登录社区云,与社区用户共同成长
邀请您加入社区
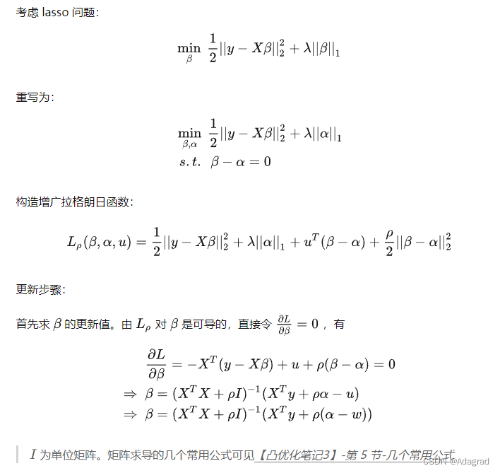
交替方向乘子法(ADMM)
有“AI”的1024 = 2048,欢迎大家加入2048 AI社区
更多推荐
知网英文AI检测合规通过攻略:3个核心方法+AI辅助技巧
合规应对Turnitin检测:学术原创写作技巧+AI辅助攻略
Ray:高性能、易扩展的Python分布式计算框架
Ray是一个开源的分布式计算框架,专为Python设计,旨在简化大规模计算任务的开发。它通过任务并行(Tasks)、有状态执行器(Actors)、分布式对象存储(Objects)等核心概念,支持从数据处理到机器学习的多种应用场景。Ray生态系统包含分布式训练(Ray Train)、超参数调优(Ray Tune)、模型服务(Ray Serve)和强化学习(RLlib)等组件,与主流ML框架无缝集成。
扫一扫分享内容
所有评论(0)