不等分功率分配器设计概要
最初的不等分Wilkinson 文章题为《Split Tee Power Divider》,由 Parad 和 Moynihan 于 1965 年 1 月发表在 IEEE Transactions on Microwave Theory and Techniques 上。这篇文章在许多后续著作中被引用,包括 Harlan Howe 的Stripline Circuit Design和波扎尔的微波工
microwaves101
文章目录
前言
最初的不等分Wilkinson 文章题为《Split Tee Power Divider》,由 Parad 和 Moynihan 于 1965 年 1 月发表在 IEEE Transactions on Microwave Theory and Techniques 上。这篇文章在许多后续著作中被引用,包括 Harlan Howe 的Stripline Circuit Design和波扎尔的微波工程。
一、不等分功率分配器
下面将在文章中,简单的通过一组奇异方程计算不等功分器。更简单的如下所示(第二个添加了输入变压器)。

下面是更改了论文中的术语
然后使用以下方程就可以计算啦

二、自由的za
上述的方法提供了良好的带宽,但是带宽也许可以换取更可实现的阻抗,这个应该交由设计师自己决定,在图中呢两个臂的阻抗必须并联以提供阻抗z0

由于从每个臂来看,输入节点的电压是相同的,因此功率分配与电流分配成正比,而电流分配则与从臂来看的阻抗za’和zb’成反比:

所以:

将(2B)代入(1)并求解za’和zb’,就可以得到:

注意到za’和zb’是两级变压器za与zc级联以及zb与zd级联的函数:

重新排列为:

当从公共端口供电时,隔离电阻器两端电压必须为0,为了实现这一点,必须通过功分器的za和zb维持阻抗比:

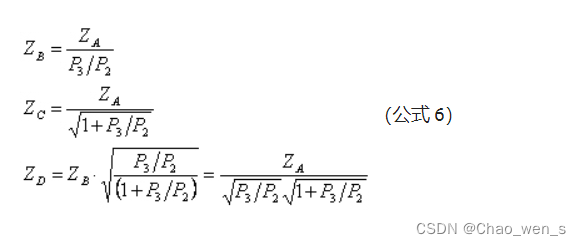
从(4B)和(5)我们现在有三个方程和四个未知数,我们选择za作为自变量并求解zb、zc、zd:

最后,我们需要计算负载电阻,注意在奇数模式下,入射到端口2的功率必须看到与z0匹配的阻抗,并且入射到端口3的功率也必须看到与z0匹配的阻抗:

所以:

有了(6)和(7)我们就完成了不等分威尔金森的解决方案,现在我们可以看看当我们选择不同的za值时的阻抗值。一个不等分功分器,它将三分之二的能量分配到2端口,三分之一能量分配到3端口。正常计算za=51.5Ω,zb阻抗非常高有103Ω。我们通过改变za=40Ω时,四根线阻抗范围现在是32.7到80Ω,这样在实际中更容易实现。

总结
以上就是今天的内容,记录一下设计不等分功分器时的一种方法,希望可以对大家有所帮助。
更多推荐



所有评论(0)