1.图像边缘产生的常见因素

  1. 两个面的交界处

  2. 因为图像的深度信息产生

  3. 不同的颜色之间边界

  4. 因为影子的产生
    在这里插入图片描述

2.边缘

2.1边缘的定义

边缘是图像像素值快速变化的地方

在这里插入图片描述

那么可以用1阶导数的大小表示变化快慢,对于二维函数f(x,y),偏导数为
在这里插入图片描述

对于离散的数据(比如说图像),那么近似的对x的偏导就可以写成如下:

在这里插入图片描述

2.2如何用卷积实现对图像求导

在这里插入图片描述

对图像按x轴方法求导,其实就是用[-1,1]卷积核在图像上进行卷积操作,

对图像按y轴方法求导,其实就是用在这里插入图片描述
卷积核在图像上进行卷积操作,

2.3图像的梯度

在这里插入图片描述

图像的梯度,每一点都有x,y轴的导数,那么二者联合起来的向量Δf=[φfφx,φfφy]\Delta f=[\frac{\varphi f}{\varphi x},\frac{\varphi f}{\varphi y}]Δf=[φxφf,φyφf]就是该点的梯度。

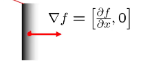
  1. y轴梯度方向为0的举例

在这里插入图片描述

比如说上图的红色的点,在该点处,梯度就为Δf=[φfφx,0]\Delta f=[\frac{\varphi f}{\varphi x},0]Δf=[φxφf,0],因为y轴方向导数为0。

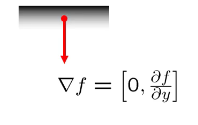
  1. x轴梯度方向为0的举例
    在这里插入图片描述

比如说上图的红色的点,在该点处,梯度就为Δf=[0,φfφy]\Delta f=[0,\frac{\varphi f}{\varphi y}]Δf=[0,φyφf],因为x轴方向导数为0。

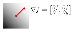
  1. x轴,y轴梯度方向都不为0的举例
    在这里插入图片描述

那么此时梯度就有了角度(也称为梯度方向),那么是多少度呢?

在这里插入图片描述

θ=tan−1(φfφy/φfφx) \theta=tan^{-1}(\frac{\varphi f}{\varphi y}/\frac{\varphi f}{\varphi x}) θ=tan1(φyφf/φxφf)

那么梯度方向核边缘有什么关系呢?

答:梯度的方向与边缘垂直。
在这里插入图片描述

2.4图像的边缘与图像梯度的关系

图像边缘的强度(边缘线的清晰度)由图像的梯度的强度决定,因为梯度值越强,说明x轴、y轴的像素点变化越快,所以该点处越可能是边缘。
在这里插入图片描述

Logo

有“AI”的1024 = 2048,欢迎大家加入2048 AI社区

更多推荐