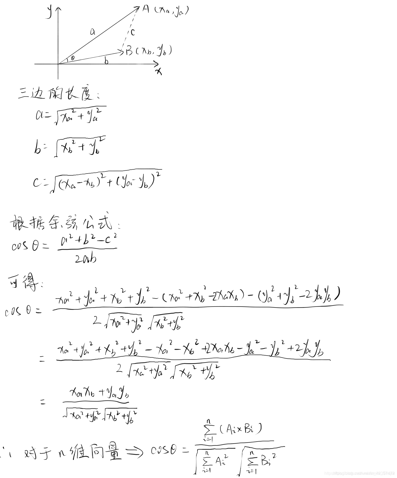
协同过滤之余弦距离相似度计算手推过程
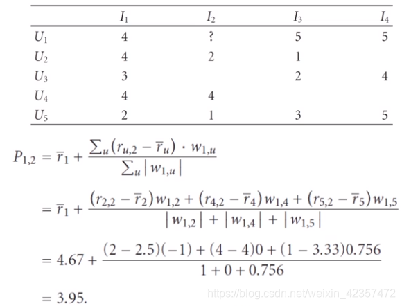
参考:https://www.bilibili.com/video/av38554878?p=4https://blog.csdn.net/huozi07/article/details/45600963user_cf相关打分计算:重点就是求两两相关性是求两者共同有的之间进行的相关性计算下面是求出的u1对i2的打分预测:...
·
参考:https://www.bilibili.com/video/av38554878?p=4
https://blog.csdn.net/huozi07/article/details/45600963
多维向量余弦距离相似度公式
参考:https://blog.csdn.net/smile_shujie/article/details/89516305

与sklearn 对比
from sklearn.metrics.pairwise import cosine_similarity
kkkk=[[0. , 0. , 0.60534851, 0.79596054, 0. ,
0. , 0. , 0. , 0. ],
[0.52863461, 0.52863461, 0.40204024, 0. , 0. ,
0. , 0. , 0. , 0.52863461],
[0. , 0. , 0. , 0. , 0.5 ,
0.5 , 0.5 , 0.5 , 0. ]]
cosine_similarity(kkkkk)
###直接公式,一二行数据相似度
(0.60534851*0.40204024)/(((0.60534851**2+0.79596054**2)**0.5) * ((0.52863461**2+0.52863461**2+0.52863461**2+0.40204024**2)**0.5))

2、user_cf相关打分计算:
重点就是求两两相关性是求两者共同有的之间进行的相关性计算

下面是求出的u1对i2的打分预测:
更多推荐

所有评论(0)