天线基础知识
学习记录
1 天线辐射原理
辐射:
-
指电磁场中的扰动从扰动源传播开去,该扰动由一个时变电流源产生,电流源伴随着变速电荷分布。
-
如果电荷被往返加速(即振荡),一个有规律的扰动就建立起来了,辐射也就持续。
-
辐射以与天线相距固定距离r处的功率密度S来定量表示。
2 天线性能参数
2.1 辐射方向图F(
)
-
简称方向图,给出了天线发射时离天线固定的距离上辐射随角度的变化。
-
r为常数,场只随
变化,中心在天线的一个球面上的变化
归一化:令最大值为1
2.2 方向性D
:表示天线辐射功率密度的峰值与辐射功率围绕天线均匀分布时的功率密度之比。
2.3 增益G
:是由于天线上的损耗而减小了的方向性。
2.4 极化
:当天线发射时,所发射的瞬态电场矢量随时间变化的轨迹图。
2.5 输入阻抗
:天线终端上电压与电流之比。
通常的目标是使天线的输入阻抗与所接传输线的特征阻抗相匹配。
2.6 带宽
:是一个频率范围,当天线的性能由一个或几个性能参数所衡量时,天线性能能在此频率范围内合格。
2.7 扫描
:辐射方向图在空间运动,在一个空间范围内扫描天线的主瓣。
通过机械运动(移动天线)或电子扫描(调节天线电流相位)实现。
3 天线分类
3.1 电小天线
天线结构尺寸远小于一个波长
3.2 谐振天线
半波振子
3.3宽带天线
3.4口径天线
无线电频段
4 电磁学基础
-
预备知识
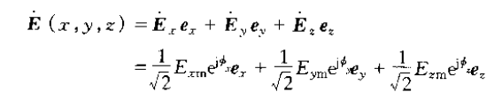
正弦电磁场:以一定频率做正弦变化的电磁场。(也称为时谐场)
复数(相量)表示如下:
其中
为电场的复数形式。(提出与时间相关的因子,取实部是欧拉公式展开保留cos部分)
对时间求导,相应复数形式乘以jw因子。
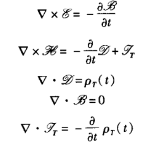
4.1 基本电磁场方程
四个Maxwell方程+一个电流连续性方程
上面复杂字母代表的时变函数,即
对正弦场,用相量表示为:
以上字母全为相量形式(不显示对时间的依赖)
总电流密度=传导电流(由外加电流感应产生)+外加电流
-
E、H为感兴趣的场,分别成为电场强度和磁场强度,单位为V/m、A/m。
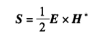
4.2 坡印廷矢量
E、H为峰值相量所以功率乘以1/2
为功率密度,单位w/m2
5 关于辐射问题的解
问题:假设电流分布J已知,来确定场E、H。
为了简化,引入标量位函数
和矢量位函数A。
利用maxwell方程代入得
旋度的散度为0
梯度的旋度为0
洛伦兹条件
因此得到位函数A后即可求得E和H。
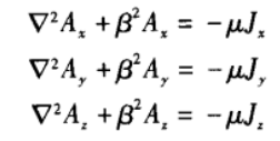
矢量位波动方程:
分解为
对于z向电流密度(点源响应的总和)
因此矢量位的解为
总结:
由J求得A→H、E
或者求得H后,由H求E
场点不在源区时,J=0
6 理想偶极子
概念:电尺寸小到满足
、幅度均匀的电流
-
电流元通常用于理想偶极子,作为实际天线电流的一小段。
-
任何天线都能分解成许多连续的电流丝,再细分为理想偶极子,通过所有理想偶极子的贡献总和来求得天线的场。
考虑一个中心在原点,沿z轴长
的电流元,有恒等的电流I
求得A为
化简后
运用上节方法求得E、H
如果
,去掉含有它的负指数项(远场:辐射场)
如果
,保留含有它的负指数项(近场:感应场)
7 辐射方向图
:是天线辐射(远场)特性的图像表达。
辐射场随离开天线的距离作反比变化,即1/r
7.1 线电流的辐射
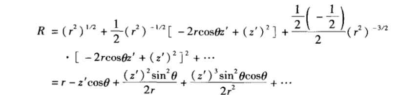
利用几何关系,换成球坐标,二项式展开得R
分母中近似
分子中近似
因此得到A
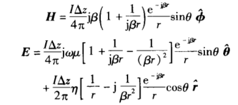
求得E、H(
)
7.2 一般源
因此辐射积分相位因子R的通用近似为
远场条件:
D为天线最大尺寸。
7.3 辐射场的推导步骤
-
求A
-
求E
-
求H
7.4 元因子和方向图因子
方向图归一化:
可以写成乘积:
g为元因子,f为方向图因子
元因子为该电流分布中无线小电流元的方向图。
方向图因子来自对电流的积分,且严格取决于电流的空间分布。
表示电流分布贡献辐射的积分效应,即当做许多电流元组成一样。
求A的积分式把电流元的远场贡献加起来,经过归一化,即产生方向图因子。
辐射方向图最强的部分,是由于天线不同部分发出的射线到达远场时该方向上比其他方向更加接近与同相。
更多推荐



所有评论(0)