层次分析法原理和matlab代码实现
笔记来自清风老师的数学建模系列课程,课程链接:层次分析法层次分析法例题,IMMC2020https://blog.csdn.net/yanyanwenmeng/article/details/1049074121. 指标选择途径(1)题目背景(2)中国知网、百度学术、谷歌学术等地方搜索相关文献,查找指标(3)搜索网站推荐:虫部落https://search.chongbul...
笔记来自清风老师的数学建模系列课程,课程链接:层次分析法
层次分析法例题,IMMC2020 https://blog.csdn.net/yanyanwenmeng/article/details/104907412
1. 指标选择途径
(1)题目背景
(2)中国知网、百度学术、谷歌学术等地方搜索相关文献,查找指标
(3)搜索网站推荐:虫部落https://search.chongbuluo.com/
(4)其他搜索途径,优先级:谷歌搜索、微信搜索、知乎搜索
指标选择一定要有依据,并且要说明为什么要选这些指标以及指标代表的含义。
2. 层次分析法的引出

比如要确定景色、花费等五个指标的权重,该如何确定呢?
如果一次性考虑五个指标的关系,往往考虑不周
【解决办法】两个两个指标之间进行比较,最终根据两两比较的结果来推算出权重。——层次分析法的思想
3. 层次分析法的思想


比如:如果花费比景色略微重要,则左下角单位格可以填2。

同理可以得到全部的判断矩阵:

【注意】层次分析法的判断矩阵(上面这张表)实际需要给专家填写。

4. 判断矩阵不一致问题
4.1 不一致矩阵举例

4.2 一致矩阵需要满足的关系
一致矩阵需要满足下面的关系:

4.3 一致矩阵的例子

比如红色框的内容和黄色框的内容是成2倍的关系的。按照两列之间对比也是成倍数的关系。
4.4 一致矩阵的概念

【注意】 不一定要达到绝对的一致矩阵,只需要一致性不要偏差太大,不然矛盾很多,我们填写的判断矩阵就没有任何意义了。
如何判断一致性偏差是否在允许接受的范围内呢?——一致性检验
5. 一致性检验
5.1 一致性检验的原理
【原理】检验我们构造的判断矩阵和一致矩阵是否有太大的差别。
下面是两个一致矩阵:

满足一致矩阵的充要条件:

黄色框表示第2、3……n行的值和第一行成倍数关系(也可以定义为列与列之间成比例)。
秩的解释:https://www.zhihu.com/question/21605094
https://blog.csdn.net/edward_zcl/article/details/90177159
总结:秩相当于解方程组时有用的方程数。
特征值的解释:matlab编程基础——基于层次分析法


比如第一个表格求最大特征值matlab代码:
A = [1 2 4; 1/2 1 2; 1/4 1/2 1];
eig(A)%求每一行的特征值,共有3个

发现最大特征值为3。

当矩阵不一致时:

(黄色框为最大特征值)发现最大特征值是大于3的。即最大特征值>n,且判断矩阵越不一致时,最大特征值与n相差越大。
5.2 一致性检验的步骤


【注意】当一致性检验通过后才可计算权重,如果一致性检验通不过,则需要重新调整判断矩阵。
6. 权重计算
6.1 一致矩阵计算权重

也可以按照第二列或者第三列的数据进行计算。权重计算完后需要归一化处理。
6.2 判断矩阵计算权重
由于判断矩阵不一定为一致矩阵,所以它的各行(列)之间不一定成比例,因此,计算权重时需要利用每一列的数据把权重计算出来,最后利用三种方法求权重即可。
比如下面这个判断矩阵(不是一致矩阵,因为各行不成比例)

计算出每一列的权重:

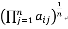
6.2.1 算术平均法求权重

数学公式:

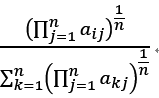
6.2.2 几何平均法求权重

几何平均法求权重也有三步:
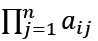
第一步:将A的元素按照行相乘得到一个新的列向量![]()
|
景色 |
苏杭 |
北戴河 |
桂林 |
按行相乘 |
|
苏杭 |
1 |
2 |
5 |
1*2*5=10 |
|
北戴河 |
1/2 |
1 |
2 |
1/2*1*2=1 |
|
桂林 |
1/5 |
1/2 |
1 |
1/5*1/2*1=1/10 |
第二步:将新的向量的每个分量开n次方 
|
景色 |
苏杭 |
北戴河 |
桂林 |
按行相乘 |
开3次方 |
|
苏杭 |
1 |
2 |
5 |
10 |
10^(1/3)=2.1544 |
|
北戴河 |
1/2 |
1 |
2 |
1 |
1^(1/3)=1 |
|
桂林 |
1/5 |
1/2 |
1 |
1/10 |
(1/10)^(1/3)=0.4642 |
第三步:对该列向量进行归一化即可得到权重向量 
|
景色 |
苏杭 |
北戴河 |
桂林 |
按行相乘 |
开3次方 |
归一化 |
|
苏杭 |
1 |
2 |
5 |
10 |
2.1544 |
0.5954 |
|
北戴河 |
1/2 |
1 |
2 |
1 |
1 |
0.2764 |
|
桂林 |
1/5 |
1/2 |
1 |
1/10 |
0.4642 |
0.1283 |
sum=10^(1/3)+1^(1/3)+(1/10)^(1/3)
10^(1/3)/sum= 0.5954 1^(1/3)/sum=0.2764 (1/10)^(1/3)/sum=0.1283
6.2.3 特征值法求权重(用的最多,建议使用这个)
一致矩阵求权重

判断矩阵求权重

matlab求解:
A = [1 2 5; 1/2 1 2; 1/5 1/2 1];
[V D] = eig(A)

最大特征值为3.0055,对应的特征向量为[-0.8902 -0.4132 -0.1918]
CI = (3.0055-3)/2
CR = CI/0.52

计算步骤:

CR = 0.0053 < 0.1 ,说明此矩阵的一致性可以接受。
求权重:
V = [-0.8902 -0.4132 -0.1918]
S = sum(V)
G = [V(1,1)/S V(1,2)/S V(1,3)/S]%归一化


excel中进行计算每个城市的得分(需要用“$”符号锁定单元格):


7. 求权重matlab代码
%% 注意:在论文写作中,应该先对判断矩阵进行一致性检验,然后再计算权重,因为只有判断矩阵通过了一致性检验,其权重才是有意义的。
%% 在下面的代码中,我们先计算了权重,然后再进行了一致性检验,这是为了顺应计算过程,事实上在逻辑上是说不过去的。
%% 因此大家自己写论文中如果用到了层次分析法,一定要先对判断矩阵进行一致性检验。
%% 而且要说明的是,只有非一致矩阵的判断矩阵才需要进行一致性检验。
%% 如果你的判断矩阵本身就是一个一致矩阵,那么就没有必要进行一致性检验。
disp('请输入判断矩阵A')
A=input('A=');
[n,n] = size(A);
% % % % % % % % % % % % %方法1: 算术平均法求权重% % % % % % % % % % % % %
Sum_A = sum(A);
SUM_A = repmat(Sum_A,n,1);
Stand_A = A ./ SUM_A;
disp('算术平均法求权重的结果为:');
disp(sum(Stand_A,2)./n)
% % % % % % % % % % % % %方法2: 几何平均法求权重% % % % % % % % % % % % %
Prduct_A = prod(A,2);
Prduct_n_A = Prduct_A .^ (1/n);
disp('几何平均法求权重的结果为:');
disp(Prduct_n_A ./ sum(Prduct_n_A))
% % % % % % % % % % % % %方法3: 特征值法求权重% % % % % % % % % % % % %
[V,D] = eig(A);
Max_eig = max(max(D));%求最大特征值
[r,c]=find(D == Max_eig , 1);
disp('特征值法求权重的结果为:');
disp( V(:,c) ./ sum(V(:,c)) )
% % % % % % % % % % % % %下面是计算一致性比例CR的环节% % % % % % % % % % % % %
CI = (Max_eig - n) / (n-1);
RI=[0 0.0001 0.52 0.89 1.12 1.26 1.36 1.41 1.46 1.49 1.52 1.54 1.56 1.58 1.59]; %注意哦,这里的RI最多支持 n = 15
% 这里n=2时,一定是一致矩阵,所以CI = 0,我们为了避免分母为0,将这里的第二个元素改为了很接近0的正数
CR=CI/RI(n);
disp('一致性指标CI=');disp(CI);
disp('一致性比例CR=');disp(CR);
if CR<0.10
disp('因为CR<0.10,所以该判断矩阵A的一致性可以接受!');
else
disp('注意:CR >= 0.10,因此该判断矩阵A需要进行修改!');
end
特征值法求权重:要保证矩阵是逆矩阵。
%% 输入判断矩阵
clear;clc
disp('请输入判断矩阵A: ')
% A = input('判断矩阵A=')
A =[1 1 4 1/3 3;
1 1 4 1/3 3;
1/4 1/4 1 1/3 1/2;
3 3 3 1 3;
1/3 1/3 2 1/3 1]
% matlab矩阵有两种写法,可以直接写到一行:
% [1 1 4 1/3 3;1 1 4 1/3 3;1/4 1/4 1 1/3 1/2;3 3 3 1 3;1/3 1/3 2 1/3 1]
% 两行之间以分号结尾(最后一行的分号可加可不加),同行元素之间以空格(或者逗号)分开。
[n,n] = size(A) % 也可以写成n = size(A,1)
%% 方法3:特征值法求权重
% 第一步:求出矩阵A的最大特征值以及其对应的特征向量
[V,D] = eig(A) %V是特征向量, D是由特征值构成的对角矩阵(除了对角线元素外,其余位置元素全为0)
Max_eig = max(max(D)) %也可以写成max(D(:))哦~ 求最大特征值
% 那么怎么找到最大特征值所在的位置了? 需要用到find函数,它可以用来返回向量或者矩阵中不为0的元素的位置索引。
% 那么问题来了,我们要得到最大特征值的位置,就需要将包含所有特征值的这个对角矩阵D中,不等于最大特征值的位置全变为0
% 这时候可以用到矩阵与常数的大小判断运算
D == Max_eig
[r,c] = find(D == Max_eig , 1)
% 找到D中第一个与最大特征值相等的元素的位置,记录它的行和列。
% 第二步:对求出的特征向量进行归一化即可得到我们的权重
V(:,c)%未归一化的结果
disp('特征值法求权重的结果为:');
disp( V(:,c) ./ sum(V(:,c)) )
% 我们先根据上面找到的最大特征值的列数c找到对应的特征向量,然后再进行标准化。
%% 计算一致性比例CR
CI = (Max_eig - n) / (n-1);
RI=[0 0 0.52 0.89 1.12 1.26 1.36 1.41 1.46 1.49 1.52 1.54 1.56 1.58 1.59]; %注意哦,这里的RI最多支持 n = 15
CR=CI/RI(n);
disp('一致性指标CI=');disp(CI);
disp('一致性比例CR=');disp(CR);
if CR<0.10
disp('因为CR < 0.10,所以该判断矩阵A的一致性可以接受!');
else
disp('注意:CR >= 0.10,因此该判断矩阵A需要进行修改!');
end

8. 评价类问题需要注意的细节

层次结构图:

9. 模型拓展
准则层可以有多层

准则层不一定对应全部方案。比如:可以为一对二,如下图所示

准则层不一定对应全部方案。比如:可以为一对一,如下图所示。

更多推荐



所有评论(0)