三阶交调失真概述及测试
关于半导体器件的非线性特性,在上一篇文章《1dB增益压缩点概述及测试》中对其产生的原因进行了简单的阐述,并介绍了1dB压缩点的定义及测试方法。表征非线性的参数除了P1dB外,另外一个非常重要的通用参数就是三阶交调失真(3rd-order IMD),这将是本文要重点介绍的内容。
关于半导体器件的非线性特性,在上一篇文章《1dB增益压缩点概述及测试》中对其产生的原因进行了简单的阐述,并介绍了1dB压缩点的定义及测试方法。表征非线性的参数除了P1dB外,另外一个非常重要的通用参数就是三阶交调失真(3rd-order IMD),这将是本文要重点介绍的内容。
任何半导体器件都具有一定的非线性,尤其在大信号输入情况下,非线性将更加明显。由于放大器具有一定的增益,这意味着放大器有着比其它半导体器件更加明显的非线性,这也是实际中为什么特别关注放大器非线性的原因。下文将以放大器为例,展开对交调失真及其测试方法的讨论。
1. 交调失真会带来哪些影响?
无线通信系统中,交调失真不仅会影响发射链路的性能,还会影响接收链路的性能。
对于发射链路,非线性最严重的部件非功率放大器莫属,当信号为宽带调制信号时,无论是在信号带宽内还是带宽外,都将会产生比较丰富的交调产物。带外的交调产物将会导致对其它信道的干扰,在通信上通常采用ACLR或者ACPR进行表征,称为邻道泄露比。带内的交调产物将会对信号本身造成干扰,恶化信噪比/ 信干比,通常采用噪声功率比NPR表征,这是卫星通信比较关注的参数。
对于接收链路,主要考虑的是前端低噪声放大器的交调失真,当在信号附近存在比较强的双音或多音干扰时,交调失真产物将会落入信号带内,从而恶化接收机的灵敏度。其中一种非常有针对性的测试项目就是手机“双音灵敏度”,即在相邻信道的位置上存在双音干扰时,测试此时的灵敏度。规范中定义了双音干扰的频点及幅度,要求灵敏度必须要满足一定的要求。这就要求射频前端LNA有比较优异的线性度!

图1. 交调失真落入带内从而造成直接干扰
综上所述,交调失真对无线通信的整个收发系统的性能有着非常重要的影响,在射频放大器的设计及调试中,非线性性能是不可忽视的考量因素。
2. 交调失真产生机制概述
当给放大器输入单音信号(即单频点信号) 时,放大器将输出基频及其谐波分量。当输入双音或多音信号时,放大器的非线性将导致不同频率之间进行组合而产生不同的频率成分,这些称为交调失真产物。
交调失真是如何产生的?
非线性电路的输出信号进行泰勒(Taylor) 级数展开如下:

为简便起见,下面考虑输入信号为等幅双音信号。令输入激励信号为
代入上式可得
将上式各个分项展开后发现,vout(t) 将包含如下三种类型的频率成分:
(1) ꞷ1和ꞷ2的基波及谐波;
(2) ꞷ1和ꞷ2 的组合频率:mꞷ1 ± nꞷ2 (m, n为正整数);
(3) DC分量。
上述第二种频率分量即为交调失真产物,m与n之和决定了交调产物的阶数。比如,4阶以内的交调失真包括:
3ꞷ1± ꞷ2:m=3,n=1,四阶交调产物;
3ꞷ2± ꞷ1:m=1,n=3,四阶交调产物;
2ꞷ2± 2ꞷ1:m=2,n=2,四阶交调产物;
2ꞷ1± ꞷ2:m=2,n=1,三阶交调产物;
2ꞷ2± ꞷ1:m=1,n=2,三阶交调产物;
ꞷ2± ꞷ1:m=1,n=1,二阶交调产物;
在众多非线性失真项中,从频谱上看,距离基频信号最近的是差频三阶交调分量:(2ꞷ1 - ꞷ2) 和(2ꞷ2 - ꞷ1)。在宽带通信系统中,它们是最容易对信号本身及邻道造成干扰的,而且在交调产物中,三阶交调的幅度又是相对较强的,因此,三阶交调是最受关注的失真项。通常所给出的有源器件的交调失真参数基本都是指三阶交调失真。
那么三阶交调失真是否只有泰勒级数展开中的三阶项产生呢?实际上,除了三阶项会产生外,五阶、七阶等奇数高阶项也可以产生,只是阶数越高,贡献越少。
为了便于定量分析,下表给出了泰勒级数展开后五阶项以内的基频及三阶交调失真的系数。
表1. 基频及三阶交调失真的系数(5阶项以内)
|
coefficient |
cos(2ꞷ1-ꞷ2)t |
cosꞷ1t |
cosꞷ2t |
cos(2ꞷ2-ꞷ1)t |
|
(cosꞷ1t+ cosꞷ2t)1 |
0 |
1 |
1 |
0 |
|
(cosꞷ1t+ cosꞷ2t)2 |
0 |
0 |
0 |
0 |
|
(cosꞷ1t+ cosꞷ2t)3 |
3/4 |
9/4 |
9/4 |
3/4 |
|
(cosꞷ1t+ cosꞷ2t)4 |
0 |
0 |
0 |
0 |
|
(cosꞷ1t+ cosꞷ2t)5 |
25/8 |
25/4 |
25/4 |
25/8 |
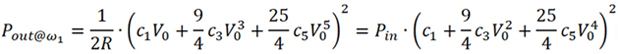
基频和三阶交调失真分量可分别写为

式中,“∑高阶项”是指5阶以上高阶项贡献的分量。阶数越高,常系数ci越小,为了便于分析,可将高次项忽略。
下面分别以ꞷ1 和(2ꞷ1 - ꞷ2) 两个频率信号为例,讨论其输出功率与输入功率之间的关系。
输入的基频信号功率为
输出的基频信号功率为
对数表示为
由公式可知,当输入信号较小时,基频信号的输出功率与输入功率呈现近似线性的关系。
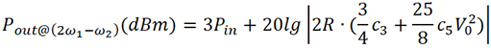
三阶交调失真功率为

对数表示为
在对数坐标系下,由上述公式可得如下结论:
(1) 无论是基频信号还是三阶交调失真,在放大器输出侧,功率随输入功率的变化都不是线性的;
(2) 当输入信号功率比较低时,c3V02→0,c5V02→0,c5V04→0,此时基频信号和三阶交调失真的输出功率随输入功率呈现为近似线性关系。这一点比较重要,因为在后面推导三阶交调点(IP3) 功率时需要基于这一近似线性关系;
(3) 在近似线性区域,随着输入功率的增加,三阶交调失真的功率将比基频分量的功率增加更快,前者增加的速度是后者的三倍,体现在输入、输出功率对数坐标系中,基频功率曲线斜率为1,而三阶交调功率曲线斜率为3,如图2所示;
(4) 在近似线性区域,由数学表达式可知,当输入功率较低时(通常远小于0dBm),三阶交调分量的功率要远小于基频信号功率;
(5) 随着输入功率的进一步增大,基频和三阶交调失真的输出功率曲线的非线性越来越明显,逐步呈现压缩状态。
图2. 非线性引起的基频及三阶交调失真产物的功率输出特性
非线性引起的三阶交调失真通常使用“三阶交调失真度(IMD3, 3rd order intermodulation distortion)”和“三阶交调点(IP3, 3rd order intercept point)”两个参数衡量,后者实际是三阶交调点对应的输入或者输出功率。
图2所示的功率输出特性曲线中,在输入功率较低时,基频和三阶交调失真的功率曲线均呈现近似线性关系,由于斜率不同,二者线性延长必然会存在交点,该交点即为三阶交调点IP3。当然,实际中不可能达到IP3对应的输出功率,IP3的引入只是为了在输入双音或者多音信号时,能够按照统一的方法衡量半导体器件的非线性特性。
三阶交调失真度IMD3 是如何定义的?
三阶交调分量与基频分量的功率比值定义为IMD3,使用对数表示为
进一步化简得
IMD3(dB)=2Pin+Res.
式中,余项Res.表达式如下
在近似线性区域,上述余项可以认为是一个常数,这意味着:输入功率每增加1dB,则IMD3将恶化2dB;反之,输入功率每降低1dB,则IMD3将改善2dB。如果超出近似线性区域,这种关系就不满足了!
IMD3与IP3功率之间有什么关系?
如前所述,IP3是指两条直线延长线的交点,如果要确定这个点,就需要基于这两条直线进行运算。两条直线的公式可以分别写为

二者的交点意味着两个信号的输出功率相同,假设IP3对应的输入、输出功率分别为IIP3和OIP3,代入上式为

二者相减可得
线性区域内,三阶交调失真度IMD3为
结合以上两个公式可得
式中,G为放大器的线性增益。
上式是计算IP3功率的重要依据,但是有个大前提:一定要在近似线性区域内测试IMD3,否则上述计算IP3功率的公式并不成立!
3. 如何测试三阶交调失真度及交调点功率?
IMD3及IP3的测试并不困难,但是测试中有些需要注意的点,处理不好就会影响测试结果的准确性。
三阶交调的测试,要求给待测件馈入等幅双音信号,双音频间距应按照待测件测试的要求进行设置,通常需要根据实际使用场景来选择合适的双音频点及频间距。对于IMD3的测试,双音幅度可大可小,但是如果要测试IP3,如上一节所述,幅度不能太大,必须要保证待测件工作在近似线性区域。

图3. 采用两台信号源测试三阶交调失真的连接示意图
测试时,可以使用两台信号源提供双音信号,这是三阶交调测试最常用的方法,可以提供相对比较纯净的双音信号。或者使用一台矢量源,通过基带侧编辑波形文件,从而由单个通道输出双音信号,这种方法产生的信号本身会有一定的三阶交调失真,因此只是将其作为一种备选方案,实在没有两台信号源时才使用这种方法。
图4. 采用单台矢量源测试三阶交调失真的连接示意图
图3和图4分别给出了采用两种双音产生方式时的三阶交调测试连接示意图,整个测试比较简单,使用频谱仪测试放大器输出的频谱,设置合适的参考电平、中心频率、Span及RBW等,显示出基频及三阶交调信号的频谱,使用Marker功能即可标定IMD3,并由此计算出IP3的功率值。目前市面上的中高端频谱仪基本都带有IMD3和IP3直接测试功能,测试更加方便。
下面分别从频谱仪和信号源两个方面介绍一下测试中需要特别注意的点。
(1) 频谱仪侧要特别注意,测试时不能使得频谱仪自身进入非线性而产生较强的三阶交调失真。测试中,频谱仪一定会产生交调失真,只是不能太强,否则会扰乱测试。
判定方法:增大频谱仪内部的前端衰减器,如果三阶交调分量变化不大,则可以忽略频谱仪产生的交调失真造成的影响。如果三阶交调分量变小,则意味着此时还需要进一步增大衰减度直到三阶交调分量变化不大。但是,使用衰减器的方式会降低IMD3的测试动态范围,必要时,可以考虑使用陷波器衰减基频信号,从而防止频谱仪产生较强的交调失真。
如果测试PA的三阶交调失真,在馈入频谱仪之前务必要使用合适功率容量的衰减器,保证不会对频谱仪造成损害,如果要实现比较高的测试动态,那就需要使用陷波器衰减基频信号。
(2) 信号源侧的注意事项主要有两点,其中一个就是双音信号幅度。
如果测试IMD3,对双音幅度是没有太高要求的,但是IP3的测试要求输入信号幅度不能太高,要保证放大器工作在近似线性的区域,建议双音信号幅度低于1dB增益压缩点输入功率Pin,1dB至少20dB。无论是测试IMD3,还是测试IP3,记录测试结果时一定要注明双音频间距及幅度!
判定方法:如果输入功率增加1dB,IMD3恶化2dB,则说明此时放大器依然工作在近似线性区域,可以计算IP3。
另一个需要注意的点是,采用图3所示的测试装置也可能在合路器输出侧就已经存在三阶交调产物。具体的原因与信号源的自动功率控制环路有关,后面有时间再详细介绍。简言之,由于合路器有限的端口隔离度,导致信号反向串入信号源,再经过ALC环路的作用,使得信号源本身输出了双音及交调失真信号。
建议测试前,先使用频谱仪测试双音信号,观测是否存在较强的三阶交调失真。
如何降低这种情况对测试带来的影响?
大部分信号源都支持手动关闭信号源的ALC功能,可以有效避免这种情况的发生。但是,关闭ALC功能后,同时也会降低输出功率的稳定度。
或者使用一个高隔离度的耦合器充当合路器,抑或在每台信号源的输出端分别连接一个衰减器,从而增加彼此之间的隔离度。
以上便是要给大家分享的内容,希望对大家有所帮助~~
END
来源:频谱分析系列:三阶交调失真概述及测试 - RFASK射频问问
关于RFASK射频问问
射频问问是在"微波射频网”系列原创技术专栏基础上升级打造的技术问答学习平台,主要围绕射频芯片、微波电路、天线、雷达、卫星等相关技术领域,致力于为无线通信、微波射频、天线、雷达等行业的工程师,提供优质、原创的技术问答、专栏文章、射频课程等学习内容。更多请访问:RFASK射频问问 - 射频技术研发服务平台 | 技术问答、专栏文章、射频课程
更多推荐


所有评论(0)