定积分分部积分典型例题_一组不定积分求解的行列式形式回避分部积分
PS:知乎的LaTeX公式渲染行列式老是各种显示错误,晕死,改用图片形式了。验证可以从右向左,利用行列式函数求导的性质来验证(即逐行求导并相加)。利用这几个公式计算可以避免繁琐的分部积分。检验的时候可以发现,由于sinx的二阶导会引入负号,所以将其放在了副对角线的位置,同理可以验证cosx的情形;指数函数求导不会引入负号,从而将其放在主对角线的位置。...
·
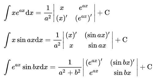
PS:知乎的LaTeX公式渲染行列式老是各种显示错误,晕死,改用图片形式了。
验证可以从右向左,利用行列式函数求导的性质来验证(即逐行求导并相加)。利用这几个公式计算可以避免繁琐的分部积分。
检验的时候可以发现,由于sinx的二阶导会引入负号,所以将其放在了副对角线的位置,同理可以验证cosx的情形;指数函数求导不会引入负号,从而将其放在主对角线的位置。
更多推荐


所有评论(0)