微分线性主部_考研数学笔记·第二章·一元函数微分学
第一节、导数与微分一、(一)导数概念定义1定理:可导左右导数都存在,且相等考点:分段函数分界点(二)微分概念微分是A△x,就是函数改变量的线性主部(三)几何意义f'(x)是切线斜率=tanx△y是的曲线的改变量dy是直线的改变量解读:用切线改变量,代替曲线改变量(更容易算了)(四)连续、可导、可微之间的关系(五)求导公式(六)求导法则(2)复合函数求导法(3)隐函数求导法y=y(x)是由方程F..
第一节、导数与微分
一、(一)导数概念
定义1
定理:可导
左右导数都存在,且相等
考点:分段函数分界点
(二)微分概念
微分是A△x,就是函数改变量的线性主部
(三)几何意义
f'(x)是切线斜率=tanx
△y是的曲线的改变量
dy是直线的改变量
解读:用切线改变量,代替曲线改变量(更容易算了)
(四)连续、可导、可微之间的关系
(五)求导公式
(六)求导法则
(2)复合函数求导法
(3)隐函数求导法
y=y(x)是由方程F(x,y)=0所确定
则F(x,y)=0,两边对x求导,得到y'的方程,解出y
【注】隐函数求导公式(在后面的多元微分有出现)
(4)反函数的导数
(5)参数方程求导法
隐函数与参数方程求导,直接代公式(因为直接做很复杂)
(6)对数求导法
在哪用?多因式的乘除、乘幂,或者幂指函数
怎么做?可以把函数取对数,然后两边对x求导
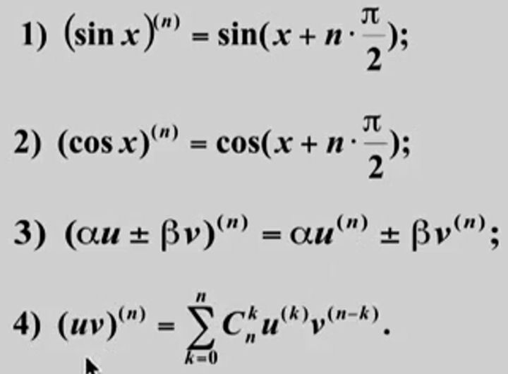
(7)高阶导数
对4)可以联系二项式展开
二、常考题型
题型一、导数与微分的概念
什么时候用排除法?
如果出现了一般函数(只告诉了这个函数满足什么条件,没有给出具体表达式)
用具体函数代替,说明选项的错误然后排除
【eg3】
【eg4】
(二)利用导数定义求导数
【eg2】【注】分段函数,在分界点处的导数,用定义求
(三)利用导数定义判定可导性
【eg3】
【eg5】
备注:1.如果不加任何条件,f(x)和|f(x)|可导性毫无关系。
2.如果f(x)连续
1)那么除了f(x)=0点的地方,无论加不加绝对值,可导情况都一样,
因为绝对值只是把图像根据X轴,往上对折了,当然一样,原来什么趋势,对折后也一样
2)在f(x)=0的地方,切线平行于x轴,往上对折的时候,左右导数才一样大。
如果不平行,往上对折,会出现尖点,尖点不可导
【eg7】2)
可导可微的函数f(x),必定连续,
但是f(x)的导函数f'(x)不一定连续。(也就是无关)
所以不明确的(一般函数)函数不能直接求导,
因为求导后谁都不知道连续不连续。(只能用定义了。)
题型二、导数的几何意义
【eg3】直角坐标系和极坐标转化,
【eg4】【注】若两曲线相切,则在切点处函数值相等且导数值相等
(四)反函数求导法
反函数里面的值是y,不是x!要通过y=?来求x=?
(六)高阶导数
常用方法:
1)代公式;
2)求一阶y'、二阶y",归纳n阶导数
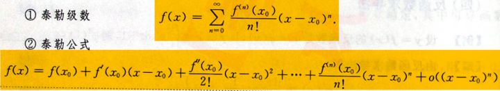
3)利用泰勒级数(或泰勒公式)(具体点的N阶导)
第二节、导数应用
一、(一)微分中值定理(连接函数和导数的桥梁)
1.罗尔定理
2.拉格朗日定理(基本可以看做无条件成立,这两个条件一般都满足)
3.柯西中值定理
4.泰勒定理
(1)拉格朗日余项
(2)佩亚诺余项
(3)麦克劳林公式(当x0=0的泰勒公式)
(二)极值与最值
1.极值的概念
【注】(1)端点x=a,x=b处不可能取得极值
2.极值的必要条件(极值能推出什么?)
驻点:导数=0的点
有导数的话,极值点必为驻点,但驻点并不一定是极值点
【eg1】设f(x)在x=x0处可导,且在点x0处取得极值,则必有f(x0)=0.
没有导数的话,极值点和驻点没有关系
【eg1】y=|x|,在x=0时,极值,但没有导数(极值,没有导数,推不出,驻点)
【eg2】y=x^3,在x=0时,导数y'=3x^2=0,是驻点,但不是极值(驻点,有导数,推不出,极值)
3.极值的充分条件
1)第一充分条件
只要导数=0(驻点),或者在x0处连续(导数不存在的点)
(1)+(2)x0点的左右两端,导数变号,x0就是极值点。
(3)x0点的左右两端,导数不变,x0不是极值点。
2)第二充分条件
一阶导=0
二阶导!=0
3)第三充分条件
佩亚诺余项的泰勒公式,导数是局部区间,这个是用在局部泰勒上
4.函数的最值
求出f(x)的驻点、不可导点、区间端点a,b处的函数值,
然后比较以上各点函数值
如果是应用题,需要建立目标函数f(x)。
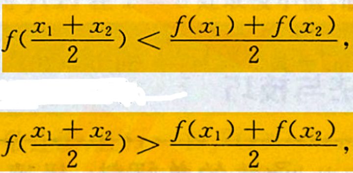
(三)曲线的凹向与拐点
1.凹凸性判定
2.曲线的拐点(极值的条件都抬高一阶,就对了)
左右凹凸性相反
(四)曲线的渐近线
1.水平渐近线
x趋无穷,极限y存在
最多两条,一个负无穷,一个正无穷
2.垂直渐近线
x趋无意义点,极限y趋无穷
3.斜渐近线
在x正一侧,或x负一侧,斜渐近线和水平渐近线互斥,有这个没那个
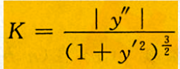
(五)平面曲线的曲率
2.曲率的计算
1)若曲线由直角坐标方程y=y(x)
二、常考题型的方法与技巧
题型一、函数的单调性、极值与最值
【eg3】【eg4】【eg5】
二阶可导(未知连续与否),不等于,二阶导数连续
二阶可导不连续=二阶导数有间断,也就是导函数没有极限值
就是说,一阶导数的时候就不能洛必达,成为二阶导数,因为极限不存在,不满足洛的条件
只能用定义
二阶可导连续=二阶导数有极限值(可以洛必达)
题型二、曲线的凹向、拐点、渐近线及曲率
【eg2】有参数方程t的时候,求极值/拐点,
写对应区间时,x和t的区间,不一定是一个方向,
需要先,x对t求导,
x对t导数>0,t增加x增加
x对t导数<0,t增加x减小
【eg5】
判断有无水平渐近线:
x→负无穷,极限是否→有限值
x→正无穷,极限是否→有限值
判断有无铅直渐近线:x→有限值+/-,极限是否→无穷
题型三、方程的根的存在性及个数
1.说明根的存在性(根存不存在)
方法1:零点定理
作出辅助函数f(x)=0,然后找左右异号,去满足零点定理
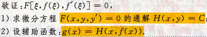
方法2:罗尔定理
找辅助函数f(x)=0的原函数F(x)=0,最后得到F'(ξ)=f(ξ)=0【ξ∈某区间】
2.根的个数(至少有一个,但要求有几个)
方法1:单调性(在单调区间内,最多有一个根)
方法2:罗尔定理推论:
若在区间I上
≠0,则方程f(x)=0在I上【
例题总结:
【eg2】讨论根的个数(没有范围的找出定义区间)
1.找出严格单调区间(每个单调区间最多一个根) 求导f(x)得到f'(x),令他=0,得到驻点(是单调区间的端点)
2.算出区间左右端点值的正负号,异号就有一个根,不异号就没根
【eg3】如果端点的正负不好算,找一个附近的好算的点
【eg4】如果无法判断单调性,那就代值(整数-1/0/1),得到对应的正负值,然后用零点定理,得到至少有多少个根。(还差最多有多少根)
【eg5】带有参数的方程根的问题,求驻点,有参数,第一步将参数分离出来
【eg8】不给方程,只给某点的值,一阶导数值,二阶导数值。马上用泰勒公式展开。
题型四、证明函数不等式
1)单调性(在下面)
2)最大最小值(找最大值,自然有最大值大于其他值)
3)拉格朗日中值定理(一般是无条件成立的,所以随便用)
4)泰勒公式(不给具体式子,但给了具体点的值、和导数值,然后适当放大缩小)
5)凹凸性(在下面)
例题总结:
【eg1】基本不等式
单调性:在(a,b)区间上,根据题意,作辅助函数f(x)
(1)在(a,b)区间上,f(a)=0(左端),求得导数f'(x)>0,f(x)单调增,得到f(x)>0
(2)在(a,b)区间上,f(b)=0(右端),求得导数f'(x)<0,f(x)单调减,得到f(x)>0
【eg5】凹凸性
(1)由f''(x)>0,曲线y=f(x)是凹的,曲线>切线
(2)凹凸性定义
题型五、微分中值定理有关的证明题(重点难点)
PS:出现导数中值,一般用微分中值定理
(一)证明单中值
1.分析法(还原法)(略)
2.微分方程法
例题总结:
【eg1】构造f(x)=0,如果有未知数在分母上,不好用分析法,一般去掉分母(乘上去)
【eg2】【eg3】辅助函数构造方法
(二)证明双中值
例题总结:写出对应中值定理,然后凑成需要的形式就行
(三)证明单中值(高阶导数用泰勒)
【eg2】有无导数的点和有导数的点,有导数的点优先作为x0泰勒展开
练习题精选(心得)
更多推荐



所有评论(0)