MATLAB图像处理:图像傅里叶变换与频率域滤波详解
图像频域分析是理解图像全局特征的重要方法,广泛应用于去噪、边缘检测、压缩等领域。本文将通过 傅里叶变换的基本原理、频谱分析 和 频率域滤波方法,结合 MATLAB 实现示例,系统讲解频域处理的核心技术。
·
图像频域分析是理解图像全局特征的重要方法,广泛应用于去噪、边缘检测、压缩等领域。本文将通过 傅里叶变换的基本原理、频谱分析 和 频率域滤波方法,结合 MATLAB 实现示例,系统讲解频域处理的核心技术。
1. 傅里叶变换与图像频域表示
傅里叶变换(Fourier Transform)将图像从 空间域 映射到 频率域,将像素强度变化分解为不同频率的正弦波分量。图像中的高频信号对应边缘/细节,低频信号对应平滑区域。
1.1 二维离散傅里叶变换(2D-DFT)
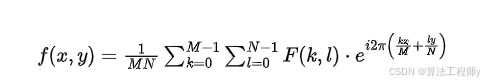
图像的二维离散傅里叶变换公式为:

逆变换公式为:

- 物理意义:图像中的每个点 的明暗变化由不同频率的分量叠加而成。
1.2 MATLAB中图像FFT的实现
img = im2double(imread('cameraman.tif')); % 读取图像并归一化
F = fft2(img); % 计算傅里叶变换
F_shift = fftshift(F); % 将低频移到频谱中心
% 可视化频谱(需对幅度取对数)
spectrum = log(1 + abs(F_shift));
figure;
subplot(121), imshow(img), title('原始图像');
subplot(122), imshow(spectrum, []), title('频率域幅度谱');

运行结果:
- 原始图像的频谱中心为低频区域,边缘为高频成分(图像边缘和噪声)。
- 明亮区域表示对应频率的能量较强。
2. 频率域滤波方法
频率域滤波通过设计 滤波器传递函数,选择性地增强或抑制特定频率分量。
2.1 低通滤波(去除高频噪声)
- 原理:保留低频信号,截断高频成分(如图像模糊化)。
- 理想低通滤波器(ILPF):
- D0为截止频率半径,D(u,v) 为频率点(u,v) 到中心的距离。
% 生成理想低通滤波器
[M, N] = size(img);
D0 = 30; % 截止半径
u = 0:(M-1);
v = 0:(N-1);
[V, U] = meshgrid(v - N/2, u - M/2); % 坐标偏移至中心
D = sqrt(U.^2 + V.^2); % 计算距离矩阵
H = double(D <= D0); % 理想低通滤波器
% 应用滤波器
G_shift = F_shift .* H; % 频域相乘
G = ifftshift(G_shift); % 移回原始象限
g = real(ifft2(G)); % 反变换并取实部
figure;
imshow(g, []), title('理想低通滤波结果');

输出效果:图像边缘模糊,高频噪声被抑制,但产生振铃效应。
2.2 高斯低通滤波(减少振铃效应)
传递函数:![]()
呈现平滑过渡特性,避免理想滤波器的陡峭截止。
H_gaussian = exp(-(D.^2) / (2 * D0^2));
G_shift_gauss = F_shift .* H_gaussian;
G_gauss = ifftshift(G_shift_gauss);
g_gauss = real(ifft2(G_gauss));
figure; imshow(g_gauss, []), title('高斯低通滤波结果');
效果对比:高斯低通滤波结果更平滑,无明显振铃效应。

2.3 高通滤波(边缘增强)
- 原理:抑制低频,保留高频(突出边缘和细节)。
- 理想高通滤波器:

H_highpass = 1 - H; % 基于低通滤波器生成高通
G_shift_high = F_shift .* H_highpass;
G_high = ifftshift(G_shift_high);
g_high = real(ifft2(G_high));
figure; imshow(g_high, []), title('理想高通滤波结果');

输出分析:图像背景变暗,边缘轮廓被增强。
3. 实际应用案例
案例1:周期性条纹噪声去除
使用 带阻滤波器滤除特定频率的干扰。
% 生成频域带有竖直条纹噪声的图像
noise_pattern = sin(2*pi*50*(0:N-1)/N); % 50Hz周期性噪声
noisy_img = img + repmat(noise_pattern, M, 1);
F_noisy = fftshift(fft2(noisy_img));
% 设计带阻滤波器(抑制竖直条纹)
D0_band = 5; % 阻带宽度
center_freq = 50; % 噪声频率对应的位置
H_bandstop = 1 - exp(-(abs(V - center_freq).^2) / (2*D0_band^2));
% 应用带阻滤波
G_shift_band = F_noisy .* H_bandstop;
G_band = ifftshift(G_shift_band);
g_band = real(ifft2(G_band));
montage({noisy_img, g_band}, 'Size', [1 2]);

案例2:图像锐化(高频增强)
利用高通滤波结合原图的加权叠加:
lambda = 0.8; % 增强系数
sharpened_img = img + lambda * g_high;
sharpened_img = imadjust(sharpened_img); % 对比度调整
figure; imshow(sharpened_img);

4. 关键问题与解决技巧
问题1:频谱中心为什么是低频?
- 回答:图像能量主要集中在低频区域(如平滑背景),FFT后的频谱中心化(
fftshift)便于直观分析。
问题2:相位信息的重要性
- 相位决定图像结构,仅修改幅度谱会导致失真。保留原始相位可实现更好的反变换效果。
问题3:如何避免振铃效应?
- 方法:
- 选择平滑过渡的滤波器(如高斯滤波而非理想滤波)。
- 对图像进行边缘填充(如对称填充
'symmetric')后再滤波。
问题4:频率域滤波与空间域卷积的等价性
- 依据:卷积定理(时域卷积 = 频域相乘)。
5. 总结与对比
| 方法 | 作用 | MATLAB核心函数 | 适用场景 |
|---|---|---|---|
| 理想低通滤波 | 去除高频噪声 | fft2 + 频域乘法 |
快速去噪(产生振铃) |
| 高斯低通滤波 | 平滑图像,保留边缘 | fspecial('gaussian') |
自然图像模糊处理 |
| 理想高通滤波 | 增强边缘轮廓 | 频域滤波器设计 | 医学图像增强 |
| 带阻滤波 | 抑制周期性噪声 | 自定义模板 | 条纹/波纹噪声去除 |
更多推荐



所有评论(0)