评价类问题——熵权法
熵权法文章目录熵权法前言一、理论二、算法步骤例前言构建完评价体系后在选择合适的评价方法即可,体系建立应秉持全面、准确、独立的三要素在评价类问题中,需要兼顾指标体系权重评价方法通常分为①主观:发问卷做调查(容易受到样本个数、样本质量限制),找专家赋权(上网查找别的研究报告)等等。层次分析法(判断矩阵基本上是由个人进行填写)②客观量化:从数据入手进行赋权只从数据出发,不考虑问题的实际背景,确定权重时就
熵权法
前言
构建完评价体系后在选择合适的评价方法即可,体系建立应秉持全面、准确、独立的三要素
在评价类问题中,需要兼顾
指标体系
权重
评价方法
通常分为
①主观:发问卷做调查(容易受到样本个数、样本质量限制),
找专家赋权(上网查找别的研究报告)等等。
层次分析法(判断矩阵基本上是由个人进行填写)
②客观量化:从数据入手进行赋权
只从数据出发,不考虑问题的实际背景,确定权重时就可能出现与常识相悖的情况。因此其适用于主观因素影响不大时的评价场景,业务经验不会使得权重发生失真时候的场景
一、理论
如果一个系统包含某种确定的结构,就具有着一定的信息,这种信息称之为“结构信息”。结构信息越大,系统就越有序。
1.通过对“熵”的计算确定权重,就是根据各项监测指标值的差异程度,确定各指标的权重。
2.当各评价对象的某项指标值相差较大时,熵值较小。说明该指标提供的有效信息量较大,其权重也应较大;
3.当某指标值相差较小,熵值较大,说明该指标提供的信息量较小,权重也应较小。
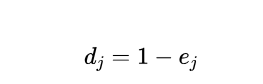
当各被评价对象的某项指标值完全相同时,熵值达到最大,这意味着该指标无有用信息,可以从评价指标体系中去除。
二、算法步骤
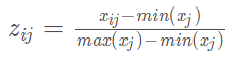
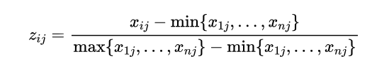
首先对数据进行归一化,去量纲影响
对于正向指标:
对于负向指标:

进行归一化和标准化:
对每一列进行标准化
计算每一列每一行元素在该列元素中的比重,作为概率,得到概率矩阵P
计算每个指标的信息熵,即每一列的信息熵
得到每个指标的信息效用值

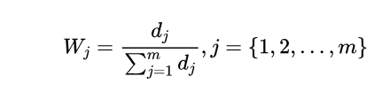
得到每个指标的熵权权重:
例
某标准化得分表
每项指标的权重计算

信息熵计算:
得出每个指标的权重
然后依据权重得出得分
更多推荐


所有评论(0)