Logistic回归模型和惩罚模型
Logistic回归模型主题思想是一个分类模型,通过对数据的分类边界线建立回归公式,从而实现分类。激活函数将连续的数值转化成0或1的输出。Heaviside函数(阶梯跳跃函数):0到1的跳跃过程不平滑Sigmoid函数:0到1的渐变过程平滑Logistic回归模型实现过程:将样本特征值与回归系数相乘再将所有特征值与回归系数的乘积相加最后将加和代入sigmoid函数输出一个范围在0-1之间的值结果大
·
Logistic回归模型
主题思想
是一个分类模型,通过对数据的分类边界线建立回归公式,从而实现分类。
激活函数
将连续的数值转化成0或1的输出。
Heaviside函数(阶梯跳跃函数):
- 0到1的跳跃过程不平滑


Sigmoid函数:
- 0到1的渐变过程平滑


Logistic回归模型实现过程:
- 将样本特征值与回归系数相乘
- 再将所有特征值与回归系数的乘积相加
- 最后将加和代入sigmoid函数
- 输出一个范围在0-1之间的值
- 结果大于0.5的样本归入1类,小于0.5的归入0类
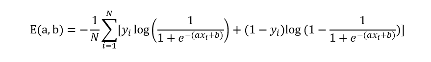
Logistic回归模型公式:
Logistic损失函数:对数似然损失函数
即:
梯度下降法
- 无约束多元函数极值求解方法
- 一种常用的机器学习参数求解方法
- 通过迭代得到最小化的损失函数所对应的模型参数
基本思路:
- 在求解目标函数E(a) 的最小值时,a沿着梯度下降的方向不断变化求解最小值
什么是梯度:
假设优化目标是求解函数E(a)的最小值
- 参数a的梯度为函数E(a)的偏导数
- 因此a的迭代公式为:

其中阿尔法为步长
什么是步长:
- 步长是梯度下降迭代的速度控制器
- 步长调小:收敛速度慢
- 步长太大:可能跳过函数最小值,导致发散
参数求解:梯度下降法
循环a和b:
设置循环次数或者阈值,当达到循环次数或者两次的值小于阈值时,迭代终止。
惩罚模型
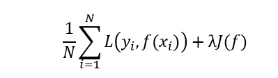
惩罚(正则化)定义: 通过在模型损失函数中增加一个正则项(惩罚项)来限制模型的复杂度
惩罚项: 一般来说都是一个随着模型复杂度增加而增加的单调递增函数
惩罚项(正则化)的形式:
假设一个模型的损失函数为:
则加了惩罚项的损失函数为:
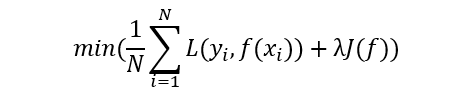
优化目标则变成:
正则化的优化目标:求解参数使得模型的误差最小,同时模型的复杂度最低
惩罚项(正则化)的目的:通过降低模型的复杂度,从而防止过拟合,提高模型的泛化能力
解释一:
- 奥卡姆剃刀原理
- 解释:能够用简单的方法达到很好的项目,就没有必要使用复杂的方法
- 原理推广:如果简单的模型就能够达到很好的预测效果,就没有必要选择复杂的模型
解释二:
- 在模型中使用更多的自变量,一般情况下都会提升模型在训练数据集上的表现,但同时也会提高模型的复杂度,降低模型在验证集上的泛化能力,造成过拟合。
常用的惩罚项(正则化)
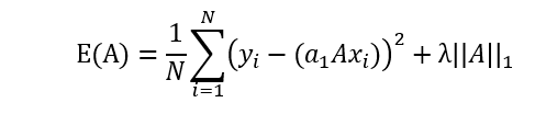
以线性回归模型的损失函数为例,假设线性回归模型需要求解的参数为列向量A,数据集中有N个样本
- L1正则系数:lasso回归

(所有参数绝对值之和) - L2正则系统:ridge回归

(所有参数平方的和再开方)
常用的惩罚项(正则项)特性:
L1正则系数:lasso回归
- L1是模型各个参数的绝对值之和
- L1可以将特征参数约束到0,因此L1会趋向于产生少量的特征,而其他的特征都是0
- L1也因此具有特征筛选的功能(被筛除的特征特征参数为0)
- L1通过融入少量的特征来防止过拟合
L2正则系统:ridge回归
- L2是模型各个参数的平方和的开方值
- L2只能减少特征参数值,让参数接近0,但不能将参数约束到0
- L2通过减少特征的参数值来防止过拟合
更多推荐
所有评论(0)