【机器学习】EM算法
EM算法的思路如下:1. 给 𝜃~𝐴~ 、 𝜃~𝐵~ 一个初始值;2. 分别计算每组实验在抛掷硬币A、硬币B的情况下所得概率,并根据该概率值去分别计算两硬币正面朝上次数的期望值。因此,此步骤也被称为“E过程”;3. 分别用第 2 步中计算的每组期望值来计算 𝜃~A~^(𝑖)^、𝜃~B~^(𝑖)^;4. 将计算得到的 𝜃~A~^(𝑖)^、𝜃~B~^(𝑖)^ 回代第 2、3 步
EM算法
目录
一、似然函数与极大似然估计
例一
现有一个不透明的罐子,里面装有质地、大小均相同而颜色不同的黑白两种球(数目未知)。现要求在经过有限次抽样后(放回式),求解罐中黑白球的比例。
假设当前对该罐子进行了100次放回式抽样,其中有70次抽出白球,30次抽出黑球,问该罐中黑白球的比例最可能是多少?
答案很明显,黑:白 = 3:7。
例二
一个林子内只有小明和猎人在打猎(已知小明的命中率为30%,猎人的命中率为80%),当你看到一只鸟被击落时,你认为最有可能是谁打中的?
答案肯定是猎人。
但我想问的是,你做出这样推理的背后,是依赖于什么理论?
在前面两个例子中,我们都基于一些已知数据,对某个先验事件做出了推断。例一中,若没有告诉你抽样的具体情况,我们将难以对罐中黑白球的比例做出推测;例二中,若不知道小明和猎人的命中率,我们的答案将是“一半一半”。但是,当有了某次实验的数据后,我们在对该事件的先验概率做出推测时,就会往倾向于该实验数据的方向靠近,即体现为“原始分布最可能的取值”,这实际上就是极大似然估法的灵魂所在。
比如例一中,既然抽出白球的次数更多,那么就自然地认为罐子中白球的比例更大;例二中,既然猎人的命中率更高,那么就自然地认为击中鸟的人更可能是猎人而非小明。
一般的,若设总体的概率函数为 𝑝(𝑥; 𝜃) , 𝜃 ∈ 𝛩 , 其中 𝜃 是一个未知参数(或一组未知参数构成的参数向量) ,𝛩 是可能取值的参数空间,(𝑥1, 𝑥2,…, 𝑥𝑛) 是来自该总体的样本。于是可以得到样本的联合概率密度为:
![]()
称 𝐿(𝜃)为样本的似然函数。
由于似然函数𝐿(𝜃) 是以参数 𝜃 为变量的函数,因此似然函数的目的就是在样本(𝑥1, 𝑥2,…, 𝑥𝑛) 固定的前提下,以寻找最优的 𝜃 来使似然函数最大,即:
![]()
接下来为了求出 𝜃∗ ,就是要求使得似然函数 𝐿(𝜃) 最大的 𝜃 。这是求解自变量的问题而与函数值无关,因此为了
便于计算,我们通常令 𝐿(𝜃) 为 ln 𝐿(𝜃) ,然后再对 ln 𝐿(𝜃) 求偏导,并在偏导取值为 0 处得到最终的 𝜃∗(实际上就是求极值的步骤) :
![]()
二、Jenson不等式
设 𝑓 是定义域为实数的函数,如果对于所有的实数 𝑥 ,𝑓′′(𝑥) ≥ 0,则称 𝑓 是凸函数。Jenson不等式定义为:对于任意凸函数 𝑓 ,都有函数值的期望大于等于期望的函数值。即:
若 𝑓 是严格的凸函数,当且仅当 P (X=𝐸(𝑋)) = 1(即X是常量时),上式等号成立。
当Jenson不等式应用于凹函数时,不等号方向相反。
三、数学期望的相关定理
若随机变量 𝑋 的分布用分布列 𝑝(𝑥𝑖) (或密度函数 𝑝(𝑥) )来表示,则 𝑋 的某一函数 𝑔(𝑥) 的数学期望为:

例,离散型分布列:
| X | 1 | 2 | 3 |
|---|---|---|---|
| P | 1/5 | 3/5 | 1/5 |
则:
𝐸(𝑋) = 1 × (1/5) + 2 × (3/5) + 3 × (1/5) = 2
𝐸(𝑔(𝑋)) = 12 × (1/5) + 22 × (3/5) + 32 × (1/5) = 4.4 , 𝑔(𝑋) = 𝑋2
四、边缘分布列
在二位离散随机变量 (X, Y) 的联合分布列 { P(𝑋 = 𝑥𝑖 , 𝑌 = 𝑦𝑗) } 中,对 𝑗 求和所得分布列:
![]()
称为 X 的分布列。
类似地,对 𝑖 求和所得分布列:
![]()
称为 Y 的分布列。
五、坐标上升法
前面在利用Jenson不等式时,有:

该式子在经过放缩后,简化了运算。此时,当我们固定变量 z 时,可以很方便地求解最大似然时的参数 𝜃 。同理当我们有了 𝜃 的取值之后,又可以来优化 z 。这种两个变量固定一个,轮流优化另一个的方法叫做坐标上升法,是机器学习中非常常用的求解方式。
如下图所示,其中一圈一圈的是损失函数的等高线。当我们使用坐标上升法时,可以每次固定一个轴的变量,优化另一个变量,然后交替进行,最终总能得到最优解。

六、EM算法
1. 概论
在讲 EM 算法前,必须请大家记住其使用场景:
给出了观测变量的数据,但是这些数据依赖于一些隐藏变量(且该隐藏变量的值也是未知的),问出现如此观测数据的概率是多少?
例子
现在有两个硬币 A 和 B ,这两个硬币都是有偏的(设参数 𝜃𝐴 、 𝜃𝐵 分别为硬币A、B正面朝上的概率)。现在做5组实验,每次实验从两个硬币中随机抽一个,然后连续抛10次。下图所示为五组实验数据。如果我们知道了每次抛的是哪个硬币,那么计算上面那两个参数就非常的简单。

但如果不知道每次抛的是哪个硬币呢?如下图所示:

总结来看,就是已知两枚硬币抛掷后的分布,但不知道具体是哪个抛出来的(“使用哪个硬币”就是隐变量),而“使用哪个硬币”这个信息又对抛掷后的结果有影响。即,隐变量和我们想要求的参数互相纠缠,形成了一个死循环,而求解该问题就需要用到 EM 算法了。
从这个角度看,EM算法与极大似然估法十分相似:已知观测随机变量的数据,问出现这样的观测随机变量的数据的概率是多少?不同的是,EM算法还考虑了隐变量的影响,并试图对其进行求解。
实际上,EM算法正是基于极大似然估法。前面曾说道,极大似然估法的目标是:
![]()
现在,我们的模型不变,且目标均是对某个事件(此处是抛硬币)已出现的观测结果进行推测——怎样的原分布最可能出现这样的结果?但不同的是,现在我们还多了一个未知参数(隐变量),因此现在要求的目标是:
![]()
此时,目标函数为:

为什么该步骤成立?考虑两个变量 𝑥𝑖, 𝑧𝑖 ,则上式实际上正是计算边缘分布列的逆过程。
在上式中, 𝑧𝑖 和 𝜃 均未知。因此在求解时,传统的求导方法不再适用。只能通过固定其中一个值来求解另一个,然后不断重复这个过程,直到该过程收敛(坐标上升法)。但这里有个问题:为什么该过程收敛?这个问题将放在最后进行解答。
2. 算法流程
EM算法的思路如下:
- 给 𝜃𝐴 、 𝜃𝐵 一个初始值;
- 分别计算每组实验在抛掷硬币A、硬币B的情况下所得概率,并根据该概率值去分别计算两硬币正面朝上次数的期望值。因此,此步骤也被称为“E过程”;
- 分别用第 2 步中计算的每组期望值来计算 𝜃A(𝑖)、𝜃B(𝑖);
- 将计算得到的 𝜃A(𝑖)、𝜃B(𝑖) 回代第 2、3 步,并不断迭代得到 𝜃A(𝑖+1)、𝜃B(𝑖+1) , 直至收敛(或到一定精度)。此步骤的本质就是不断修正两硬币正面朝上次数的期望值,即期望最大化,因此也被称为“M过程”;
注:第 2 步中为什么要计算期望进行迭代而不直接以各自的概率值进行迭代?这个问题将在后面进行解答。
下面用一个例子来帮助理解(EM算法的流程详解):

- 给 𝜃𝐴 、𝜃𝐵 赋始值: 𝜃A(0) = 0.6 、 𝜃B(0) = 0.5,表示硬币A、B正面朝上的概率分别为0.6、0.5;
- “E过程”(仅以第一组实验为例):
① 计算概率。第一组实验结果是5正5反,则硬币A、B抛出该事件的概率分别为 𝑃𝐴 = 0.65 × 0.45, 𝑃𝐵 = 0.55 × 0.55。于是可以得到,“第一组实验选择的硬币是A”的概率为 𝑃A / (𝑃A+𝑃B) = 0.449 ≈ 0.45,则“第一组实验选择硬币是B”的概率为1 − 0.45 = 0.55 ;
② 计算期望。若选择的是硬币A,则正、反面朝上次数的期望值分别为 0.45 × 5H ≈ 2.2𝐻, 0.45 × 5𝑇 ≈ 2.2𝑇,若选择的是硬币B,则正、反面朝上次数的期望值分别为 0.55 × 5H ≈ 2.8𝐻, 0.55 × 5𝑇 ≈ 2.8𝑇 ;
③ 重复①和②,直到计算完该组实验中的所有数据。 - 更新 𝜃𝐴 、𝜃𝐵 。利用第 2 步求得的期望值重新计算 𝜃A(1) = 21.3 / (2.13+8.6) ≈ 0.71 、 𝜃B(1)= 11.7 / (11.7+8.4) = 0.58 (从该结果可以看出,经过一次迭代, 𝜃A 、𝜃B 的值已经往真实值的方向逼近了一点);
- “M过程”。将参数再带回2、3中求解,不断迭代直至收敛。
3. 算法的推导
首先来看待优化的目标函数:

我们要估计参数就是要极大化这个对数似然函数,然而隐变量 𝑧𝑖 和参数 𝜃 均未知,因此我们的解决方法就是假设(初始化参数)。首先假设一个模型参数 𝜃(0) ,然后可以计算出隐变量的概率分布 𝑃(𝑧𝑖) ,根据 𝑃(𝑥𝑖, 𝑧𝑖) = 𝑃(𝑥𝑖 | 𝑧𝑖)𝑃(𝑧𝑖)(条件概率公式),再将 𝑃(𝑧𝑖) 带入上述公式可以得到一个关于模型参数 𝜃 的函数,再对该函数进行极大化就可以得到一个新的 𝜃 。有了这个新的 𝜃 再对每个样本重新计算其隐变量的分布,迭代至收敛,这就是EM算法的基本思想。换言之,直接对原函数进行最大化是不现实的,因为计算相当复杂,故引入Jenson不等式简化。
对上面的对数似然函数引入隐变量 𝑧 的某个分布函数 𝑄(𝑧𝑖) ,则:

由于函数𝑓(𝑥) = ln(𝑥)是一个凹函数,因此根据Jenson不等式可知:

即:
也就是说我们找到了 𝐿(𝜃) 的一个下界。但是,需要注意的是,该不等式右侧中的 𝜃 实际上是 𝜃𝑖 , 即某一次迭代时暂定的假设值(当然,随着迭代次数的增多,该值会越来越趋近于真实值)。
下图中,最开始初始化 𝜃𝑖= 𝜃0( 𝜃0 可任意取值),然后根据它可求似然函数一个紧的下界曲线,也就是图中的 ℎ0(𝜃) ,该函数上的值虽然都小于似然函数的值,但至少有一点 𝜃0* 可以满足等号(所以称为紧下界),即最大化函数 ℎ0(𝜃) 我们就可以得到至少与似然函数刚好相等的位置(设该处为 𝜃0),对应的横坐标 𝜃0 就是我们的新的 𝜃𝑖,(下一轮迭代时被设为 𝜃1 )。如此进行,只要保证随着 𝜃 的更新,每次最大化的新曲线都比上次的更大,那么算法收敛,最后就能最大化到似然函数的极大值处。

思考:EM算法一定能求到全局最优解么?
答:当优化的目标函数是凸函数时,一定能求到全局最优解;如果不是,则只能取到局部最优解。
如何设置引入的隐变量 𝑧 的分布函数 𝑄(𝑧𝑖) ?
注意到Jenson不等式中等号的成立条件是随机变量为常数,即
![]()
由于 𝑄(𝑧𝑖) 表示隐变量 z 的分布函数,也就有 𝛴𝑄(𝑧𝑖) = 1,故
![]()
所以 𝛴 𝑃(𝑥𝑖, 𝑧𝑖 ; 𝜃) = C,回代到 𝑄(𝑧𝑖) ,于是得到:

该式表明 𝑄(𝑧𝑖) 的含义为:在参数 𝜃 下,给定观测数据 𝑥𝑖 后,隐变量 z𝑖 的后验分布。
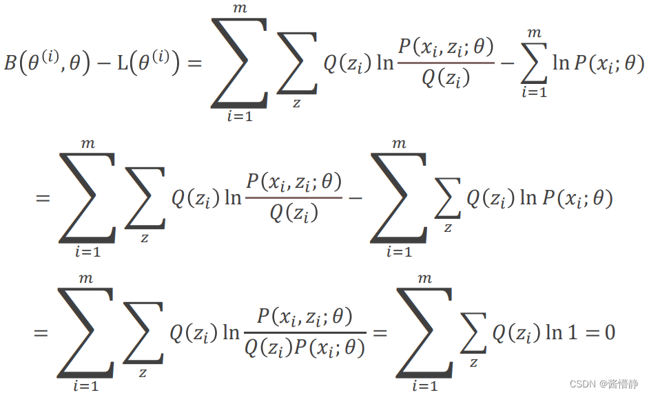
4. 敛散性证明
根据不等式:

若设下限函数为:

则在第 𝑖 次迭代时,将上一步计算的先验概率分布和条件概率分布用以计算后验概率分布 𝑄(𝑧𝑖) ,此时似然函数与下限函数在该点之差:

由于对 𝐵(𝜃(𝑖), 𝜃) 求极大值在 𝜃(𝑖+1) 处取得,因此:
![]()
又因为 𝐵(𝜃(∗), 𝜃(𝑥)) 是 𝐿(𝜃(𝑥)) 的下限,所以有:
![]()
综上可得:
![]()
这样我们就证明了似然函数的取值是在递增的。由于似然函数 𝐿(𝜃) 是一个有界函数(一种简单的理解是:由若干表示概率的函数 P𝑖 (𝑥𝑖 ; 𝜃)(其取值在 [0,1] 之间)叠乘而得的函数,其最终的值域也为 [0,1] )。因此,函数在最后收敛时,将得到最大似然估计值,此时的参数 𝜃 就是我们需要的最大似然估计方法得到的参数。
七、参考博客
【简书】 你真的了解EM算法吗?
【知乎】 EM算法详解
【博客园】 详解十大经典机器学习算法——EM算法
END
更多推荐


所有评论(0)