数字信号处理基础----快速傅里叶变换
1 旋转矢量 在前面曾多次提到了旋转矢量,也就是在单位圆上旋转的一个复指数信号。旋转的方向为逆时针,旋转的角速度Ω=2π/N,N为旋转矢量的周期。 现在若使旋转的方向相反,则可以得到顺时针旋转的旋转矢量。对于顺时针和逆时针旋转时,有一个相似的东西,也就是复指数部分,将其提出,作为旋转因子。在旋转因子的上方添加一个kn就变成了一个旋转矢量。 有了这个旋转矢量和旋转因子过后,就可以用对DFT进行
1 旋转矢量
在前面曾多次提到了旋转矢量,也就是在单位圆上旋转的一个复指数信号。旋转的方向为逆时针,旋转的角速度Ω=2π/N,N为旋转矢量的周期。
现在若使旋转的方向相反,则可以得到顺时针旋转的旋转矢量。对于顺时针和逆时针旋转时,有一个相似的东西,也就是复指数部分,将其提出,作为旋转因子。在旋转因子的上方添加一个kn就变成了一个旋转矢量。
有了这个旋转矢量和旋转因子过后,就可以用对DFT进行一下变化了。
将DFT当中的复指数用旋转矢量代替后有如下结果。
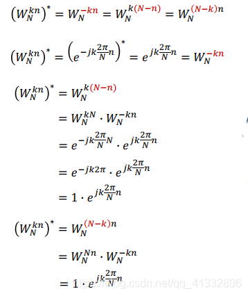
1.1 旋转矢量的性质
-
周期性:旋转矢量是以大N为周期,所以相差为N的两个旋转矢量两者是相同的。

-
对称性:求一个旋转矢量的共轭,可以看到,一个旋转矢量的共轭就相当于有一个旋转方向相反的矢量。

-
可约性: 对上标和下标同乘以一个或除以一个数,得到两个旋转矢量相同。

-
旋转矢量的几个特殊值

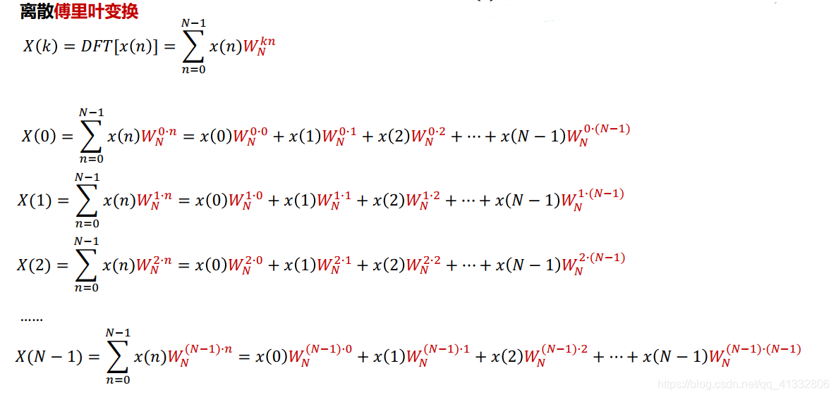
2 快速傅里叶变换推导
有了前面的旋转矢量和DFT的计算公式,就可以来对原来的DFT计算公式做一个变形。
对于N个点的DFT需要进行N(N-1)个加法和N2个乘法。
将复指数用旋转矢量进行替换可以得到如下结果。
将DFT按照奇偶进行分类,序号为奇数为一组,序号为偶数的为一组,

由于按照奇偶对原来的序列进行了划分,可以把奇偶序列分别看作两个新的序列。这样,原来的DFT的计算的重心就变成了两个子序列的DFT的计算。
以8个点的DFT计算为例。
对于前4个点的DFT计算,可以仔细观察一下各自的规律,根据旋转矢量的性质,其中没一点的傅里叶变换的计算其前4个计算值和后4个计算值的旋转矢量是相同的。因此可以得出如下的结果:
对于后4个点的傅里叶变换,根据旋转矢量的周期性,能够得到和前4个点类似的结果。
因此就可以得到DFT的新的表达式:可以看到,将原来的N个点的DFT的计算,转换成了2个N/2个点的DFT的计算,由此可以减小DFT计算的乘法的个数。
下面是一个8个点的FFT的计算的方式,可以看到,通过使用FFT,能够实现DFT计算结构的复用。由此减小了运算量。
若将前面的前面的DFT计算进一步细分,那么可以进一步较少乘法的计算量。FFT的计算的核心就是,找出画出这个蝶形图。
参考:
更多推荐


所有评论(0)