【高等数学】第 1 讲 元素和极限
作者: wugenqiang学习笔记:https://notebook.js.org/微信公众号:EnjoyToShare文档后续更新地址:【机器学习之高数基础】第 1 章 元素和极限第 1 章 元素和极限文章目录第 1 章 元素和极限1.1 实数的定义1.2 实数的元素个数1.3 自然数个数少于实数个数1.4 无穷小的比较1.5 级数的收敛1.6 极限的定义1.7 极限的四则运算1.8 极限的复
- 作者: wugenqiang
- 学习笔记:https://notebook.js.org/
- 微信公众号:码客 E 分享(ID:enjoytoshare)
文档后续更新地址:【高数基础】第 1 讲 元素和极限
第 1 讲 元素和极限
文章目录
1.1 实数的定义
如何进行实数定义,要引入一个概念:戴德金分划
首先,什么是分划呢?

戴德金分划:


实数的定义:

①② 为有理分划,③ 为无理分划
我们希望实数具有的性质是:
- (1)稠密性(不可有其他分法)
- (2)有序性(可以比大小)


引理一:单调有界序列存在极限
1.2 实数的元素个数
势:集合元素的个数

自然数个数和整数个数
等势

不能通过包含关系来判断是否等势
希尔伯特旅馆

【证明】整数个数与有理数个数相同
寻找一一对应的关系: q p \dfrac{q}{p} pq

使用到公式:|p| + |q| = k,k = 1,2,3,4…

可列 / 可数
1.3 自然数个数少于实数个数
【证明】自然数个数少于实数个数
反证法:

(1)先将 R 与 (0, 1)实数对应
第一种对应关系方案:

第二种对应关系方案:

(2)再将 N 与 (0, 1)实数对应

!> 存在逻辑错误,找出即说明反命题错误



可数与不可数
当然也存在下面情况,或者更多:

举例:

1.4 无穷小的比较

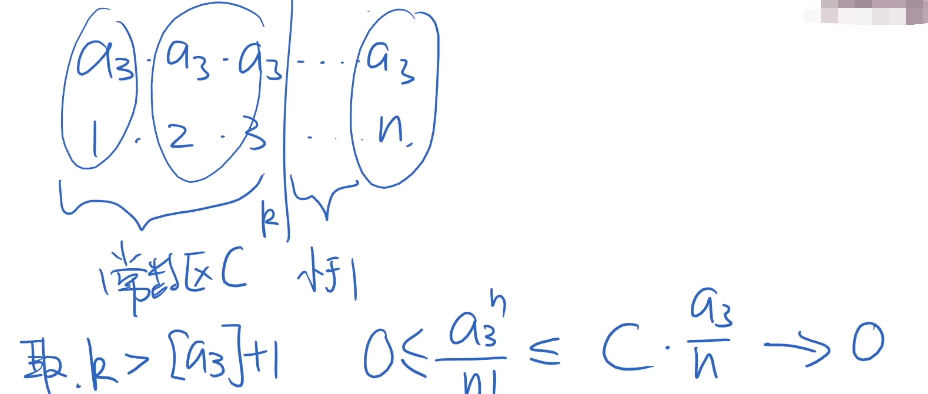
【证明】求证: lim n → ∞ n a 2 a 3 n = 0 {\lim \limits_{n \to \infty} \dfrac{n^{a_2}}{a^n_3} = 0} n→∞lima3nna2=0



所以: lim n → ∞ n a 2 a 3 n = 0 {\lim \limits_{n \to \infty} \dfrac{n^{a_2}}{a^n_3} = 0} n→∞lima3nna2=0 得证。
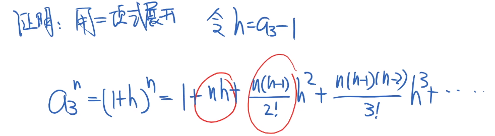
【证明】求证: a 3 n < n ! ( a 3 > 1 ) {a^n_3}<n!\quad(a_3>1) a3n<n!(a3>1)

引入概念:Stirling 近似
n ! ≈ 2 π n ( n e ) n n!\approx\sqrt{2{\pi}n}(\dfrac{n}{e})^n n!≈2πn(en)n
!> 注:当 n ≈ 10 n\approx10 n≈10 时,误差小于 1 1 0 6 \dfrac{1}{10^6} 1061

1.5 级数的收敛
复习级数的收敛:

【证明】当 a > 1 时, 1 n a \dfrac{1}{n^a} na1 收敛。


级数收敛的分界线


1.6 极限的定义

序列极限 / 函数极限

想要任意近,只要足够近!


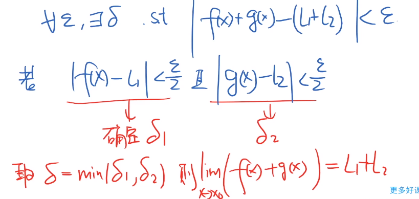
1.7 极限的四则运算
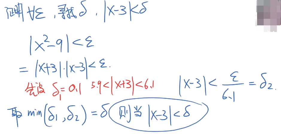
【证明】 lim x → 3 x 2 = 9 {\lim \limits_{x \to 3} x^2 = 9} x→3limx2=9



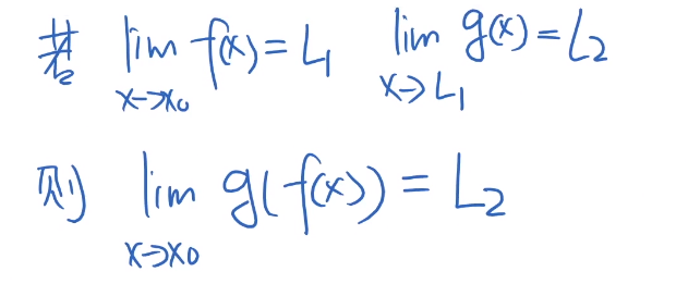
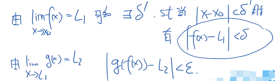
1.8 极限的复合



1.9 连续性

【证明】

更多推荐



所有评论(0)