统计信号处理基础 习题解答6-5
统计信号处理基础 习题解答6-5
·
题目:
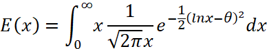
观察到的IID样本
服从对数分布:

证明均值为
。因此无偏约束不满足。使用随机变量变换
的方法,求θ 的BLUE。
解答:
根据均值计算的定义,得到:

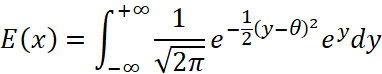
考虑变化:
![]()
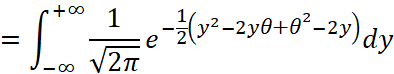
即:
![]()
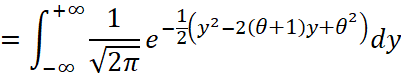
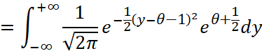
那么
![]()
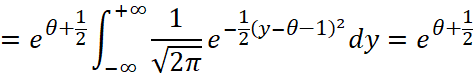
因此:
![]()
于是可以得到:






其中用到了性质:

证明参考:
高斯分布的积分期望E(X)方差V(X)的理论推导_chaosir的博客-CSDN博客_高斯分布的期望和方差
因此,最终得到对数分布时:
![]()
显然,对于估计量θ 来说,不满足线性条件。或者说,找不到待定常数序列
,使得:

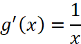
此时无法得到BLUE,需要进行对数据进行变化:
![]()
且
的导数存在:
![]()
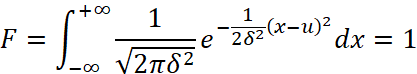
由于此变化是严格单调的,因此也就是存在:
![]()
![]()
根据概率密度函数变化的性质,得到:
![]()
其中
![]()
因此:
![]()
上述计算利用了函数变化后的概率密度计算性质,具体可以参考:
概率论中密度函数变换_bingfeiqiji的博客-CSDN博客_概率密度变换公式
可以发现
服从高斯分布,且:
![]()
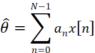
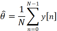
根据已有的结论,得到此时θ 的BLUE为:

因此,进一步得到:

此题给出了指数分布情况下的BLUE计算,尽管原始情况下找不到待定常数序列
,使得估计量与样本之间满足线性无偏条件,因此不能直接用BLUE性质求解。
但本题利用指数分布概率密度函数变化后的性质,通过对样本进行函数变化后,得到了指数分布情况下的BLUE估计。
更多推荐


所有评论(0)