高中数学:平面向量-加减运算
数学
一、向量的加法运算
三角形法则(推荐)
两个或多个向量收尾相连的加法运算,用三角形法则
简便算法
首尾相连的多个向量,去掉中间点,就是最终的和。
也可以用三角形法则证明

向量加法交换律
向量加法结合律
平行四边形法则
两个向量共同起点的时候,采用平行四边形法则
由于向量是可以平移的,所以,共同起点的向量,我们通过平移可以转化成首尾相连,从而可以采用三角形法则
特殊情况
同向与反向的两个向量相加
二、向量的减法运算
由于,向量的负向量,就是自身的反向量,大小相等,方向相反
有
a→\mathop{a}\limits ^{\rightarrow}a→ + (−a→\mathop{-a}\limits ^{\rightarrow}−a→ ) = 0→\mathop{0}\limits ^{\rightarrow}0→
所以,减法运算可以转化成加法运算
即
a→\mathop{a}\limits ^{\rightarrow}a→ - b→\mathop{b}\limits ^{\rightarrow}b→ = a→\mathop{a}\limits ^{\rightarrow}a→ + (−b→\mathop{-b}\limits ^{\rightarrow}−b→)
其他,性质与加法运算相同
三、基本结论
零向量的加法运算
负向量
基本不等式
四、练习
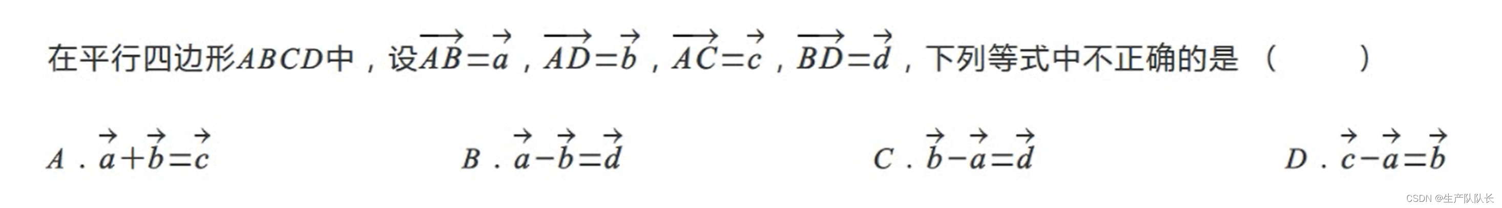
例题1
例题2
解析
这一题,用向量的基本不等式求直接秒杀
最大值,即
−b→\mathop{-b}\limits ^{\rightarrow}−b→ 与 a→\mathop{a}\limits ^{\rightarrow}a→ 同向
最小值,即
−b→\mathop{-b}\limits ^{\rightarrow}−b→ 与 a→\mathop{a}\limits ^{\rightarrow}a→ 反向
更多推荐



所有评论(0)