旋转长天线,蝙蝠翼天线、直立天线、螺旋鞭天线
为实现水平平面全向天线,即水平平面的方向图金丝一个圆,从而保证各个方向都接收良好,为得到近似圆的方向图可采用旋转场天线。定义:空间和时间上都正交的电流源在其所在平面内产生隋时间以角频率旋转的电磁场,这种天线叫旋转场天线。由电强度表达式可见,在某一瞬间,振子所在平面内方向图一个“8”字形,而在任一点处,E又是随时间而变化的,变化周期W,所以在任意瞬间,天现在该平面的方向图是“8”字形,且这个"8“”
为实现水平平面全向天线,即水平平面的方向图金丝一个圆,从而保证各个方向都接收良好,为得到近似圆的方向图可采用旋转场天线。
定义:空间和时间上都正交的电流源在其所在平面内产生隋时间以角频率旋转的电磁场,这种天线叫旋转场天线。

由电强度表达式可见,在某一瞬间,振子所在平面内方向图一个“8”字形,而在任一点处,E又是随时间而变化的,变化周期W,所以在任意瞬间,天现在该平面的方向图是“8”字形,且这个"8“”字随时间的增加绕着与两振子相垂直的中心轴W,旋转
蝙蝠翼天线

蝙蝠翼天线常用作电视发射天线,
优点:频带宽
不用绝缘子可以很牢固的固定在支柱上
功率容量大
直立天线
在长波和中波波段,由于波长较长,天线架设高度受到H/波长的限制,若采用水平悬挂的天线,受地的负镜像作用,天线的辐射能力很弱,而且此波段主要采用地面传播,由于地面传播时,水平极化衰减远大于垂直极化波,因此在长波和中波波段内主要使用垂直接地的直立天线。垂直于地面或导电平面架设的天线称为直立振子天线(单极天线),它广泛地用于长中短波即超短波波段
. 
直立天线应用:在长波和中波波段:天线的几何高度很高,可直接用铁塔做辐射体,称为铁塔天线。
短驳货超短波波段:天线并不长,外形像鞭状称为鞭状天线。
直立天线由于结构所限不能做的太高,直立天线的高度小产生下列问题
(1)辐射电阻小,相比损耗电阻较大,无线效率低
(2)输入电阻小,输入电抗大,即天线的Q值很高,所以工作频带很窄
(3)容易产生过压
2.2.1、鞭状天线
鞭状天线是一种水平平面全向天线最常见的鞭状天线就是一根金属棒,在棒的底部馈电,如图所示,为携带方便,可将棒分成数节,如图所示


地面可视为理想导体,则地面的影响可用天线的镜像来代替,如图(a),©鞭状天线可等效为一对称阵子(如图b),对称阵子可等效为一二元阵(图d)但应指出的是此等效只是在地面或导体的上半空间成立
鞭状天线的电性能:
1、极化:鞭状天线为垂直极化天线,理想导电面上,其辐射场垂直于地面。
2、方向图:地面对鞭状天线的影响可用天线的正镜像代替,方向图与对称阵子的一样,但只取上班空间。在理想导电地上,鞭状天线的辐射电阻是相同臂长自由空间对称阵子的一半,而方向系数则2倍。当天线很短h/波长<0.1时,方向系数近似等于3.

3、有效长度:在第一章中介绍了有效长度,对于直立天线而言就是有效高度,它是一个衡量直立天线辐射强弱的重要的电指标。
根据等效高度的定义,可求得归于输入点电流的有效高度为
代入上式即得。

4、输入阻抗:对理想导电地来说,或在有良好的接地系统的情况下,鞭状天线的输入阻抗等于相应对称阵子输入阻抗的一半。但在实际计算输入阻抗的电阻部分时,若采用自由空间对称阵子的方法,则误差很大,因为此时输入到天线的功率,除一部分辐射外,大部分将被消耗掉。除天线导线,附近导体及介质等引起损耗外,还有相当大的功率损耗在电流流经大地的回路中,所以输入电阻包括两部分,即
5、效率:由于损耗电阻大,同时邮由于受到田县高度h的限制,辐射电阻通常很小,故短波鞭状天线的效率很低,一般情况下仅为百分之几甚至不到1%,因此,有必要研究怎样提高短波鞭状天线的效率。
从前面的分析可知,提高天线效率的有二:1、提高辐射电阻;
2、降低损耗电阻
(1)提高天线的辐射电阻
提高辐射电阻可采用在顶端加容性负载和在天线中部或底部加感性负载的方法,这些方法都提高了天线上电流波腹点的位置,因此等效为增加了天线的有效高度。
1、加顶负载:
鞭状天线顶端的线,板等统称为顶负载。它们的作用是使天线顶端对地的分布电容增大,使顶端 不是开路点,天线的顶端电流不为0,电流的增加使天线的辐射场也增大。



在短单级天线中某点加入一定数值的感抗,就可以部分抵消该点以上线段在该点所呈现的容抗,从而使该点以下线段的电流分布趋于均匀,如图,它对加感点以上线段的电流分布并无改善作用。
加感点的位置一般选择在距天线顶端(1/3~1/2)处,h为天线的实际高度。
无论是加顶负载还是加感线圈,统称为对鞭状天线的加载,前者为荣幸加载,后者为感性加载。
(2)降低损耗电阻
鞭状天线的损耗包括天线导体的铜耗,支架的介质损耗,邻近物体的吸收,加载线圈的损耗及地面损耗,其中地面损耗最大,主要损耗来自于接地系统。通常认为接地系统的损耗主要是由两个因素引起的:**其一是天线电流经地面流入接地系统时所产生的损耗–电场损耗,另一是天线上的电流产生磁场。根据边界条件,磁场作用在地表面上,地表面将产生径向电流,电流流过有耗地层时将产生损耗-磁场损耗。**而对于电高度较小的直立天线而言,磁场损耗将是主要的,一般采用在天线底部加辐射状地网的方式减小这一损耗。

T形天线
T形天线结构简单,架设也不困难,其高度h可以比普通的鞭状天线高。为了提高T形天线的效率,其水平部分可用多根平行导线构成如下图,也可以附设地网来减小地的损耗
2、斜天线


(1)当水平臂长L很短时,其辐射能力很低,与鞭状天线加顶负载的作用相同,对倒L形天线方向性影响不大。
(2)当水平臂长L较长而h较高时,水平臂相当于对称振子的一个臂,对高空有一定的辐射能力,此时对地面波,天波均有较强辐射
(3)水平臂长L较长而h较低,水平臂受其地面负镜像的影响对高空辐射弱,天线仍然沿地面方向辐射最强,但与鞭状天线不同之处在于这种倒L天线在水平平面有明显的方向性。
2.2.3、螺旋鞭天线
提高天线的有效高度的方法之一是对天线加载。前面已讨论了集中加载方法,与之对应的另一方法是分布式加载,其典型天线之一即为螺旋鞭天线。螺旋鞭天线如下图,螺旋线是空心的或者绕在低耗的介质棒上,圈的直径可以是相同的,也可以随高度逐渐变小,圈间的距离是等价的或者变距的。有图可知,它相当于将加载的电感分布在鞭状天线的整个线段中。最大的优点是天线的长度可以缩短2/3或更多。

螺旋鞭天线多用作垂直极化方式,以取代车载或船载鞭状天线。由于电磁波沿螺旋轴线传播的相速比垂直偶极天线小,故其谐振长度可以缩短,从而可使天线的垂直高度大大降低。螺旋鞭天线由于绕制螺旋的导线细而长,导线损耗较大,使天线效率比同高鞭度天线要低一些,但如果与调谐匹配电路一起考虑,其效率并不比一般鞭状天线差,因为螺旋天线可以工作在谐振点附近,输入阻抗为纯电阻或带不大的电抗,这样调谐回路可采用低功耗的电容元件,而短鞭状的调谐回路的损耗很大,所以从总效果来看,螺旋鞭天线的增益比等高度的普通天线高,但其带宽比较窄。
2…2.4、中馈鞭状天线
常用的鞭状天线是在底部馈电的直立单极天线,又称底馈天线,在VHF频段其高度一般选在1/4波长附近,故底部电流很大,当这种天线安装在车辆上时,天线与车体之间存在较强的电磁耦合,随着车型或在车上的安装位置的改变,天线的输入阻抗也随之变化,原来设计好的匹配装置将失去原有效能。中馈鞭状天线就是为了克服底部天线的之一缺陷而研究设计的。
宽频带直立天线
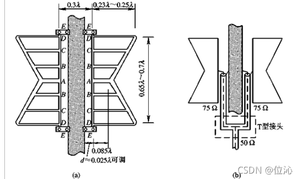
在许多应用中,都要求天线能在较宽的频率范围内有效的工作。通常,当天线的相对带宽达百分之十几以上时,则称之为宽频带天线。对于天线上的电流分布为驻波分布的线天线,限制其工作频带的主要因素通常是它的阻抗特性,即在宽频带天线的输入阻抗随频率变化很大,理论分析与实验均说明这种天线的线径及形状对天线的带宽有明显的影响。可以将偶极天线的臂改成椎体而变成双锥天线如图所示,双锥天线具有很宽的工作带宽。
更多推荐



所有评论(0)