模型的不确定评估方式
模型的不确定评估方式在上面的一篇UA-MA的论文中,文献中的模型用一种不确定评估方式来过滤掉相对不可靠(高不确定度)的预测,只选择某些预测作为学生模型学习的目标。下面简单讲讲模型的不确定评估方式吧~参考文献:What Uncertainties Do We Need in Bayesian Deep Learning for Computer Vision? (NIPS 2017)不确定性类型:1
模型的不确定评估方式
在上面的一篇UA-MA的论文中,文献中的模型用一种不确定评估方式来过滤掉相对不可靠(高不确定度)的预测,只选择某些预测作为学生模型学习的目标。下面简单讲讲模型的不确定评估方式吧~
参考文献:What Uncertainties Do We Need in Bayesian Deep Learning for Computer Vision? (NIPS 2017)
不确定性类型:
1、感知不确定性(Epistemic Uncertainty)
特征:与模型相关,是由于训练不完全导致的。
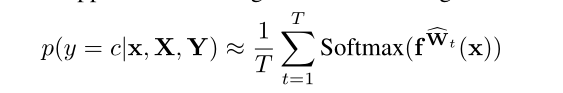
在UA-MA中,选择预测熵(the predictive entropy)作为度量来近似不确定性,预测熵如下:
T是随机向前传播次数;Pc是t时刻预测中c类的概率。
公式解释:先算出T次向前传播后的预测值,然后使用了一个信息熵公式求出不确定性。
注意,不确定性是在体积水平上估计的,整个体积u的不确定性是{u}∈rh×w×d。
在不确定性这篇论文中是这样描述的:
对于分类问题:
带T采样的隐式模型权重,Wt~q∗θ( W),其中qθ(w)是dropout分布。
这个概率向量p的不确定性可以用概率向量的熵来概括:
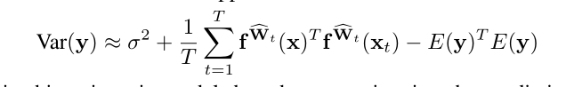
对于回归问题:
通过近似预测平均值进行预测: E ( Y ) = a b ∑ t = 1 T f W ( x ) E(Y)=\frac{a}{b}\sum_{t=1}^{T}f^ W(x) E(Y)=ba∑t=1TfW(x)
σ2:对应于数据中固有的噪声量
简单来说,感知不确定性是用多次预测结果的方差来决定的,在多次预测中,所用的模型参数都是不一样的,因此这种做法捕获了模型参数的感知不确定性。
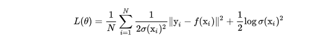
2、偶然不确定性(Aleatoric Uncertainty)
特征:由于观测数据中的固有噪声导致的,这种不确定性是无法被消除的。
总结:模型不确定性的选择,偶然不确定性、感知不确定性,或者结合两种?
对于以下情况,建立原子不确定性模型很重要:
- 大数据
- 实时应用程序
- 安全关键应用
- 小数据集
这篇文章翻译得挺好的:深度学习中的不确定性
更多推荐


所有评论(0)