LLC输出滤波电容选择
LLC输出滤波电容选取方法
·
一、滤波电容电流波形分析
经全波或全桥整流后的电流波形为:

假设输出电容足够大,使得交流成分完全流过滤波电容,则直流成分流过电阻负载。
根据电容的电荷平衡,在变换器稳定工作期间,滤波电容在一个周期内电荷守恒。
因此,流过滤波电容电流的平均值为零,则,流过负载电流的平均值等于全波整流电流的平均值。

因此,流过滤波电容电流波形与全波整流波形相似。
| 全波整流电流波形 | 滤波电容电流波形 | |
| 电流峰值 | ipeak | ipeak - io |
| 电流谷值 | 0 | -io |
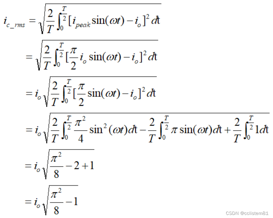
二、滤波电容电流有效值计算公式推导
假设全波整流电流峰值为ipeak,则输出电流平均值为io:

滤波电容电流有效值为ic_rms:

三、电容选择
从两个角度考虑,一是要满足输出电压纹波的要求,二是要满足电流有效值的要求。
1、对于上述计算得到的电容电流有效值,可能单个电容能够允许流过的电流有效值达不到那么大,那就需要选择多个电容并联了。
2、已知最大可允许输出电压纹波Vo_pk_pk,输出电流平均值Io,或全波/全桥整流后的电流波形峰值Irect_peak,则滤波电容的最大允许ESR为:

四、参考
LLC谐振变换器输出滤波电容有效值计算公式推导
TI—SLUP263—Designing an LLC Resonant Half-Bridge Power Converter.pdf
更多推荐


所有评论(0)