智慧河道巡检AI技术赋能水体治理,基于端到端YOLOv10全系列【n/s/m/b/l/x】参数模型开发构建河湖治理巡检场景下河道污染漂浮物智能检测识别预警系统
智慧河道巡检AI技术赋能水体治理,基于端到端YOLOv10全系列【n/s/m/b/l/x】参数模型开发构建河湖治理巡检场景下河道污染漂浮物智能检测识别预警系统
在环保环境治理的宏大画卷中,河道水体治理始终占据着浓墨重彩的一笔。传统治理模式下,河道水体监测依赖于点位安装的水质监测设备,这些设备通过检测各类环境监测因素浓度的变化,为监管提供数据支持。然而,这种模式主要聚焦于水质污染问题,对于城市水道中常见的瓶子、异物、漂浮物等导致的水体污染,却显得力不从心。这些问题的解决,长期以来依赖于河道巡逻工驾驶小船进行人工打捞清扫,效率低下且难以及时发现新问题。
随着AI智能化技术的蓬勃发展,传统河道水体巡检模式迎来了变革的曙光。无人机技术的引入,为河道巡检插上了智慧的翅膀。无人机沿着规划好的河道航线,能够高效地进行自动化巡检,其搭载的高清摄像头可以实时捕捉河道画面,采集广泛丰富的数据。这些数据经过人工标注后,成为构建智能化检测识别模型的基石。
开发团队利用深度学习算法,结合大量的标注数据,训练出精准的检测识别模型。该模型能够识别出河道中的各种异物、漂浮物以及潜在的污染源。当模型训练完成并通过验证后,便部署在无人机的机载设备端。在实际巡检过程中,无人机实时捕获的画面会即时传输至机载设备,由检测识别模型进行快速分析。一旦模型检测到问题,如发现河道中有塑料瓶、树枝等异物,便会自动将相关信息上报至调度平台。
调度平台接收到问题报告后,迅速响应,安排附近的工作人员前往现场进行处置。这种智能化的巡检模式,极大地提高了问题发现的速度,使得工作人员能够及时处理河道中的异物和污染源,避免问题的进一步恶化。同时,通过合理安排有限的工作人员,实现了精准作业,提高了工作效率,减少了人力成本的浪费。
本文正是在这样的思考背景下,想要探索尝试从实验性质的角度出发开发构建智能化的检测识别预警系统,首先看下实例效果:

接下来看下实例数据情况:


官方发表了对于最新研究成果YOLOv10的论文,前面我做了简单的翻译阅读,感兴趣的话可以看下,有需要的话可以阅读官方英文论文即可:
《卷出新高度,直呼太强!时隔三月,YOLO再度进化升级:《YOLOv10—实时端到端目标检测》重磅来袭》
如果想要基于最新发表的YOLOv10从零开始开发构建自己的个性化目标检测系统,可以参照这里:
《基于最新发表的端到端实时目标检测模型YOLOv10开发构建自己的个性化目标检测系统从零构建模型完整训练、推理计算超详细教程【以自建数据远红外场景下的低空无人机目标检测为例】》
在过去的几年里,YOLOs由于其在计算成本和检测性能之间的有效平衡,已成为实时目标检测领域的主导范式。研究人员探索了YOLO的架构设计、优化目标、数据扩充策略等,取得了显著进展。然而,依赖非极大值抑制(NMS)进行后处理阻碍了YOLO的端到端部署,并对推理延迟产生不利影响。此外,YOLOs中各种组件的设计缺乏全面彻底的检查,导致明显的计算冗余,限制了模型的能力。它提供了次优的效率,以及相当大的性能改进潜力。YOLOv10致力于打造实时端到端的高性能目标检测器,从效率和精度两个角度对YOLO的各个组件进行了全面优化,大大减少了计算开销,增强能力,目标是从后处理和模型架构两个方面进一步提高YOLO的性能效率边界。为此,首先提出了YOLOs无NMS训练的一致双重分配,它同时带来了有竞争力的性能和低推理延迟。此外还介绍了YOLO的整体效率精度驱动模型设计策略。

基于上述的分析研究作者提出了几点改进策略:
1、一致优化目标的无NMS双标签分配策略
YOLOs引入了双标签分配,以结合这两种策略的优点。核心思想是在训练阶段使用一对多的检测头提供更多的正样本来丰富模型的训练,为YOLOs合并了另一个一对一的头部。它保留了与原始一对多分支相同的结构并采用相同的优化目标,但利用一对一匹配来获得标签分配。在训练过程中,两个头与模型联合优化,使骨干和颈部享受一对多任务提供的丰富监督。在推理过程中丢弃一对多的头利用一对一的头进行预测。这使得YOLOs能够进行端到端部署,而不会产生任何额外的推断成本。
2、整体效率-精度驱动的模型架构设计
虽然之前的工作探索了各种各样的设计策略,但仍然缺乏对YOLOs中各种组件的全面检查。模型体系结构具有不可忽略的计算冗余和受限能力阻碍了实现高效率和高性能的潜力。在这里目标是从效率和准确性的角度为YOLOs整体地执行模型设计——效率驱动的模型设计。YOLO中的组件包括stem、下采样层、具有基本构建块的阶段和头部。stem产生的计算成本很少,因此主要对其他三个部分执行效率驱动的模型设计。
【执行效率驱动的模型设计】
A、 轻型分类头。在YOLOs中,分类和回归头通常共享相同的体系结构。然而,它们在计算开销方面表现出显著的差异。在分析分类误差和回归误差的影响后发现回归头对YOLOs的性能有更大的影响。故而可以减少分类头的开销而不必担心会严重影响分类头的性能。因此作者简单地采用了一种轻量级的分类头结构,它由两个深度可分离的卷积组成核大小为3×3然后是一个1×1卷积。
B、空间通道解耦下采样。引入空间-通道解耦下采样减少计算冗余,提高整体模型效率。
C、 秩引导块设计。为了彻底检查YOLOs的同质设计利用内在秩来分析每个阶段的冗余。作者计算每个阶段最后一个基本块中最后一个卷积的数值秩,计算大于阈值的奇异值的数量。结果表明深部阶段和大型模型易于显示更多冗余。简单地对所有阶段应用相同的块设计对于最佳容量效率权衡是次优的。为了解决这一问题提出了一种秩引导块设计方案,该方案旨在使用紧凑的体系结构设计来降低冗余阶段的复杂性。首先提出了一种紧凑的反向块(CIB)结构,它采用廉价的深度卷积进行空间混合,并采用经济高效的逐点卷积进行信道混合,它可以作为有效的基本构建块,然后提出了一种等级引导的区块分配策略,以实现最佳效率,同时保持竞争力。根据其内在的等级按升序对其所有阶段进行排序。并进一步考察了用CIB替代前级基本块的性能变化。如果与给定模型相比没有性能下降,则继续替换下一阶段,否则停止该过程。因此,我们可以实现跨阶段和模型规模的自适应紧凑块设计,在不影响性能的情况下实现更高的效率。
【精度驱动模型设计】
D、 大内核卷积。采用大核深度卷积是扩大感受野和增强模型能力的有效方法,但在所有阶段简单地利用可能会在用于检测小对象的浅层特征中引入污染,同时也会在高分辨率阶段引入显著的I/O开销和延迟。因此建议在深度阶段利用CIB中的大内核深度卷积。将CIB中第二个3×3深度卷积的核大小增加到7×7,此外采用结构重参数化技术在不增加推理开销的情况下,引入另一个3×3深度卷积分支,以缓解优化问题。此外随着模型尺寸的增加,它的感受野自然扩大,使用大核卷积的好处逐渐减少。因此对于小模型尺度,我们只采用大核卷积。
E、 部分自我注意(PSA)。自我注意由于其卓越的全局建模能力被广泛应用于各种视觉任务中。然而它具有很高的计算复杂度和内存占用。为了解决这一问题,鉴于普遍存在的注意头冗余提出了一种有效的部分自我注意(PSA)模块设计,在1×1卷积之后,我们将跨通道的特征均匀地划分为两部分只将一部分反馈到由多头部自我注意模块(MHSA)和前馈网络(FFN)组成的NPSA模块中。然后将两部分串联起来,通过1×1卷积进行融合。此外,将查询和键的维数指定为MHSA中值的一半,并将LayerForm替换为BatchNorm以实现快速推理。PSA仅放置在具有最低分辨率的第4阶段之后,避免了由于自我注意的二次计算复杂性而产生的过多开销。这样实现了以较低的计算代价将全局表示学习能力融入到YOLOs中,从而很好地增强了模型的能力,提高了模型的性能。
目前清华官方研究团队一共发布的了包括:N/S/M/B/L/X在内的六款不同参数量级的模型,基于COCO数据集进行了训练,官方提供的预训练权重如下:
| Model | Test Size | #Params | FLOPs | APval | Latency |
|---|---|---|---|---|---|
| YOLOv10-N | 640 | 2.3M | 6.7G | 38.5% | 1.84ms |
| YOLOv10-S | 640 | 7.2M | 21.6G | 46.3% | 2.49ms |
| YOLOv10-M | 640 | 15.4M | 59.1G | 51.1% | 4.74ms |
| YOLOv10-B | 640 | 19.1M | 92.0G | 52.5% | 5.74ms |
| YOLOv10-L | 640 | 24.4M | 120.3G | 53.2% | 7.28ms |
| YOLOv10-X | 640 | 29.5M | 160.4G | 54.4% | 10.70ms |
可以根据自己的实际需要进行下载使用,建议一般训练自己的数据集的时候最好是可以基于官方提供的预训练权重来进行迁移训练,这样更理想一些。
这里我们一共应用开发训练了六款模型,综合实际精度表现和参数量考虑我们最终选择了s系列的参数模型作为线上的推理后端模型,下面是s系列模型的模型文件,如下:
【yolov10s】
# Parameters
nc: 5 # number of classes
scales: # model compound scaling constants, i.e. 'model=yolov8n.yaml' will call yolov8.yaml with scale 'n'
# [depth, width, max_channels]
s: [0.33, 0.50, 1024]
backbone:
# [from, repeats, module, args]
- [-1, 1, Conv, [64, 3, 2]] # 0-P1/2
- [-1, 1, Conv, [128, 3, 2]] # 1-P2/4
- [-1, 3, C2f, [128, True]]
- [-1, 1, Conv, [256, 3, 2]] # 3-P3/8
- [-1, 6, C2f, [256, True]]
- [-1, 1, SCDown, [512, 3, 2]] # 5-P4/16
- [-1, 6, C2f, [512, True]]
- [-1, 1, SCDown, [1024, 3, 2]] # 7-P5/32
- [-1, 3, C2fCIB, [1024, True, True]]
- [-1, 1, SPPF, [1024, 5]] # 9
- [-1, 1, PSA, [1024]] # 10
# YOLOv8.0n head
head:
- [-1, 1, nn.Upsample, [None, 2, "nearest"]]
- [[-1, 6], 1, Concat, [1]] # cat backbone P4
- [-1, 3, C2f, [512]] # 13
- [-1, 1, nn.Upsample, [None, 2, "nearest"]]
- [[-1, 4], 1, Concat, [1]] # cat backbone P3
- [-1, 3, C2f, [256]] # 16 (P3/8-small)
- [-1, 1, Conv, [256, 3, 2]]
- [[-1, 13], 1, Concat, [1]] # cat head P4
- [-1, 3, C2f, [512]] # 19 (P4/16-medium)
- [-1, 1, SCDown, [512, 3, 2]]
- [[-1, 10], 1, Concat, [1]] # cat head P5
- [-1, 3, C2fCIB, [1024, True, True]] # 22 (P5/32-large)
- [[16, 19, 22], 1, v10Detect, [nc]] # Detect(P3, P4, P5)
实验阶段我们保持了相同的参数设置,等待长时期的训练过程结束之后我们来对以上六款不同参数量级的模型进行纵向的对比分析,如下:
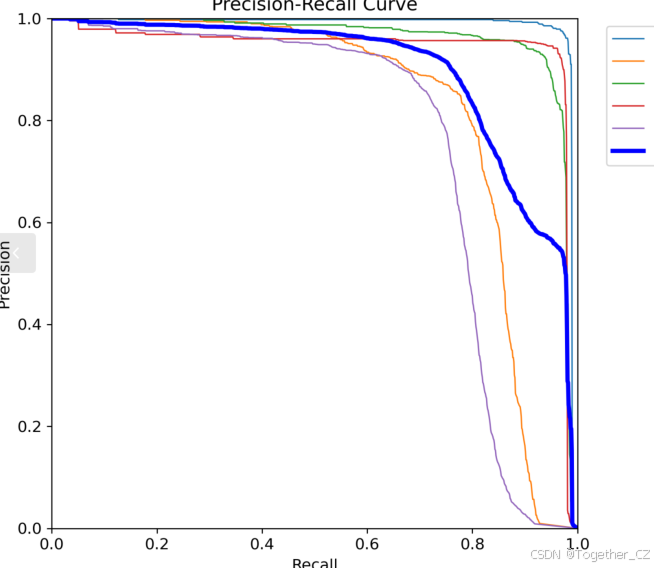
【Precision曲线】
精确率曲线(Precision Curve)是一种用于评估二分类模型在不同阈值下的精确率性能的可视化工具。它通过绘制不同阈值下的精确率和召回率之间的关系图来帮助我们了解模型在不同阈值下的表现。
精确率(Precision)是指被正确预测为正例的样本数占所有预测为正例的样本数的比例。召回率(Recall)是指被正确预测为正例的样本数占所有实际为正例的样本数的比例。
绘制精确率曲线的步骤如下:
使用不同的阈值将预测概率转换为二进制类别标签。通常,当预测概率大于阈值时,样本被分类为正例,否则分类为负例。
对于每个阈值,计算相应的精确率和召回率。
将每个阈值下的精确率和召回率绘制在同一个图表上,形成精确率曲线。
根据精确率曲线的形状和变化趋势,可以选择适当的阈值以达到所需的性能要求。
通过观察精确率曲线,我们可以根据需求确定最佳的阈值,以平衡精确率和召回率。较高的精确率意味着较少的误报,而较高的召回率则表示较少的漏报。根据具体的业务需求和成本权衡,可以在曲线上选择合适的操作点或阈值。
精确率曲线通常与召回率曲线(Recall Curve)一起使用,以提供更全面的分类器性能分析,并帮助评估和比较不同模型的性能。

【Recall曲线】
召回率曲线(Recall Curve)是一种用于评估二分类模型在不同阈值下的召回率性能的可视化工具。它通过绘制不同阈值下的召回率和对应的精确率之间的关系图来帮助我们了解模型在不同阈值下的表现。
召回率(Recall)是指被正确预测为正例的样本数占所有实际为正例的样本数的比例。召回率也被称为灵敏度(Sensitivity)或真正例率(True Positive Rate)。
绘制召回率曲线的步骤如下:
使用不同的阈值将预测概率转换为二进制类别标签。通常,当预测概率大于阈值时,样本被分类为正例,否则分类为负例。
对于每个阈值,计算相应的召回率和对应的精确率。
将每个阈值下的召回率和精确率绘制在同一个图表上,形成召回率曲线。
根据召回率曲线的形状和变化趋势,可以选择适当的阈值以达到所需的性能要求。
通过观察召回率曲线,我们可以根据需求确定最佳的阈值,以平衡召回率和精确率。较高的召回率表示较少的漏报,而较高的精确率意味着较少的误报。根据具体的业务需求和成本权衡,可以在曲线上选择合适的操作点或阈值。
召回率曲线通常与精确率曲线(Precision Curve)一起使用,以提供更全面的分类器性能分析,并帮助评估和比较不同模型的性能。

【mAP0.5】
mAP0.5,也被称为mAP@0.5或AP50,指的是当Intersection over Union(IoU)阈值为0.5时的平均精度(mean Average Precision)。IoU是一个用于衡量预测边界框与真实边界框之间重叠程度的指标,其值范围在0到1之间。当IoU值为0.5时,意味着预测框与真实框至少有50%的重叠部分。
在计算mAP0.5时,首先会为每个类别计算所有图片的AP(Average Precision),然后将所有类别的AP值求平均,得到mAP0.5。AP是Precision-Recall Curve曲线下面的面积,这个面积越大,说明AP的值越大,类别的检测精度就越高。
mAP0.5主要关注模型在IoU阈值为0.5时的性能,当mAP0.5的值很高时,说明算法能够准确检测到物体的位置,并且将其与真实标注框的IoU值超过了阈值0.5。

【mAP0.5:0.95】
mAP0.5:0.95,也被称为mAP@[0.5:0.95]或AP@[0.5:0.95],表示在IoU阈值从0.5到0.95变化时,取各个阈值对应的mAP的平均值。具体来说,它会在IoU阈值从0.5开始,以0.05为步长,逐步增加到0.95,并在每个阈值下计算mAP,然后将这些mAP值求平均。
这个指标考虑了多个IoU阈值下的平均精度,从而更全面、更准确地评估模型性能。当mAP0.5:0.95的值很高时,说明算法在不同阈值下的检测结果均非常准确,覆盖面广,可以适应不同的场景和应用需求。
对于一些需求比较高的场合,比如安全监控等领域,需要保证高的准确率和召回率,这时mAP0.5:0.95可能更适合作为模型的评价标准。
综上所述,mAP0.5和mAP0.5:0.95都是用于评估目标检测模型性能的重要指标,但它们的关注点有所不同。mAP0.5主要关注模型在IoU阈值为0.5时的性能,而mAP0.5:0.95则考虑了多个IoU阈值下的平均精度,从而更全面、更准确地评估模型性能。

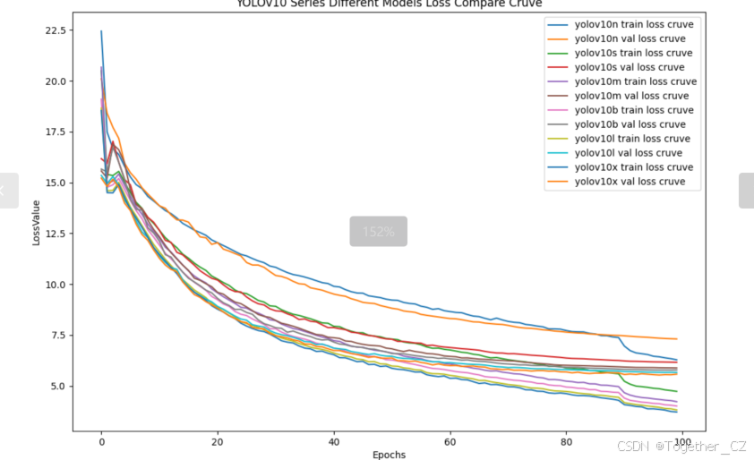
【loss曲线】
在深度学习的训练过程中,loss函数用于衡量模型预测结果与实际标签之间的差异。loss曲线则是通过记录每个epoch(或者迭代步数)的loss值,并将其以图形化的方式展现出来,以便我们更好地理解和分析模型的训练过程。

【F1值曲线】
F1值曲线是一种用于评估二分类模型在不同阈值下的性能的可视化工具。它通过绘制不同阈值下的精确率(Precision)、召回率(Recall)和F1分数的关系图来帮助我们理解模型的整体性能。
F1分数是精确率和召回率的调和平均值,它综合考虑了两者的性能指标。F1值曲线可以帮助我们确定在不同精确率和召回率之间找到一个平衡点,以选择最佳的阈值。
绘制F1值曲线的步骤如下:
使用不同的阈值将预测概率转换为二进制类别标签。通常,当预测概率大于阈值时,样本被分类为正例,否则分类为负例。
对于每个阈值,计算相应的精确率、召回率和F1分数。
将每个阈值下的精确率、召回率和F1分数绘制在同一个图表上,形成F1值曲线。
根据F1值曲线的形状和变化趋势,可以选择适当的阈值以达到所需的性能要求。
F1值曲线通常与接收者操作特征曲线(ROC曲线)一起使用,以帮助评估和比较不同模型的性能。它们提供了更全面的分类器性能分析,可以根据具体应用场景来选择合适的模型和阈值设置。

综合六款不同参数量级模型的开发实验对比结果来看:6款模型达到了较为相近的结果,n系列模效果略低一点,s系列模型居中,略优于n系列的模型,与m、b、l和x系列模型效果接近,综合对比考虑最终选择使用yolov10s来作为线上推理模型。
接下来看下yolov10s模型的详细情况
【离线推理实例】

【Batch实例】

【混淆矩阵】

【F1值曲线】

【Precision曲线】

【PR曲线】

【Recall曲线】

【训练可视化】

AI技术在河道水体巡检中的应用,不仅提升了河道治理的效率和精准度,还为环保环境治理领域带来了新的思路和方法。未来,随着技术的不断进步和创新,AI有望在更多环保场景中发挥更大的作用,助力我们共同守护绿水青山,构建更加美好的生态环境。
更多推荐



所有评论(0)