spss进行灰色关联分析_灰色关联分析模型
灰色关联分析模型现有的灰关联分析模型大多都是针对一维序列的。其中以邓氏灰关联分析模型和广义灰关联分析模型最为常见。在此基础上,有学者对邓氏灰关联度进行了改进,提出了一种三维灰关联分析模型,拓宽了灰关联分析模型的应用范围。本章对常见的一维灰关联分析模型、三维灰关联分析模型以及灰色关联聚类方法的基本原理和计算步骤进行了介绍。1 灰色关联分析模型一维灰关联分析模型灰色关联聚类可以更好地对事物进行区别对待
灰色关联分析模型
现有的灰关联分析模型大多都是针对一维序列的。其中以邓氏灰关联分析模型和广义灰关联分析模型最为常见。在此基础上,有学者对邓氏灰关联度进行了改进,提出了一种三维灰关联分析模型,拓宽了灰关联分析模型的应用范围。本章对常见的一维灰关联分析模型、三维灰关联分析模型以及灰色关联聚类方法的基本原理和计算步骤进行了介绍。
1 灰色关联分析模型
- 一维灰关联分析模型
灰色关联聚类可以更好地对事物进行区别对待,所得序列间的灰关联度可以明确的显示出各观测因子间的差异。灰关联分析模型作为灰色关联聚类方法的核心,主要根据序列曲线的几何形状来判断量序列之间的相近性。若曲线越相近,则灰关联度越大,序列越相似。常见的灰关联分析模型包括邓氏灰关联度和广义灰关联度。
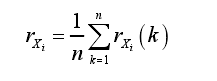
1. 邓氏灰关联度
邓氏灰关联分析模型通过比较序列几何曲线之间距离的相近性来判断其相似性,序列间距离越短,则关联度越大,序列越相似。灰关联分析模型在分析观测系统之前,首先需要选取反映系统行为特征的数据序列,即系统行为的映射量。
定义 2.1.1 序列作用算子
定义 2.1.2 邓氏灰关联度
(2.1)
其中,
(2.2)
定义 2.1.3 灰色关联四公理
邓氏灰关联度计算步骤如下:
Step4: 计算序列间的关联系数。
(2.4)
Step5: 计算最终的灰关联度。
(2.5)
2 广义灰关联度
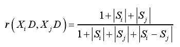
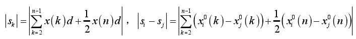
广义灰关联度通过比较序列几何曲线间所夹面积的大小从整体上计算序列间的灰关联度。若观测对象越相似,其曲线相交面积越小,广义灰关联度值则越大。广义灰关联度包括绝对灰关联度和相对灰关联度。
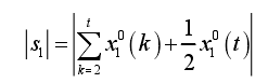
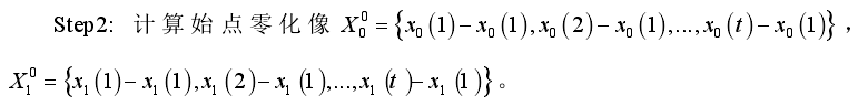
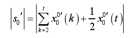
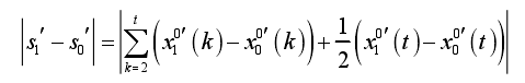
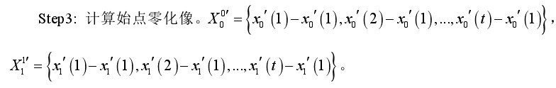
定义 2.1.4 始点零化像
(2.6)
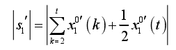
定义 2.1.5 广义灰关联度
(2.7)
其中,
。
尽管绝对灰关联度和相对灰关联度的思想基本一致,但是相对灰关联度通常要对序列进行初值化处理,而绝对灰关联度则不需要。两种模型的计算步骤如下:
- 绝对灰关联度的计算步骤
(2.8)
(2.9)
(2.10)
Step4: 计算绝对灰关联度
(2.11)
(2) 相对灰关联度的计算步骤
(2.12)
(2.13)
(2.14)
Step5: 计算相对灰关联度。
(2.15)
1.2 三维灰关联分析模型
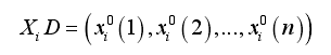
灰色关联分析模型作为灰色关联聚类的核心,利用灰关联度评价事物或因子之间的相似程度,是一种用于对一个系统发展的变化趋势提供量化的度量方法。序列间的灰关联度越大,说明两个因素的发展趋势越一致。目前,灰关联分析模型主要有基于距离的方法、基于斜率的方法和基于面积的方法。其中,基于距离的邓氏灰关联分析模型和基于面积的广义灰关联分析模型应用较为广泛。但是这类模型只能用于比较一维序列之间的相似度。为了解决该问题,文献在邓氏灰关联度的基础上,利用灰关联空间的基本理论,将系统中各因素看作m 维线性空间中的点,将每一因素关于不同时刻或不同对象的观测数据视为点的坐标,构建了一种基于时间Tk 、指标Xi 、方案Sj的三维空间灰色关联模型,如图 2.1 所示。
图 2.1 三维决策系统结构
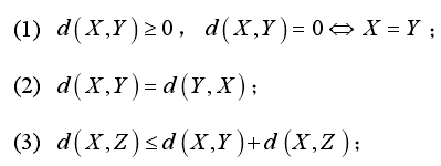
定义 2.1.6 m 维空间距离
则称d(X,Y)为m 维空间中的距离。
定义 2.1.7 上环境参数和下环境参数
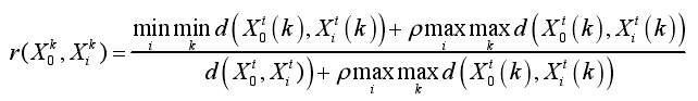
定义 2.1.8 三维灰关联度
将Xki 看作m 维线性空间中的点,每一个因素在各个时刻观测到的不同特征数据则被看作点的坐标。通过研究特定 m 维线性空间中各因素之间的关系,构造相应的三维灰色关联度
(2.16)
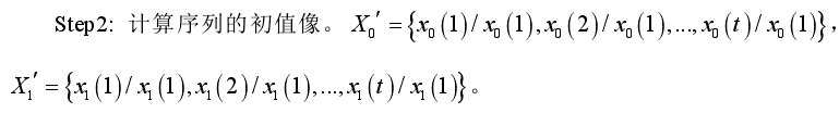
Step3: 分别计算各序列与理想方案、负理想方案之间的明氏空间距离。
(2.17)
(2.18)
其中t=1,2,...,k 。
。
。
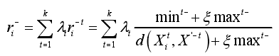
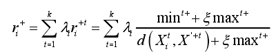
Step5: 分别计算各观测序列与理想方案和负理想方案之间的三维灰关联度
(2.19)
(2.20)
Step6: 计算最终的灰关联度:
(2.21)
《来源科技文献,经本人分析整理,以技术会友,广交天下朋友》
更多推荐


所有评论(0)