哈尔滨工业大学信号与系统期末复习(一)
哈工大信号与系统期末复习(一)
·
第一章
知识点1 时变、因果、线性性判断(重要‼️)
判断线性性
例题

判断时变性
例题

判断因果性
只要看响应是否在激励出现之后,即输出(响应)是不是利用的只是在此刻之前的输入(激励),如果是,那么就是因果系统,否则就不是。
综合例题:

知识点2 典型连续时间信号时域描述
1、矩形脉冲信号

2、正弦信号 对正弦函数进行积分或者微分后,仍然为同频率的正弦函数,知识相位变化
3、指数信号


4、抽样信号
图形为:

性质如下:

5、高斯函数
图像同正态分布曲线,突出特点为其傅立叶变化仍为高斯函数。
知识点3 信号分析基本原理
方法分为时域分析法和变换域分析法
时域分析法
将信号分解为基本信号加权和的形式![]()
若 (t,nT)为冲激信号或阶跃信号,可以把任何信号 f(0)近似地表示为基本信号加权和的形式,系数C(nT)是原信号f(t)在nT时刻的幅值。

变换域分析法
若 (t,nT)为三角函数基或者指数函数基,那么就可以吧信号分解为在基函数集上的投影。
注意⚠️吉布斯效应指的是将具有不连续点的周期函数(如矩形脉冲)进行傅立叶级数展开后,选取有限项进行合成。当选取的项数越多,在所合成的波形中出现的峰起越靠近原信号的不连续点。
例如:

知识点4 奇异信号相关性质
分类:单位阶跃信号和单位冲击信号
一、单位阶跃信号


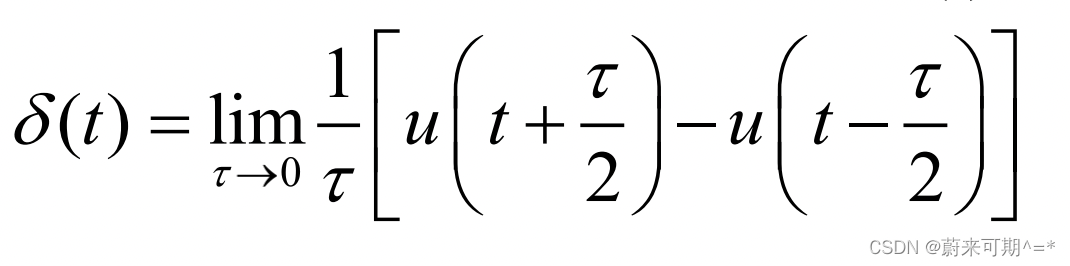
二、单位冲击信号


两种奇异信号的关系:
单位冲击偶(奇函数)--(积分)-->单位冲击函数(偶函数)--(积分)-->单位阶跃函数
知识点5 正交函数基
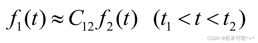
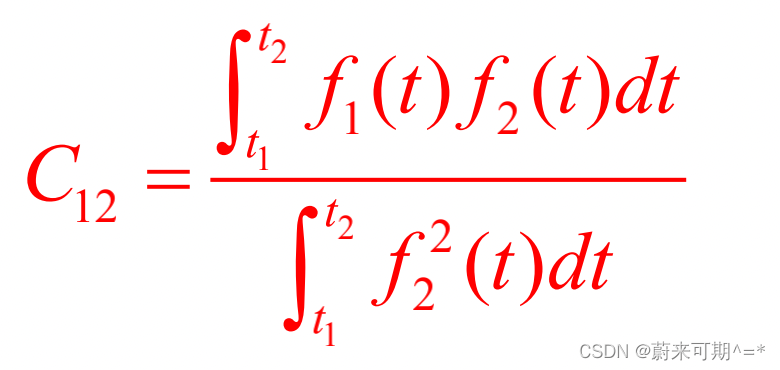
结论:设使用f2(t)的组合近似表示f1(t)


正交性判断:
典型例题:

帕塞瓦尔公式:
信号的尺度变换问题
先缩放再平移比较方便。
信号的卷积、 响应求解...
敬请期待
码字不易,还请点赞支持
更多推荐


所有评论(0)