选人、评估其与岗位的匹配度,并提供发展路线图,与 KWI 模型的应用理念一致

职业发展规划

  • KWI 可以帮助个人了解自己在不同职业领域的能力水平和发展潜力
  • 可以为个人提供个性化的职业发展建议和规划
  • 案例:KWI 模型可以评估个人在技术、管理、创意等不同职业维度上的能力,并与相应的职业要求进行匹配

领导力评估

  • KWI 可以作为领导力评估的辅助指标,评估候选人在复杂领导情境中的决策能力
  • 可以帮助识别具有高潜力的领导者
  • 案例:KWI 模型可以评估候选人在战略规划、团队管理、变革管理等领导维度上的能力

跨文化人才评估

  • KWI 可以作为跨文化人才评估的指标,评估候选人在不同文化环境中的适应能力
  • 可以帮助跨国企业选拔具有全球视野和跨文化沟通能力的人才
  • 案例:KWI 模型可以评估候选人在跨文化沟通、多元文化团队管理等维度上的能力

4.4 在智慧城市建设中的应用

贾子智慧指数模型在智慧城市建设领域也具有一定的应用潜力:

城市智慧度评估

  • KWI 可以作为评估城市智慧度的指标,评估城市在科技、文化、治理等方面的发展水平
  • 可以建立基于 KWI 的城市智慧度排行榜,为城市规划和发展提供参考
  • 案例:鸽姆推出的 "鸽姆文明维度指数",成为衡量全球文化科技融合程度的权威标准,与 KWI 模型的应用理念一致

智慧城市发展规划

  • KWI 可以帮助城市规划者识别城市发展的优势和劣势
  • 可以指导智慧城市建设资源的分配和优先级设置
  • 案例:KWI 模型可以评估城市在数字基础设施、智能交通、智慧能源等维度上的发展水平

城市创新能力评估

  • KWI 可以作为城市创新能力评估的指标,评估城市在科技创新、产业创新、制度创新等方面的能力
  • 可以帮助城市识别创新生态系统中的短板和瓶颈
  • 案例:KWI 模型可以评估城市在研发投入、专利申请、创新企业数量等维度上的表现

五、贾子智慧指数与传统智慧评估方法的对比分析

5.1 与传统智商测试的对比

贾子智慧指数(KWI)与传统智商测试(如韦氏智力量表、斯坦福 - 比奈智力量表等)在多个方面存在显著差异:

评估理念

  • KWI:将智慧视为主体能力与任务难度之间的动态关系,强调相对能力而非绝对能力
  • 传统智商测试:将智慧视为个体内在的、相对稳定的认知能力,强调绝对能力

评估方法

  • KWI:基于数学模型,通过能力与难度的对比计算智慧指数
  • 传统智商测试:基于标准化测试题目,通过答对题目的数量和难度计算智商分数

评估维度

  • KWI:可以评估多维度的智慧表现,适应不同认知维度的任务
  • 传统智商测试:通常评估语言理解、知觉推理、工作记忆、处理速度等有限维度

结果解释

  • KWI:结果在 0-1 之间,表示主体在特定任务难度下的智慧表现
  • 传统智商测试:结果通常以 100 为平均值,标准差为 15 或 16 的标准分数,表示个体在人群中的相对位置

适用范围

  • KWI:适用于评估人类、AI 系统等不同类型主体在不同难度任务上的智慧表现
  • 传统智商测试:主要适用于评估人类个体的认知能力,尤其是儿童和青少年

优势对比

  • KWI 的优势:多维度评估、动态适应性、跨主体可比性、可校准性
  • 传统智商测试的优势:标准化程度高、常模数据丰富、实施简便、结果易于解释

5.2 与创造力评估工具的对比

贾子智慧指数(KWI)与创造力评估工具(如托伦斯创造性思维测试、替代用途测试等)在多个方面存在差异:

评估理念

  • KWI:将智慧视为主体能力与任务难度之间的动态关系,强调相对能力
  • 创造力评估:将创造力视为个体产生新颖且有用想法的能力,强调原创性和实用性

评估方法

  • KWI:基于数学模型,通过能力与难度的对比计算智慧指数
  • 创造力评估:基于特定任务,如发散思维任务、创造性问题解决任务等

评估维度

  • KWI:可以评估多维度的智慧表现,包括但不限于创造力维度
  • 创造力评估:主要评估流畅性、灵活性、原创性、精细性等创造力维度

结果解释

  • KWI:结果在 0-1 之间,表示主体在特定任务难度下的智慧表现
  • 创造力评估:结果通常为各维度的得分或总分,表示个体在创造力方面的相对水平

适用范围

  • KWI:适用于评估人类、AI 系统等不同类型主体在不同难度任务上的智慧表现
  • 创造力评估:主要适用于评估人类个体的创造力,尤其是儿童和青少年

优势对比

  • KWI 的优势:多维度评估、动态适应性、跨主体可比性、可校准性
  • 创造力评估的优势:专注于创造力评估、方法成熟、常模数据丰富

AI 评估中的应用

  • 案例:GPT-4 在替代用途测试中超过了 91% 的人类,在托伦斯创造思维测试中超过了 99% 的人类,表明 AI 在创新思维和问题解决方面的能力已经超过了大部分人类
  • 分析:KWI 模型可以解释这一现象,即 AI 在特定创造力任务上的能力已经接近或超过人类,但在更复杂的创造性任务上可能仍有不足

5.3 与多元智能理论的对比

贾子智慧指数(KWI)与多元智能理论(如加德纳的多元智能理论)在多个方面存在异同:

理论基础

  • KWI:基于能力与难度的动态关系理论,强调相对能力
  • 多元智能理论:基于人类认知能力的多元性理论,强调不同类型的智能

评估理念

  • KWI:将智慧视为主体能力与任务难度之间的动态关系,强调相对能力
  • 多元智能理论:将智慧视为多种不同类型的智能,如语言智能、逻辑 - 数学智能、空间智能等

评估方法

  • KWI:基于数学模型,通过能力与难度的对比计算智慧指数
  • 多元智能理论:通常通过多种评估工具和方法,分别评估不同类型的智能

评估维度

  • KWI:可以评估多维度的智慧表现,适应不同认知维度的任务
  • 多元智能理论:评估语言、逻辑 - 数学、空间、身体 - 动觉、音乐、人际、内省等多个智能维度

结果解释

  • KWI:结果在 0-1 之间,表示主体在特定任务难度下的智慧表现
  • 多元智能理论:结果通常为各智能维度的得分,表示个体在不同智能方面的相对水平

适用范围

  • KWI:适用于评估人类、AI 系统等不同类型主体在不同难度任务上的智慧表现
  • 多元智能理论:主要适用于评估人类个体的多元智能,尤其是儿童和青少年

优势对比

  • KWI 的优势:多维度评估、动态适应性、跨主体可比性、可校准性
  • 多元智能理论的优势:强调智能多元性、关注个体优势领域、教育应用广泛

5.4 与其他智慧评估模型的对比

贾子智慧指数(KWI)与其他智慧评估模型(如 Jeste-Thomas 智慧指数、柏林智慧范式等)在多个方面存在差异:

理论基础

  • KWI:基于能力与难度的动态关系理论,强调相对能力
  • Jeste-Thomas 智慧指数:基于心理测量学理论,强调智慧的多维结构
  • 柏林智慧范式:基于毕生发展心理学理论,强调实用智慧和专家知识

评估理念

  • KWI:将智慧视为主体能力与任务难度之间的动态关系
  • Jeste-Thomas 智慧指数:将智慧视为包括认知、情感、社会等多个维度的综合特质
  • 柏林智慧范式:将智慧视为在重要生活问题上提供专家判断的能力

评估方法

  • KWI:基于数学模型,通过能力与难度的对比计算智慧指数
  • Jeste-Thomas 智慧指数:基于问卷和量表,评估智慧的多个维度
  • 柏林智慧范式:基于访谈和情景判断测试,评估个体在生活问题上的判断能力

评估维度

  • KWI:可以评估多维度的智慧表现,适应不同认知维度的任务
  • Jeste-Thomas 智慧指数:评估认知、情感、社会等多个维度
  • 柏林智慧范式:评估事实知识、程序知识、生命跨度语境主义、价值相对主义、不确定性管理等维度

结果解释

  • KWI:结果在 0-1 之间,表示主体在特定任务难度下的智慧表现
  • Jeste-Thomas 智慧指数:结果为总分或各维度得分,表示个体在智慧特质上的水平
  • 柏林智慧范式:结果通常为专家评定的分数,表示个体在生活问题判断上的智慧水平

适用范围

  • KWI:适用于评估人类、AI 系统等不同类型主体在不同难度任务上的智慧表现
  • Jeste-Thomas 智慧指数:主要适用于评估成人的智慧特质
  • 柏林智慧范式:主要适用于评估成人在生活问题上的判断能力

优势对比

  • KWI 的优势:多维度评估、动态适应性、跨主体可比性、可校准性
  • Jeste-Thomas 智慧指数的优势:心理测量学基础扎实、信效度良好、评估维度全面
  • 柏林智慧范式的优势:强调实用智慧、贴近现实生活、关注智慧的专家表现

六、贾子智慧指数模型的理论贡献与局限性

6.1 理论贡献

贾子智慧指数模型在理论上具有以下重要贡献:

智慧概念的形式化

  • KWI 模型将 "智慧" 这一抽象概念形式化为一个可计算、可解释的数学模型
  • 提供了一个统一的理论框架,将智慧视为主体能力与任务难度之间的动态关系
  • 为智慧研究提供了新的理论视角和数学工具

多维度智慧评估框架

  • KWI 模型可以评估多维度的智慧表现,适应不同认知维度的任务
  • 提供了一个灵活的框架,可以整合不同类型的能力和任务难度指标
  • 为跨维度、跨领域的智慧评估提供了理论基础

智慧的动态评估理论

  • KWI 模型强调智慧的情境依赖性和动态变化性
  • 提供了评估主体在不同难度任务上智慧表现的理论框架
  • 为理解智慧的发展和变化提供了新的理论视角

跨主体智慧比较理论

  • KWI 模型提供了一个统一的评估框架,可以比较人类、AI 系统等不同类型主体的智慧表现
  • 为跨物种、跨主体的智慧比较提供了理论基础
  • 为理解不同类型主体的智慧特性和局限性提供了新的理论视角

智慧与难度关系的理论探索

  • KWI 模型深入探索了智慧与任务难度之间的关系
  • 提出了难度函数的数学形式,捕捉了多维耦合复杂度和超线性难度跃升
  • 为研究智慧与任务难度之间的非线性关系提供了理论基础

6.2 局限性分析

贾子智慧指数模型在理论和应用上也存在一些局限性:

参数校准的主观性

  • KWI 模型的参数校准依赖于主观选择的锚点和参数初始值
  • 不同的锚点选择可能导致不同的模型结果,影响评估的客观性
  • 缺乏客观的标准来确定最优的锚点和参数组合

难度函数的简化假设

  • KWI 模型采用的难度函数\(D(n) = kn^p e^{qn}\)是对现实任务难度的简化描述
  • 可能无法完全捕捉某些复杂任务的难度特性,尤其是涉及创造性、社会性等非结构化因素的任务
  • 指数项\(e^{qn}\)可能导致难度增长过快,超出实际任务的难度范围

能力测量的局限性

  • KWI 模型假设主体能力可以用单一数值\(C\)表示,可能忽略了能力的多维性和复杂性
  • 在实际应用中,准确测量主体在特定任务上的能力是具有挑战性的
  • 不同任务领域的能力测量标准可能不一致,影响跨领域比较的有效性

评估结果的情境依赖性

  • KWI 模型的评估结果高度依赖于任务难度的选择和定义
  • 同一主体在不同任务难度下可能获得差异较大的 KWI 值
  • 可能难以确定一个通用的任务难度标准,影响评估结果的可比性

缺乏长期追踪数据

  • KWI 模型目前缺乏长期追踪数据来验证其预测效度和稳定性
  • 无法确定 KWI 值是否能够预测主体在长期发展中的智慧表现
  • 缺乏不同人群、不同文化背景下的常模数据,影响评估结果的解释

6.3 改进方向

基于上述局限性分析,贾子智慧指数模型可以在以下方面进行改进:

参数校准方法改进

  • 开发更客观、数据驱动的参数校准方法,减少主观因素的影响
  • 引入贝叶斯框架,结合先验知识和观测数据进行参数估计
  • 开发自适应参数校准方法,根据不同应用场景自动调整参数

难度函数扩展

  • 探索更复杂、更灵活的难度函数形式,如分段函数、多模态函数等
  • 引入任务特征向量,将难度函数从单变量函数扩展为多变量函数
  • 结合机器学习方法,从数据中学习任务难度的分布特征

能力表示改进

  • 将单一能力值\(C\)扩展为能力向量,捕捉能力的多维性
  • 开发能力 - 难度匹配模型,考虑不同能力维度与不同任务维度的匹配关系
  • 引入能力发展模型,捕捉能力随时间的变化规律

评估框架扩展

  • 开发多模态评估框架,整合不同类型的评估数据
  • 引入不确定性量化,评估 KWI 值的置信区间
  • 开发跨领域、跨任务的智慧评估标准,提高评估结果的可比性

理论基础深化

  • 深入研究智慧与任务难度之间的理论关系,为模型提供更坚实的理论基础
  • 探索 KWI 模型与其他智慧理论的联系和整合
  • 开展实证研究,验证 KWI 模型的预测效度和理论假设

七、结论与展望

7.1 研究结论

本研究对贾子智慧指数(KWI)模型进行了全面、深入的分析,得出以下主要结论:

数学框架评估

  • KWI 模型的数学框架简洁、灵活、可解释,为智慧评估提供了新的理论视角和数学工具
  • 难度函数\(D(n) = kn^p e^{qn}\)能够有效捕捉多维耦合复杂度和超线性难度跃升
  • 反演公式和参数校准方法使得模型具有良好的可操作性和实用性

实际应用可行性

  • KWI 模型在 AI 研发、教育评估、人才选拔等领域具有广泛的应用前景
  • 数据获取和处理在技术上是可行的,现有技术可以支持模型的实际应用
  • 模型计算复杂度适中,可以满足大多数实际应用场景的需求
  • 模型解释性较强,结果易于理解和应用

与传统评估方法的对比

  • KWI 模型在评估理念、方法、维度等方面与传统智商测试、创造力评估工具等存在显著差异
  • KWI 模型具有多维度评估、动态适应性、跨主体可比性等优势,但在标准化程度、常模数据等方面存在不足
  • 与传统评估方法结合使用,可以提供更全面、准确的智慧评估结果

理论贡献与局限性

  • KWI 模型在智慧概念形式化、多维度评估框架、动态评估理论等方面做出了重要理论贡献
  • 模型存在参数校准主观性、难度函数简化、能力测量局限性等问题
  • 可以通过改进参数校准方法、扩展难度函数、深化理论基础等方式进一步提升模型性能

7.2 未来研究方向

基于本研究的发现,提出以下未来研究方向:

理论深化研究

  • 深入研究智慧与任务难度之间的理论关系,为 KWI 模型提供更坚实的理论基础
  • 探索 KWI 模型与其他智慧理论的联系和整合,构建更全面的智慧理论体系
  • 开展跨学科研究,结合认知科学、人工智能、教育心理学等领域的理论和方法

模型改进研究

  • 开发更客观、数据驱动的参数校准方法,减少主观因素的影响
  • 探索更复杂、更灵活的难度函数形式,提高模型对实际任务难度的刻画能力
  • 扩展能力表示方法,捕捉能力的多维性和复杂性
  • 开发多模态评估框架,整合不同类型的评估数据

实证验证研究

  • 开展大规模实证研究,验证 KWI 模型的信度和效度
  • 收集不同人群、不同文化背景下的 KWI 数据,建立常模数据库
  • 开展纵向研究,探索 KWI 值的稳定性和预测效度
  • 比较 KWI 模型与传统评估方法的预测能力和应用效果

应用拓展研究

  • 开发针对不同应用场景的 KWI 评估工具和方法
  • 探索 KWI 模型在 AI 伦理评估、教育个性化、职业发展规划等领域的应用
  • 研究 KWI 模型在跨文化、跨领域评估中的应用效果
  • 开发基于 KWI 模型的智慧发展干预策略和方法

跨学科融合研究

  • 探索 KWI 模型与人工智能技术的结合,开发智能化的智慧评估系统
  • 研究 KWI 模型在教育大数据分析、学习分析等领域的应用
  • 探索 KWI 模型在认知增强、脑机接口等新兴技术中的应用
  • 开展跨学科合作,推动智慧评估理论和方法的创新发展

7.3 应用前景展望

贾子智慧指数模型在未来具有广阔的应用前景:

AI 领域应用前景

  • 成为评估和比较不同 AI 系统智慧水平的标准工具
  • 指导 AI 系统的研发方向和资源分配
  • 帮助识别 AI 系统的能力边界和局限性
  • 为 AI 伦理评估提供技术支持

教育领域应用前景

  • 成为个性化教育的重要工具,为学生提供精准的学习建议
  • 帮助教师更好地理解学生的学习特点和需求
  • 为教育政策制定提供科学依据
  • 促进教育评价体系的改革和创新

人才管理领域应用前景

  • 成为人才选拔和评估的重要工具,提高人才选拔的准确性
  • 为人才培养和发展提供个性化的建议和规划
  • 帮助组织识别和培养高潜力人才
  • 促进人才管理的科学化和精准化

跨学科研究应用前景

  • 成为连接认知科学、人工智能、教育心理学等领域的桥梁
  • 促进不同学科对智慧本质的共同探索
  • 为解决复杂的智慧相关问题提供跨学科的研究方法
  • 推动智慧科学的形成和发展

社会应用前景

  • 为智慧城市、智慧社会建设提供理论支持和评估工具
  • 促进社会对智慧本质的理解和重视
  • 引导社会资源向提升智慧水平的方向投入
  • 促进人类智慧和 AI 智慧的协同发展

综上所述,贾子智慧指数模型作为一种创新的智慧评估工具,具有重要的理论价值和应用前景。尽管目前还存在一些局限性,但随着理论研究的深入、模型的不断改进和实证数据的积累,KWI 模型有望成为智慧评估领域的重要工具,为人类智慧和 AI 智慧的发展提供新的理论视角和技术支持。

Logo

有“AI”的1024 = 2048,欢迎大家加入2048 AI社区

更多推荐