word公式编号及换行对齐
虽然word公式编号可以通过调整排版的方式实现,如利用3x1表格、制表位等,但这种方式终归是通过间接的方式对编辑好的公式进行调整,本文介绍的方式则是直接利用公式编辑器的功能达成编号目的。同样的,公式序号发生改变后,可以采用更新域的方式自动更新引用序号。这样,当公式排序发生变化时,主要选择全文或者对应区域,右键点击。但是,如果要对齐的符号不同,这种方法则行不通。接下来,光标停靠在文中需要引用公式的地
Word公式编号
虽然word公式编号可以通过调整排版的方式实现,如利用3x1表格、制表位等,但这种方式终归是通过间接的方式对编辑好的公式进行调整,本文介绍的方式则是直接利用公式编辑器的功能达成编号目的。
-
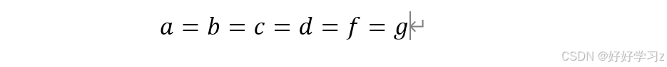
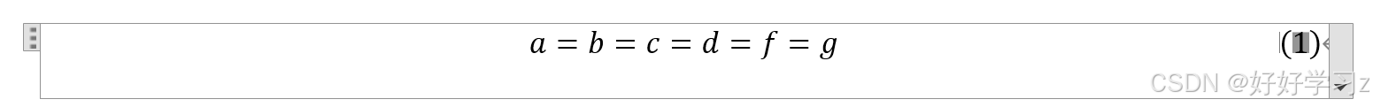
首先,输入你的公式,如:

-
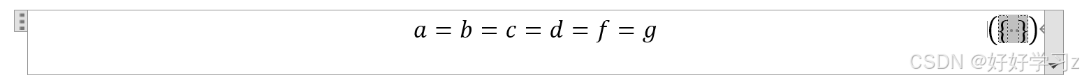
然后,在公式末尾输入
#(),接着按下换行,即会出现编号框:
-
这样,即可在编号框中输入对应的公式序号。
当然,虽然直接输入序号的方式最简单,但是倘若序号发生变动,更改起来就比较麻烦。那么有没有自动更新序号的方法呢?
本文介绍一种通过域代码的方式实现序号自动更新的设置方法:
-
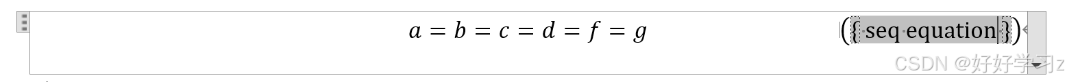
光标停靠在序号框中,键盘按下
ctrl+F9,会在序号框中插入一个域代码模块:
-
在域代码模块中输入
seq equation:
-
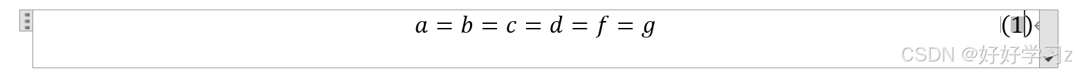
键盘按下
F9,域代码会转换成公式序号:
-
这样,当公式排序发生变化时,主要选择全文或者对应区域,右键点击
更新域即可实现公式序号更新。
对于正文中的公式序号引用,可以采用设置书签以及交叉引用的方式实现文内超链接以及引用更新:
-
首先,光标选中公式序号:

**注意,是选中!不是停靠在旁边!**可以看到这张图和前面那张图中序号1的背景深浅不一样。
-
选项卡点击
插入 -> 书签,输入想设置的书签名,然后点击添加:
-
接下来,光标停靠在文中需要引用公式的地方,选项卡点击
插入(或引用) -> 交叉引用,选择对应公式,引用内容选择书签文字:
-
这样,当在文中引用序号的位置处按下
ctrl+鼠标左键即可跳转至对应公式处。同样的,公式序号发生改变后,可以采用更新域的方式自动更新引用序号。
公式换行后对齐
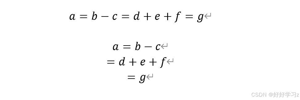
当我们输入一个较长的公式时,或者必须对公式进行换行时,如果在公式中直接按下换行,会发现不同行的公式通常无法实现美观的对齐,如:
此时,我们可以通过同时选中多行公式,右键,选择对齐点,实现对齐:
对齐后效果:
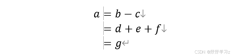
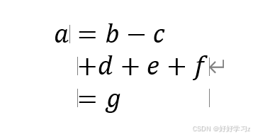
但是,如果要对齐的符号不同,这种方法则行不通。例如,我需要对齐=和+:
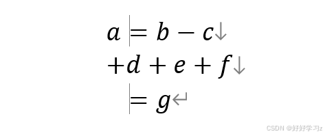
因此,为了更灵活地实现公式对齐,我们需要自定义对齐点:
-
首先,输入完整公式,然后在末尾输入
#并按下换行。这样的目的是为了让word将这个公式识别为一个整体; -
在公式需要换行的位置按下换行;
-
在想要对齐的符号处输入
&,此时可以看到对应位置多了一条竖线,在每一行设置完毕后会自动对齐到这条竖线上:
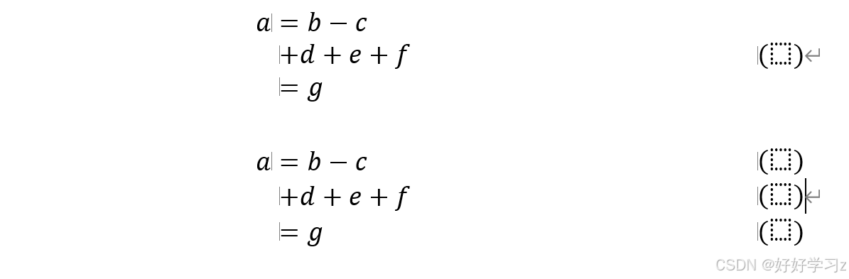
之后,我们可以为整个公式设置一个序号,或者分行设置不同序号,如:
更细节的操作可以右键公式,选择线性,查看具体的细节:
更多的内容可以参考这两篇博客:
更多推荐


所有评论(0)