斯皮尔曼等级相关(Spearman Rank Correlation)
什么是斯皮尔曼等级相关 斯皮尔曼等级相关是根据等级资料研究两个变量间相关关系的方法。它是依据两列成对等级的各对等级数之差来进行计算的,所以又称为“等级差数法”。 斯皮尔曼等级相关对数据条件的要求没有积差相关系数严格,只要两个变量的观测值是成对的等级评定资料,或者是由连续变量观测资料转化得到的等级资料,不论两个变量的总体分布形态、样本容量的大小如何,都可以用斯皮尔曼等级相关来进行研究。斯皮尔曼
什么是斯皮尔曼等级相关
斯皮尔曼等级相关是根据等级资料研究两个变量间相关关系的方法。它是依据两列成对等级的各对等级数之差来进行计算的,所以又称为“等级差数法”。
斯皮尔曼等级相关对数据条件的要求没有积差相关系数严格,只要两个变量的观测值是成对的等级评定资料,或者是由连续变量观测资料转化得到的等级资料,不论两个变量的总体分布形态、样本容量的大小如何,都可以用斯皮尔曼等级相关来进行研究。
斯皮尔曼等级相关系数
斯皮尔曼等级相关系数是反映两组变量之间联系的密切程度,它和相关系数r一样,取值在-1到+1之间,所不同的是它是建立在等级的基础上计算的。
现结合一个例子来加以说明,某工厂对工人的业务进行了一次考试,欲研究考试成绩与每月产量之间是否有联系,若随机抽选了一个样本,其考试成绩和产量数字如下表:
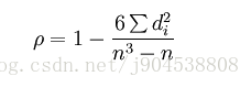
从表中的数字可以看出,工人的考试成绩愈高其产量也愈高,二者之间的联系程 度是很一致的,但是相关系数r=0.676 并不算太高,这是由于它们之间的关系并不是线性的,如果分别按考试成绩和产量高低变换成等级(见上表第3、4列),则可以计算它们之间的等级相关系数为 1。计算等级相关系数可以将数据变换成等级以后用原有的相关系数公式计算,也可以将算出每一对样本的等级之差di,然后用下列公式计算:
在所举的例子中由于等级完全一致,所有的di = 0,所以r=1。等级相关系数和通常的相关系数一样,它与样本的容量有关,尤其是在样本容量比较小的情况下,其变异程度较大,等级相关系数的显著性检验与普通的相关系数的显著性检验相同。
更多推荐

所有评论(0)