教女朋友学时间序列
时间序列时间戳(timestamp)固定周期(period)时间间隔(interval)一、创建时间序列1.1 date_range可以指定开始时间与周期H:小时D:天M:月import pandas as pdimport numpy as np从2016-07-01开始,周期为10,间隔为3天,生成的时间序列为下:rng = pd.date_range(...

学习笔记
时间序列
- 时间戳(timestamp)
- 固定周期(period)
- 时间间隔(interval)

一、创建时间序列
1.1 date_range
- 可以指定开始时间与周期
- H:小时
- D:天
- M:月
import pandas as pd
import numpy as np
从2016-07-01开始,周期为10,间隔为3天,生成的时间序列为下:
rng = pd.date_range('2016-07-01', periods = 10, freq = '3D')
rng
DatetimeIndex(['2016-07-01', '2016-07-04', '2016-07-07', '2016-07-10',
'2016-07-13', '2016-07-16', '2016-07-19', '2016-07-22',
'2016-07-25', '2016-07-28'],
dtype='datetime64[ns]', freq='3D')
其中,起始日期也可以写成’2016 Jul 1’、‘7/1/2016’、‘1/7/2016’、‘2016-07-01’、'2016/07/01’中的任何一种形式:
# TIMES #2016 Jul 1 7/1/2016 1/7/2016 2016-07-01 2016/07/01
rng = pd.date_range('2016 Jul 1', periods = 10, freq = '3D')
rng
DatetimeIndex(['2016-07-01', '2016-07-04', '2016-07-07', '2016-07-10',
'2016-07-13', '2016-07-16', '2016-07-19', '2016-07-22',
'2016-07-25', '2016-07-28'],
dtype='datetime64[ns]', freq='3D')
在Series中,指定index,将时间作为索引,产生随机序列:
time=pd.Series(np.random.randn(20),
index=pd.date_range(dt.datetime(2016,1,1),periods=20))
print(time)
2016-01-01 -0.129379
2016-01-02 0.164480
2016-01-03 -0.639117
2016-01-04 -0.427224
2016-01-05 2.055133
2016-01-06 1.116075
2016-01-07 0.357426
2016-01-08 0.274249
2016-01-09 0.834405
2016-01-10 -0.005444
2016-01-11 -0.134409
2016-01-12 0.249318
2016-01-13 -0.297842
2016-01-14 -0.128514
2016-01-15 0.063690
2016-01-16 -2.246031
2016-01-17 0.359552
2016-01-18 0.383030
2016-01-19 0.402717
2016-01-20 -0.694068
Freq: D, dtype: float64
1.2 truncate过滤
过滤掉2016-1-10之前的数据:
time.truncate(before='2016-1-10')
2016-01-10 -0.005444
2016-01-11 -0.134409
2016-01-12 0.249318
2016-01-13 -0.297842
2016-01-14 -0.128514
2016-01-15 0.063690
2016-01-16 -2.246031
2016-01-17 0.359552
2016-01-18 0.383030
2016-01-19 0.402717
2016-01-20 -0.694068
Freq: D, dtype: float64
过滤掉2016-1-10之后的数据:
time.truncate(after='2016-1-10')
2016-01-01 -0.129379
2016-01-02 0.164480
2016-01-03 -0.639117
2016-01-04 -0.427224
2016-01-05 2.055133
2016-01-06 1.116075
2016-01-07 0.357426
2016-01-08 0.274249
2016-01-09 0.834405
2016-01-10 -0.005444
Freq: D, dtype: float64
通过时间索引,提取数据:
print(time['2016-01-15'])
0.063690487247
通过切片,将一段时间间隔的数据提取出来:
print(time['2016-01-15':'2016-01-20'])
2016-01-15 0.063690
2016-01-16 -2.246031
2016-01-17 0.359552
2016-01-18 0.383030
2016-01-19 0.402717
2016-01-20 -0.694068
Freq: D, dtype: float64
我们也可以指定起始时间和终止时间,产生时间序列:
data=pd.date_range('2010-01-01','2011-01-01',freq='M')
print(data)
DatetimeIndex(['2010-01-31', '2010-02-28', '2010-03-31', '2010-04-30',
'2010-05-31', '2010-06-30', '2010-07-31', '2010-08-31',
'2010-09-30', '2010-10-31', '2010-11-30', '2010-12-31'],
dtype='datetime64[ns]', freq='M')
参数freq中可以选的数值:

1.3 时间戳
pd.Timestamp('2016-07-10')
Timestamp('2016-07-10 00:00:00')
可以指定更多细节
pd.Timestamp('2016-07-10 10')
Timestamp('2016-07-10 10:00:00')
pd.Timestamp('2016-07-10 10:15')
Timestamp('2016-07-10 10:15:00')
How much detail can you add?
t = pd.Timestamp('2016-07-10 10:15')
1.4 时间区间
2016年的一月份:
pd.Period('2016-01')
Period('2016-01', 'M')
2016年1月1号:
pd.Period('2016-01-01')
Period('2016-01-01', 'D')
1.5 时间加减
TIME OFFSETS
产生一个一天的时间偏移量:
pd.Timedelta('1 day')
Timedelta('1 days 00:00:00')
得到2016-01-01 10:10的后一天时刻:
pd.Period('2016-01-01 10:10') + pd.Timedelta('1 day')
Period('2016-01-02 10:10', 'T')
时间戳加减:
pd.Timestamp('2016-01-01 10:10') + pd.Timedelta('1 day')
Timestamp('2016-01-02 10:10:00')
加15 ns:
pd.Timestamp('2016-01-01 10:10') + pd.Timedelta('15 ns')
Timestamp('2016-01-01 10:10:00.000000015')
在时间间隔刹参数中,我们既可以写成25H,也可以写成1D1H这种通俗的表达:
p1 = pd.period_range('2016-01-01 10:10', freq = '25H', periods = 10)
p2 = pd.period_range('2016-01-01 10:10', freq = '1D1H', periods = 10)
p1
PeriodIndex(['2016-01-01 10:00', '2016-01-02 11:00', '2016-01-03 12:00',
'2016-01-04 13:00', '2016-01-05 14:00', '2016-01-06 15:00',
'2016-01-07 16:00', '2016-01-08 17:00', '2016-01-09 18:00',
'2016-01-10 19:00'],
dtype='period[25H]', freq='25H')
p2
PeriodIndex(['2016-01-01 10:00', '2016-01-02 11:00', '2016-01-03 12:00',
'2016-01-04 13:00', '2016-01-05 14:00', '2016-01-06 15:00',
'2016-01-07 16:00', '2016-01-08 17:00', '2016-01-09 18:00',
'2016-01-10 19:00'],
dtype='period[25H]', freq='25H')
1.6 指定索引
rng = pd.date_range('2016 Jul 1', periods = 10, freq = 'D')
rng
pd.Series(range(len(rng)), index = rng)
2016-07-01 0
2016-07-02 1
2016-07-03 2
2016-07-04 3
2016-07-05 4
2016-07-06 5
2016-07-07 6
2016-07-08 7
2016-07-09 8
2016-07-10 9
Freq: D, dtype: int32
构造任意的Series结构时间序列数据:
periods = [pd.Period('2016-01'), pd.Period('2016-02'), pd.Period('2016-03')]
ts = pd.Series(np.random.randn(len(periods)), index = periods)
ts
2016-01 -1.668569
2016-02 0.547351
2016-03 2.537183
Freq: M, dtype: float64
type(ts.index)
pandas.core.indexes.period.PeriodIndex
1.7 时间戳和时间周期可以转换
产生时间周期:
ts = pd.Series(range(10), pd.date_range('07-10-16 8:00', periods = 10, freq = 'H'))
ts
2016-07-10 08:00:00 0
2016-07-10 09:00:00 1
2016-07-10 10:00:00 2
2016-07-10 11:00:00 3
2016-07-10 12:00:00 4
2016-07-10 13:00:00 5
2016-07-10 14:00:00 6
2016-07-10 15:00:00 7
2016-07-10 16:00:00 8
2016-07-10 17:00:00 9
Freq: H, dtype: int32
将时间周期转化为时间戳:
ts_period = ts.to_period()
ts_period
2016-07-10 08:00 0
2016-07-10 09:00 1
2016-07-10 10:00 2
2016-07-10 11:00 3
2016-07-10 12:00 4
2016-07-10 13:00 5
2016-07-10 14:00 6
2016-07-10 15:00 7
2016-07-10 16:00 8
2016-07-10 17:00 9
Freq: H, dtype: int32
时间周期和时间戳区别:
对时间周期的切片操作:
ts_period['2016-07-10 08:30':'2016-07-10 11:45']
2016-07-10 08:00 0
2016-07-10 09:00 1
2016-07-10 10:00 2
2016-07-10 11:00 3
Freq: H, dtype: int32
对时间戳的切片操作结果:
ts['2016-07-10 08:30':'2016-07-10 11:45']
2016-07-10 09:00:00 1
2016-07-10 10:00:00 2
2016-07-10 11:00:00 3
Freq: H, dtype: int32
二、数据重采样
- 时间数据由一个频率转换到另一个频率
- 降采样:例如将365天数据变为12个月数据
- 升采样:相反
import pandas as pd
import numpy as np
从1/1/2011开始,时间间隔为1天,产生90个时间数据:
rng = pd.date_range('1/1/2011', periods=90, freq='D')
ts = pd.Series(np.random.randn(len(rng)), index=rng)
ts.head()
2011-01-01 -1.547635
2011-01-02 0.726423
2011-01-03 0.098872
2011-01-04 -0.513126
2011-01-05 0.308996
Freq: D, dtype: float64
2.1 降采样
将以上数据降采样为月数据,观察每个月数据之和:
ts.resample('M').sum()
2011-01-31 1.218451
2011-02-28 -8.133711
2011-03-31 -1.648535
Freq: M, dtype: float64
降采样为3天,并求和:
ts.resample('3D').sum()
2011-01-01 0.045643
2011-01-04 -2.255206
2011-01-07 0.571142
2011-01-10 0.835032
2011-01-13 -0.396766
2011-01-16 -1.156253
2011-01-19 -1.286884
2011-01-22 2.883952
2011-01-25 1.566908
2011-01-28 1.435563
2011-01-31 0.311565
2011-02-03 -2.541235
2011-02-06 0.317075
2011-02-09 1.598877
2011-02-12 -1.950509
2011-02-15 2.928312
2011-02-18 -0.733715
2011-02-21 1.674817
2011-02-24 -2.078872
2011-02-27 2.172320
2011-03-02 -2.022104
2011-03-05 -0.070356
2011-03-08 1.276671
2011-03-11 -2.835132
2011-03-14 -1.384113
2011-03-17 1.517565
2011-03-20 -0.550406
2011-03-23 0.773430
2011-03-26 2.244319
2011-03-29 2.951082
Freq: 3D, dtype: float64
计算降采样后数据均值:
day3Ts = ts.resample('3D').mean()
day3Ts
2011-01-01 -0.240780
2011-01-04 0.140980
2011-01-07 -0.041360
2011-01-10 -0.175434
2011-01-13 -0.348187
2011-01-16 -0.098252
2011-01-19 0.675025
2011-01-22 0.368577
2011-01-25 0.081462
2011-01-28 0.284014
2011-01-31 -0.217979
2011-02-03 -0.413876
2011-02-06 -0.801936
2011-02-09 -0.030326
2011-02-12 -0.139332
2011-02-15 -0.288397
2011-02-18 -0.842207
2011-02-21 0.689252
2011-02-24 -0.915056
2011-02-27 -0.164817
2011-03-02 0.273717
2011-03-05 -0.123553
2011-03-08 -0.402591
2011-03-11 0.115541
2011-03-14 -0.401329
2011-03-17 0.687958
2011-03-20 0.674243
2011-03-23 -1.724097
2011-03-26 0.313001
2011-03-29 0.211141
Freq: 3D, dtype: float64
2.2 升采样
直接升采样是有问题的,因为有数据缺失:
print(day3Ts.resample('D').asfreq())
2011-01-01 -0.240780
2011-01-02 NaN
2011-01-03 NaN
2011-01-04 0.140980
2011-01-05 NaN
2011-01-06 NaN
2011-01-07 -0.041360
2011-01-08 NaN
2011-01-09 NaN
2011-01-10 -0.175434
2011-01-11 NaN
2011-01-12 NaN
2011-01-13 -0.348187
2011-01-14 NaN
2011-01-15 NaN
2011-01-16 -0.098252
2011-01-17 NaN
2011-01-18 NaN
2011-01-19 0.675025
2011-01-20 NaN
2011-01-21 NaN
2011-01-22 0.368577
2011-01-23 NaN
2011-01-24 NaN
2011-01-25 0.081462
2011-01-26 NaN
2011-01-27 NaN
2011-01-28 0.284014
2011-01-29 NaN
2011-01-30 NaN
...
2011-02-28 NaN
2011-03-01 NaN
2011-03-02 0.273717
2011-03-03 NaN
2011-03-04 NaN
2011-03-05 -0.123553
2011-03-06 NaN
2011-03-07 NaN
2011-03-08 -0.402591
2011-03-09 NaN
2011-03-10 NaN
2011-03-11 0.115541
2011-03-12 NaN
2011-03-13 NaN
2011-03-14 -0.401329
2011-03-15 NaN
2011-03-16 NaN
2011-03-17 0.687958
2011-03-18 NaN
2011-03-19 NaN
2011-03-20 0.674243
2011-03-21 NaN
2011-03-22 NaN
2011-03-23 -1.724097
2011-03-24 NaN
2011-03-25 NaN
2011-03-26 0.313001
2011-03-27 NaN
2011-03-28 NaN
2011-03-29 0.211141
Freq: D, Length: 88, dtype: float64
这时,我们就要用到下面所讲的插值方法:
2.3 插值方法
- ffill 空值取前面的值
- bfill 空值取后面的值
- interpolate 线性取值
使用ffill插值:
day3Ts.resample('D').ffill(1)
2011-01-01 -0.240780
2011-01-02 -0.240780
2011-01-03 NaN
2011-01-04 0.140980
2011-01-05 0.140980
2011-01-06 NaN
2011-01-07 -0.041360
2011-01-08 -0.041360
2011-01-09 NaN
2011-01-10 -0.175434
2011-01-11 -0.175434
2011-01-12 NaN
2011-01-13 -0.348187
2011-01-14 -0.348187
2011-01-15 NaN
2011-01-16 -0.098252
2011-01-17 -0.098252
2011-01-18 NaN
2011-01-19 0.675025
2011-01-20 0.675025
2011-01-21 NaN
2011-01-22 0.368577
2011-01-23 0.368577
2011-01-24 NaN
2011-01-25 0.081462
2011-01-26 0.081462
2011-01-27 NaN
2011-01-28 0.284014
2011-01-29 0.284014
2011-01-30 NaN
...
2011-02-28 -0.164817
2011-03-01 NaN
2011-03-02 0.273717
2011-03-03 0.273717
2011-03-04 NaN
2011-03-05 -0.123553
2011-03-06 -0.123553
2011-03-07 NaN
2011-03-08 -0.402591
2011-03-09 -0.402591
2011-03-10 NaN
2011-03-11 0.115541
2011-03-12 0.115541
2011-03-13 NaN
2011-03-14 -0.401329
2011-03-15 -0.401329
2011-03-16 NaN
2011-03-17 0.687958
2011-03-18 0.687958
2011-03-19 NaN
2011-03-20 0.674243
2011-03-21 0.674243
2011-03-22 NaN
2011-03-23 -1.724097
2011-03-24 -1.724097
2011-03-25 NaN
2011-03-26 0.313001
2011-03-27 0.313001
2011-03-28 NaN
2011-03-29 0.211141
Freq: D, Length: 88, dtype: float64
使用bfill插值:
day3Ts.resample('D').bfill(1)
2011-01-01 0.015214
2011-01-02 NaN
2011-01-03 -0.751735
2011-01-04 -0.751735
2011-01-05 NaN
2011-01-06 0.190381
2011-01-07 0.190381
2011-01-08 NaN
2011-01-09 0.278344
2011-01-10 0.278344
2011-01-11 NaN
2011-01-12 -0.132255
2011-01-13 -0.132255
2011-01-14 NaN
2011-01-15 -0.385418
2011-01-16 -0.385418
2011-01-17 NaN
2011-01-18 -0.428961
2011-01-19 -0.428961
2011-01-20 NaN
2011-01-21 0.961317
2011-01-22 0.961317
2011-01-23 NaN
2011-01-24 0.522303
2011-01-25 0.522303
2011-01-26 NaN
2011-01-27 0.478521
2011-01-28 0.478521
2011-01-29 NaN
2011-01-30 0.103855
...
2011-02-28 NaN
2011-03-01 -0.674035
2011-03-02 -0.674035
2011-03-03 NaN
2011-03-04 -0.023452
2011-03-05 -0.023452
2011-03-06 NaN
2011-03-07 0.425557
2011-03-08 0.425557
2011-03-09 NaN
2011-03-10 -0.945044
2011-03-11 -0.945044
2011-03-12 NaN
2011-03-13 -0.461371
2011-03-14 -0.461371
2011-03-15 NaN
2011-03-16 0.505855
2011-03-17 0.505855
2011-03-18 NaN
2011-03-19 -0.183469
2011-03-20 -0.183469
2011-03-21 NaN
2011-03-22 0.257810
2011-03-23 0.257810
2011-03-24 NaN
2011-03-25 0.748106
2011-03-26 0.748106
2011-03-27 NaN
2011-03-28 0.983694
2011-03-29 0.983694
Freq: D, Length: 88, dtype: float64
使用interpolate线性取值:
day3Ts.resample('D').interpolate('linear')
2011-01-01 0.015214
2011-01-02 -0.240435
2011-01-03 -0.496085
2011-01-04 -0.751735
2011-01-05 -0.437697
2011-01-06 -0.123658
2011-01-07 0.190381
2011-01-08 0.219702
2011-01-09 0.249023
2011-01-10 0.278344
2011-01-11 0.141478
2011-01-12 0.004611
2011-01-13 -0.132255
2011-01-14 -0.216643
2011-01-15 -0.301030
2011-01-16 -0.385418
2011-01-17 -0.399932
2011-01-18 -0.414447
2011-01-19 -0.428961
2011-01-20 0.034465
2011-01-21 0.497891
2011-01-22 0.961317
2011-01-23 0.814979
2011-01-24 0.668641
2011-01-25 0.522303
2011-01-26 0.507709
2011-01-27 0.493115
2011-01-28 0.478521
2011-01-29 0.353632
2011-01-30 0.228744
...
2011-02-28 0.258060
2011-03-01 -0.207988
2011-03-02 -0.674035
2011-03-03 -0.457174
2011-03-04 -0.240313
2011-03-05 -0.023452
2011-03-06 0.126218
2011-03-07 0.275887
2011-03-08 0.425557
2011-03-09 -0.031310
2011-03-10 -0.488177
2011-03-11 -0.945044
2011-03-12 -0.783820
2011-03-13 -0.622595
2011-03-14 -0.461371
2011-03-15 -0.138962
2011-03-16 0.183446
2011-03-17 0.505855
2011-03-18 0.276080
2011-03-19 0.046306
2011-03-20 -0.183469
2011-03-21 -0.036376
2011-03-22 0.110717
2011-03-23 0.257810
2011-03-24 0.421242
2011-03-25 0.584674
2011-03-26 0.748106
2011-03-27 0.826636
2011-03-28 0.905165
2011-03-29 0.983694
Freq: D, Length: 88, dtype: float64
三、Pandas滑动窗口
为了提升数据的准确性,将某个点的取值扩大到包含这个点的一段区间,用区间来进行判断,这个区间就是窗口。例如想使用2011年1月1日的一个数据,单取这个时间点的数据当然是可行的,但是太过绝对,有没有更好的办法呢?可以选取2010年12月16日到2011年1月15日,通过求均值来评估1月1日这个点的值,2010-12-16到2011-1-15就是一个窗口,窗口的长度window=30.
移动窗口就是窗口向一端滑行,默认是从右往左,每次滑行并不是区间整块的滑行,而是一个单位一个单位的滑行。例如窗口2010-12-16到2011-1-15,下一个窗口并不是2011-1-15到2011-2-15,而是2010-12-17到2011-1-16(假设数据的截取是以天为单位),整体向右移动一个单位,而不是一个窗口。这样统计的每个值始终都是30单位的均值。
也就是我们在统计学中的移动平均法。
%matplotlib inline
import matplotlib.pylab
import numpy as np
import pandas as pd
指定六百个数据的序列:
df = pd.Series(np.random.randn(600), index = pd.date_range('7/1/2016', freq = 'D', periods = 600))
df.head()
2016-07-01 0.490170
2016-07-02 -0.381746
2016-07-03 0.765849
2016-07-04 -0.513293
2016-07-05 -2.284776
Freq: D, dtype: float64
指定该序列一个单位长度为10的滑块
r = df.rolling(window = 10)
r
Rolling [window=10,center=False,axis=0]
输出滑块内的平均值,窗口中的值从覆盖整个窗口的位置开始产生,在此之前即为NaN,举例如下:窗口大小为10,前9个都不足够为一个一个窗口的长度,因此都无法取值。
#r.max, r.median, r.std, r.skew, r.sum, r.var
print(r.mean())
2016-07-01 NaN
2016-07-02 NaN
2016-07-03 NaN
2016-07-04 NaN
2016-07-05 NaN
2016-07-06 NaN
2016-07-07 NaN
2016-07-08 NaN
2016-07-09 NaN
2016-07-10 -0.731681
2016-07-11 -0.741944
2016-07-12 -0.841750
2016-07-13 -0.824005
2016-07-14 -0.760116
2016-07-15 -0.607035
2016-07-16 -0.669249
2016-07-17 -0.440359
2016-07-18 -0.291586
2016-07-19 -0.226081
2016-07-20 0.099771
2016-07-21 -0.201909
2016-07-22 -0.136984
2016-07-23 -0.219586
2016-07-24 -0.175016
2016-07-25 -0.107554
2016-07-26 -0.065601
2016-07-27 -0.220129
2016-07-28 -0.085098
2016-07-29 -0.114384
2016-07-30 -0.363240
...
2018-01-22 0.076906
2018-01-23 0.133465
2018-01-24 0.301593
2018-01-25 0.147387
2018-01-26 0.046669
2018-01-27 0.211237
2018-01-28 0.305431
2018-01-29 0.263660
2018-01-30 0.050792
2018-01-31 0.035849
2018-02-01 0.106649
2018-02-02 0.231164
2018-02-03 -0.015120
2018-02-04 0.133317
2018-02-05 0.304489
2018-02-06 0.123427
2018-02-07 -0.133892
2018-02-08 -0.184399
2018-02-09 -0.080139
2018-02-10 -0.211622
2018-02-11 -0.177756
2018-02-12 -0.027888
2018-02-13 0.244256
2018-02-14 0.329209
2018-02-15 0.167602
2018-02-16 0.167141
2018-02-17 0.369997
2018-02-18 0.276210
2018-02-19 0.297868
2018-02-20 0.479243
Freq: D, Length: 600, dtype: float64
通过画图库来看原始序列与滑动窗口产生序列的关系图,原始数据用红色表示,移动平均后数据用蓝色点表示:
import matplotlib.pyplot as plt
%matplotlib inline
plt.figure(figsize=(15, 5))
df.plot(style='r--')
df.rolling(window=10).mean().plot(style='b')
<matplotlib.axes._subplots.AxesSubplot at 0x249627fb6d8>

可以看到,原始值浮动差异较大,而移动平均后数值较为平稳。
四、数据平稳性与差分法
平稳性:
- 平稳性就是要求经由样本时间序列所得到的拟合曲线在未来的一段期间内仍能顺着现有的形态“惯性”地延续下去
- 平稳性要求序列的均值和方差不发生明显变化
严平稳与弱平稳:
- 严平稳:严平稳表示的分布不随时间的改变而改变。
如:白噪声(正态),无论怎么取,都是期望为0,方差为1 - 弱平稳:期望与相关系数(依赖性)不变
未来某时刻的t的值Xt就要依赖于它的过去信息,所以需要依赖性
差分法:时间序列在t与t-1时刻的差值:

导入包,设置绘图风格:
%load_ext autoreload
%autoreload 2
%matplotlib inline
%config InlineBackend.figure_format='retina'
from __future__ import absolute_import, division, print_function
# http://www.lfd.uci.edu/~gohlke/pythonlibs/#xgboost
import sys
import os
import pandas as pd
import numpy as np
# # Remote Data Access
# import pandas_datareader.data as web
# import datetime
# # reference: https://pandas-datareader.readthedocs.io/en/latest/remote_data.html
# TSA from Statsmodels
import statsmodels.api as sm
import statsmodels.formula.api as smf
import statsmodels.tsa.api as smt
# Display and Plotting
import matplotlib.pylab as plt
import seaborn as sns
pd.set_option('display.float_format', lambda x: '%.5f' % x) # pandas
np.set_printoptions(precision=5, suppress=True) # numpy
pd.set_option('display.max_columns', 100)
pd.set_option('display.max_rows', 100)
# seaborn plotting style
sns.set(style='ticks', context='poster')
The autoreload extension is already loaded. To reload it, use:
%reload_ext autoreload
Read the data:美国消费者信心指数
Sentiment = 'sentiment.csv'
Sentiment = pd.read_csv(Sentiment, index_col=0, parse_dates=[0])
Sentiment.head()
.dataframe thead th {
text-align: left;
}
.dataframe tbody tr th {
vertical-align: top;
}
| UMCSENT | |
|---|---|
| DATE | |
| 2000-01-01 | 112.00000 |
| 2000-02-01 | 111.30000 |
| 2000-03-01 | 107.10000 |
| 2000-04-01 | 109.20000 |
| 2000-05-01 | 110.70000 |
Select the series from 2005 - 2016:
sentiment_short = Sentiment.loc['2005':'2016']
绘制消费者信心指数随着时间的变化情况:
sentiment_short.plot(figsize=(12,8))
plt.legend(bbox_to_anchor=(1.25, 0.5))
plt.title("Consumer Sentiment")
sns.despine()

可见数据变化较不稳定,我们来做一阶差分和二阶差分:
sentiment_short['diff_1'] = sentiment_short['UMCSENT'].diff(1)
sentiment_short['diff_2'] = sentiment_short['diff_1'].diff(1)
sentiment_short.plot(subplots=True, figsize=(18, 12))
D:\Anaconda\lib\site-packages\ipykernel_launcher.py:1: SettingWithCopyWarning:
A value is trying to be set on a copy of a slice from a DataFrame.
Try using .loc[row_indexer,col_indexer] = value instead
See the caveats in the documentation: http://pandas.pydata.org/pandas-docs/stable/indexing.html#indexing-view-versus-copy
"""Entry point for launching an IPython kernel.
D:\Anaconda\lib\site-packages\ipykernel_launcher.py:3: SettingWithCopyWarning:
A value is trying to be set on a copy of a slice from a DataFrame.
Try using .loc[row_indexer,col_indexer] = value instead
See the caveats in the documentation: http://pandas.pydata.org/pandas-docs/stable/indexing.html#indexing-view-versus-copy
This is separate from the ipykernel package so we can avoid doing imports until
array([<matplotlib.axes._subplots.AxesSubplot object at 0x000000000D2BAB70>,
<matplotlib.axes._subplots.AxesSubplot object at 0x000000000D29FF28>,
<matplotlib.axes._subplots.AxesSubplot object at 0x000000000D2F2EF0>], dtype=object)

五、ARIMA模型
5.1 AR模型
自回归模型(AR):
- 描述当前值与历史值之间的关系,用变量自身的历史时间数据对自身进行预测
- 自回归模型必须满足平稳性的要求
- p阶自回归过程的公式定义:

是当前值 是常数项 P 是阶数 是自相关系数 是误差
自回归模型的限制:
- 自回归模型是用自身的数据来进行预测
- 必须具有平稳性
- 必须具有自相关性,如果自相关系数(φi)小于0.5,则不宜采用
- 自回归只适用于预测与自身前期相关的现象
5.2 MA模型
移动平均模型(MA)
- 移动平均模型关注的是自回归模型中的误差项的累加
- q阶自回归过程的公式定义:

- 移动平均法能有效地消除预测中的随机波动
5.3 ARMA模型
自回归移动平均模型(ARMA)
- 自回归与移动平均的结合
- 公式定义:

5.4 ARIMA模型
ARIMA(p,d,q)模型全称为差分自回归移动平均模型
(Autoregressive Integrated Moving Average Model,简记ARIMA)
- AR是自回归, p为自回归项; MA为移动平均q为移动平均项数,d为时间序列成为平稳时所做的差分次数,一般做一阶差分就够了,很少有做二阶差分的
- 原理:将非平稳时间序列转化为平稳时间序列然后将因变量仅对它的滞后值以及随机误差项的现值和滞后值进行回归所建立的模型
5.5 相关函数评估(选择p、q值)方法
1.自相关函数ACF(autocorrelation function)
- 有序的随机变量序列与其自身相比较自相关函数反映了同一序列在不同时序的取值之间的相关性
- 公式:

- Pk的取值范围为[-1,1]
2.偏自相关函数(PACF)(partial autocorrelation function)
- 对于一个平稳AR§模型,求出滞后k自相关系数p(k)时实际上得到并不是x(t)与x(t-k)之间单纯的相关关系
- x(t)同时还会受到中间k-1个随机变量x(t-1)、x(t-2)、……、x(t-k+1)的影响而这k-1个随机变量又都和x(t-k)具有相关关系
所以自相关系数p(k)里实际掺杂了其他变量对x(t)与x(t-k)的影响 - 剔除了中间k-1个随机变量x(t-1)、x(t-2)、……、x(t-k+1)的干扰之后x(t-k)对x(t)影响的相关程度。
- ACF还包含了其他变量的影响而偏自相关系数PACF是严格这两个变量之间的相关性
3.ARIMA(p,d,q)阶数确定:

- 截尾:落在置信区间内(95%的点都符合该规则)
ARIMA(p,d,q)阶数确定:
- AR§ 看PACF
- MA(q) 看ACF

4.利用AIC与BIC准则: 选择参数p、q
- AIC:赤池信息准则(Akaike Information Criterion,AIC)
??? = 2? − 2ln(?) - BIC:贝叶斯信息准则(Bayesian Information Criterion,BIC)
??? = ??? ? − 2ln(?) - k为模型参数个数,n为样本数量,L为似然函数
5.模型残差检验:
- ARIMA模型的残差是否是平均值为0且方差为常数的正态分布
- QQ图:线性即正态分布
5.5 ARIMA建模流程:
- 将序列平稳(差分法确定d)
- p和q阶数确定:ACF与PACF
- ARIMA(p,d,q)
六、实战分析
6.1 数据’sentiment.csv’ARIMA模型
接上面数据定义:
del sentiment_short['diff_2']
del sentiment_short['diff_1']
sentiment_short.head()
print (type(sentiment_short))
<class 'pandas.core.frame.DataFrame'>
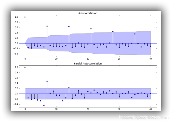
绘制ACF图、PACF图确定p、q值,其中阴影部分代表p、q的置信区间:
fig = plt.figure(figsize=(12,8))
ax1 = fig.add_subplot(211)
fig = sm.graphics.tsa.plot_acf(sentiment_short, lags=20,ax=ax1)
ax1.xaxis.set_ticks_position('bottom')
fig.tight_layout();
ax2 = fig.add_subplot(212)
fig = sm.graphics.tsa.plot_pacf(sentiment_short, lags=20, ax=ax2)
ax2.xaxis.set_ticks_position('bottom')
fig.tight_layout();

使用散点图绘制原始数据和k阶差分数据之间的关系,并求出相关系数:
lags=9
ncols=3
nrows=int(np.ceil(lags/ncols))
fig, axes = plt.subplots(ncols=ncols, nrows=nrows, figsize=(4*ncols, 4*nrows))
for ax, lag in zip(axes.flat, np.arange(1,lags+1, 1)):
lag_str = 't-{}'.format(lag)
X = (pd.concat([sentiment_short, sentiment_short.shift(-lag)], axis=1,
keys=['y'] + [lag_str]).dropna())
X.plot(ax=ax, kind='scatter', y='y', x=lag_str);
corr = X.corr().as_matrix()[0][1]
ax.set_ylabel('Original')
ax.set_title('Lag: {} (corr={:.2f})'.format(lag_str, corr));
ax.set_aspect('equal');
sns.despine();
fig.tight_layout();

在下图,分别绘制原始数据的残差图、直方图、ACF图和PACF图:
def tsplot(y, lags=None, title='', figsize=(14, 8)):
fig = plt.figure(figsize=figsize)
layout = (2, 2)
ts_ax = plt.subplot2grid(layout, (0, 0))
hist_ax = plt.subplot2grid(layout, (0, 1))
acf_ax = plt.subplot2grid(layout, (1, 0))
pacf_ax = plt.subplot2grid(layout, (1, 1))
y.plot(ax=ts_ax)
ts_ax.set_title(title)
y.plot(ax=hist_ax, kind='hist', bins=25)
hist_ax.set_title('Histogram')
smt.graphics.plot_acf(y, lags=lags, ax=acf_ax)
smt.graphics.plot_pacf(y, lags=lags, ax=pacf_ax)
[ax.set_xlim(0) for ax in [acf_ax, pacf_ax]]
sns.despine()
plt.tight_layout()
return ts_ax, acf_ax, pacf_ax
tsplot(sentiment_short, title='Consumer Sentiment', lags=36);

6.2 数据“series1.csv”ARIMA模型
导入包,载入新数据文件:
%load_ext autoreload
%autoreload 2
%matplotlib inline
%config InlineBackend.figure_format='retina'
from __future__ import absolute_import, division, print_function
import sys
import os
import pandas as pd
import numpy as np
# TSA from Statsmodels
import statsmodels.api as sm
import statsmodels.formula.api as smf
import statsmodels.tsa.api as smt
# Display and Plotting
import matplotlib.pylab as plt
import seaborn as sns
pd.set_option('display.float_format', lambda x: '%.5f' % x) # pandas
np.set_printoptions(precision=5, suppress=True) # numpy
pd.set_option('display.max_columns', 100)
pd.set_option('display.max_rows', 100)
# seaborn plotting style
sns.set(style='ticks', context='poster')
D:\Anaconda\lib\site-packages\statsmodels\compat\pandas.py:56: FutureWarning: The pandas.core.datetools module is deprecated and will be removed in a future version. Please use the pandas.tseries module instead.
from pandas.core import datetools
filename_ts = 'series1.csv'
ts_df = pd.read_csv(filename_ts, index_col=0, parse_dates=[0])
n_sample = ts_df.shape[0]
查看数据:
print(ts_df.shape)
print(ts_df.head())
(120, 1)
value
2006-06-01 0.21507
2006-07-01 1.14225
2006-08-01 0.08077
2006-09-01 -0.73952
2006-10-01 0.53552
Create a training sample and testing sample before analyzing the series
n_train=int(0.95*n_sample)+1
n_forecast=n_sample-n_train
#ts_df
ts_train = ts_df.iloc[:n_train]['value']
ts_test = ts_df.iloc[n_train:]['value']
print(ts_train.shape)
print(ts_test.shape)
print("Training Series:", "\n", ts_train.tail(), "\n")
print("Testing Series:", "\n", ts_test.head())
(115,)
(5,)
Training Series:
2015-08-01 0.60371
2015-09-01 -1.27372
2015-10-01 -0.93284
2015-11-01 0.08552
2015-12-01 1.20534
Name: value, dtype: float64
Testing Series:
2016-01-01 2.16411
2016-02-01 0.95226
2016-03-01 0.36485
2016-04-01 -2.26487
2016-05-01 -2.38168
Name: value, dtype: float64
分别绘制原始数据的残差图、直方图、ACF图和PACF图:
def tsplot(y, lags=None, title='', figsize=(14, 8)):
fig = plt.figure(figsize=figsize)
layout = (2, 2)
ts_ax = plt.subplot2grid(layout, (0, 0))
hist_ax = plt.subplot2grid(layout, (0, 1))
acf_ax = plt.subplot2grid(layout, (1, 0))
pacf_ax = plt.subplot2grid(layout, (1, 1))
y.plot(ax=ts_ax)
ts_ax.set_title(title)
y.plot(ax=hist_ax, kind='hist', bins=25)
hist_ax.set_title('Histogram')
smt.graphics.plot_acf(y, lags=lags, ax=acf_ax)
smt.graphics.plot_pacf(y, lags=lags, ax=pacf_ax)
[ax.set_xlim(0) for ax in [acf_ax, pacf_ax]]
sns.despine()
fig.tight_layout()
return ts_ax, acf_ax, pacf_ax
tsplot(ts_train, title='A Given Training Series', lags=20);

Model Estimation
Fit the model
arima200 = sm.tsa.SARIMAX(ts_train, order=(2,0,0))
model_results = arima200.fit()
计算AIC、BIC值:
import itertools
p_min = 0
d_min = 0
q_min = 0
p_max = 4
d_max = 0
q_max = 4
# Initialize a DataFrame to store the results
results_bic = pd.DataFrame(index=['AR{}'.format(i) for i in range(p_min,p_max+1)],
columns=['MA{}'.format(i) for i in range(q_min,q_max+1)])
for p,d,q in itertools.product(range(p_min,p_max+1),
range(d_min,d_max+1),
range(q_min,q_max+1)):
if p==0 and d==0 and q==0:
results_bic.loc['AR{}'.format(p), 'MA{}'.format(q)] = np.nan
continue
try:
model = sm.tsa.SARIMAX(ts_train, order=(p, d, q),
#enforce_stationarity=False,
#enforce_invertibility=False,
)
results = model.fit()
results_bic.loc['AR{}'.format(p), 'MA{}'.format(q)] = results.bic
except:
continue
results_bic = results_bic[results_bic.columns].astype(float)
D:\Anaconda\lib\site-packages\statsmodels\tsa\statespace\tools.py:405: RuntimeWarning: invalid value encountered in sqrt
x = r / ((1 - r**2)**0.5)
D:\Anaconda\lib\site-packages\statsmodels\base\model.py:496: ConvergenceWarning: Maximum Likelihood optimization failed to converge. Check mle_retvals
"Check mle_retvals", ConvergenceWarning)
D:\Anaconda\lib\site-packages\statsmodels\tools\numdiff.py:96: RuntimeWarning: invalid value encountered in maximum
h = EPS**(1. / s) * np.maximum(np.abs(x), 0.1)
D:\Anaconda\lib\site-packages\statsmodels\base\model.py:496: ConvergenceWarning: Maximum Likelihood optimization failed to converge. Check mle_retvals
"Check mle_retvals", ConvergenceWarning)
D:\Anaconda\lib\site-packages\statsmodels\base\model.py:496: ConvergenceWarning: Maximum Likelihood optimization failed to converge. Check mle_retvals
"Check mle_retvals", ConvergenceWarning)
D:\Anaconda\lib\site-packages\statsmodels\base\model.py:496: ConvergenceWarning: Maximum Likelihood optimization failed to converge. Check mle_retvals
"Check mle_retvals", ConvergenceWarning)
D:\Anaconda\lib\site-packages\statsmodels\base\model.py:496: ConvergenceWarning: Maximum Likelihood optimization failed to converge. Check mle_retvals
"Check mle_retvals", ConvergenceWarning)
D:\Anaconda\lib\site-packages\statsmodels\base\model.py:496: ConvergenceWarning: Maximum Likelihood optimization failed to converge. Check mle_retvals
"Check mle_retvals", ConvergenceWarning)
D:\Anaconda\lib\site-packages\statsmodels\base\model.py:496: ConvergenceWarning: Maximum Likelihood optimization failed to converge. Check mle_retvals
"Check mle_retvals", ConvergenceWarning)
绘制AIC、BIC值热图:
fig, ax = plt.subplots(figsize=(10, 8))
ax = sns.heatmap(results_bic,
mask=results_bic.isnull(),
ax=ax,
annot=True,
fmt='.2f',
);
ax.set_title('BIC');

Alternative model selection method, limited to only searching AR and MA parameters
train_results = sm.tsa.arma_order_select_ic(ts_train, ic=['aic', 'bic'], trend='nc', max_ar=4, max_ma=4)
print('AIC', train_results.aic_min_order)
print('BIC', train_results.bic_min_order)
D:\Anaconda\lib\site-packages\statsmodels\base\model.py:473: HessianInversionWarning: Inverting hessian failed, no bse or cov_params available
'available', HessianInversionWarning)
D:\Anaconda\lib\site-packages\statsmodels\base\model.py:496: ConvergenceWarning: Maximum Likelihood optimization failed to converge. Check mle_retvals
"Check mle_retvals", ConvergenceWarning)
D:\Anaconda\lib\site-packages\statsmodels\base\model.py:496: ConvergenceWarning: Maximum Likelihood optimization failed to converge. Check mle_retvals
"Check mle_retvals", ConvergenceWarning)
AIC (4, 2)
BIC (1, 1)
D:\Anaconda\lib\site-packages\statsmodels\base\model.py:496: ConvergenceWarning: Maximum Likelihood optimization failed to converge. Check mle_retvals
"Check mle_retvals", ConvergenceWarning)
残差分析 正态分布 QQ图线性
model_results.plot_diagnostics(figsize=(16, 12));
D:\Anaconda\lib\site-packages\matplotlib\axes\_axes.py:6462: UserWarning: The 'normed' kwarg is deprecated, and has been replaced by the 'density' kwarg.
warnings.warn("The 'normed' kwarg is deprecated, and has been "

七、维基百科词条EDA
import pandas as pd
import numpy as np
import matplotlib.pyplot as plt
import re
%matplotlib inline
附:数据文件
提取码:ryno
读取关于维基百科点击量的数据:
train = pd.read_csv('train_1.csv').fillna(0)
train.head()
.dataframe thead th {
text-align: left;
}
.dataframe tbody tr th {
vertical-align: top;
}
| Page | 2015-07-01 | 2015-07-02 | 2015-07-03 | 2015-07-04 | 2015-07-05 | 2015-07-06 | 2015-07-07 | 2015-07-08 | 2015-07-09 | ... | 2016-12-22 | 2016-12-23 | 2016-12-24 | 2016-12-25 | 2016-12-26 | 2016-12-27 | 2016-12-28 | 2016-12-29 | 2016-12-30 | 2016-12-31 | |
|---|---|---|---|---|---|---|---|---|---|---|---|---|---|---|---|---|---|---|---|---|---|
| 0 | 2NE1_zh.wikipedia.org_all-access_spider | 18.0 | 11.0 | 5.0 | 13.0 | 14.0 | 9.0 | 9.0 | 22.0 | 26.0 | ... | 32.0 | 63.0 | 15.0 | 26.0 | 14.0 | 20.0 | 22.0 | 19.0 | 18.0 | 20.0 |
| 1 | 2PM_zh.wikipedia.org_all-access_spider | 11.0 | 14.0 | 15.0 | 18.0 | 11.0 | 13.0 | 22.0 | 11.0 | 10.0 | ... | 17.0 | 42.0 | 28.0 | 15.0 | 9.0 | 30.0 | 52.0 | 45.0 | 26.0 | 20.0 |
| 2 | 3C_zh.wikipedia.org_all-access_spider | 1.0 | 0.0 | 1.0 | 1.0 | 0.0 | 4.0 | 0.0 | 3.0 | 4.0 | ... | 3.0 | 1.0 | 1.0 | 7.0 | 4.0 | 4.0 | 6.0 | 3.0 | 4.0 | 17.0 |
| 3 | 4minute_zh.wikipedia.org_all-access_spider | 35.0 | 13.0 | 10.0 | 94.0 | 4.0 | 26.0 | 14.0 | 9.0 | 11.0 | ... | 32.0 | 10.0 | 26.0 | 27.0 | 16.0 | 11.0 | 17.0 | 19.0 | 10.0 | 11.0 |
| 4 | 52_Hz_I_Love_You_zh.wikipedia.org_all-access_s... | 0.0 | 0.0 | 0.0 | 0.0 | 0.0 | 0.0 | 0.0 | 0.0 | 0.0 | ... | 48.0 | 9.0 | 25.0 | 13.0 | 3.0 | 11.0 | 27.0 | 13.0 | 36.0 | 10.0 |
5 rows × 551 columns
其中,左边一列是词条,右边的是随着时间变化的点击率。假若我们要通过这些记录数据预测以后时间的点击量,接下来先分析数据,对数据进行一些可视化展示:
查看数据信息:
train.info()
<class 'pandas.core.frame.DataFrame'>
RangeIndex: 145063 entries, 0 to 145062
Columns: 551 entries, Page to 2016-12-31
dtypes: float64(550), object(1)
memory usage: 609.8+ MB
可以看到,数据量还是很大的,一共占了609.8+ MB,但这也只是取了维基百科的一小部分。一共有145063行,551列,即145063个词条的551个时间点下的点击量。
我们看到数据都是浮点型形式保存,因为没有小数,我们没必要保存为浮点型,并且浮点型是非常占用内存的。整体相对会好很多,我们可以将其转化为整型:
for col in train.columns[1:]:
train[col] = pd.to_numeric(train[col],downcast='integer')
train.head()
.dataframe thead th {
text-align: left;
}
.dataframe tbody tr th {
vertical-align: top;
}
| Page | 2015-07-01 | 2015-07-02 | 2015-07-03 | 2015-07-04 | 2015-07-05 | 2015-07-06 | 2015-07-07 | 2015-07-08 | 2015-07-09 | ... | 2016-12-22 | 2016-12-23 | 2016-12-24 | 2016-12-25 | 2016-12-26 | 2016-12-27 | 2016-12-28 | 2016-12-29 | 2016-12-30 | 2016-12-31 | |
|---|---|---|---|---|---|---|---|---|---|---|---|---|---|---|---|---|---|---|---|---|---|
| 0 | 2NE1_zh.wikipedia.org_all-access_spider | 18 | 11 | 5 | 13 | 14 | 9 | 9 | 22 | 26 | ... | 32 | 63 | 15 | 26 | 14 | 20 | 22 | 19 | 18 | 20 |
| 1 | 2PM_zh.wikipedia.org_all-access_spider | 11 | 14 | 15 | 18 | 11 | 13 | 22 | 11 | 10 | ... | 17 | 42 | 28 | 15 | 9 | 30 | 52 | 45 | 26 | 20 |
| 2 | 3C_zh.wikipedia.org_all-access_spider | 1 | 0 | 1 | 1 | 0 | 4 | 0 | 3 | 4 | ... | 3 | 1 | 1 | 7 | 4 | 4 | 6 | 3 | 4 | 17 |
| 3 | 4minute_zh.wikipedia.org_all-access_spider | 35 | 13 | 10 | 94 | 4 | 26 | 14 | 9 | 11 | ... | 32 | 10 | 26 | 27 | 16 | 11 | 17 | 19 | 10 | 11 |
| 4 | 52_Hz_I_Love_You_zh.wikipedia.org_all-access_s... | 0 | 0 | 0 | 0 | 0 | 0 | 0 | 0 | 0 | ... | 48 | 9 | 25 | 13 | 3 | 11 | 27 | 13 | 36 | 10 |
5 rows × 551 columns
查看修改为整型后的数据信息:
train.info()
<class 'pandas.core.frame.DataFrame'>
RangeIndex: 145063 entries, 0 to 145062
Columns: 551 entries, Page to 2016-12-31
dtypes: int32(550), object(1)
memory usage: 305.5+ MB
效果很明显,当数据从浮点型改为整型后,占用内存从609.8+ MB变为了305.5+ MB,缩小了一半。
统计不同国家出现的词条的频数:
def get_language(page):
res = re.search('[a-z][a-z].wikipedia.org',page)
#print (res.group()[0:2])
if res:
return res.group()[0:2]
return 'na'
train['lang'] = train.Page.map(get_language)
from collections import Counter
print(Counter(train.lang))
Counter({'en': 24108, 'ja': 20431, 'de': 18547, 'na': 17855, 'fr': 17802, 'zh': 17229, 'ru': 15022, 'es': 14069})
可见英国有24108个,中国有17229个,等等。当前国家出现错误的时候,我们指定为na值。
基于国家对所有词条进行划分:
lang_sets = {}
lang_sets['en'] = train[train.lang=='en'].iloc[:,0:-1]
lang_sets['ja'] = train[train.lang=='ja'].iloc[:,0:-1]
lang_sets['de'] = train[train.lang=='de'].iloc[:,0:-1]
lang_sets['na'] = train[train.lang=='na'].iloc[:,0:-1]
lang_sets['fr'] = train[train.lang=='fr'].iloc[:,0:-1]
lang_sets['zh'] = train[train.lang=='zh'].iloc[:,0:-1]
lang_sets['ru'] = train[train.lang=='ru'].iloc[:,0:-1]
lang_sets['es'] = train[train.lang=='es'].iloc[:,0:-1]
sums = {}
for key in lang_sets:
sums[key] = lang_sets[key].iloc[:,1:].sum(axis=0) / lang_sets[key].shape[0]
来观察不同国家点击量总数随时间变化的情况:
days = [r for r in range(sums['en'].shape[0])]
fig = plt.figure(1,figsize=[10,10])
plt.ylabel('Views per Page')
plt.xlabel('Day')
plt.title('Pages in Different Languages')
labels={'en':'English','ja':'Japanese','de':'German',
'na':'Media','fr':'French','zh':'Chinese',
'ru':'Russian','es':'Spanish'
}
for key in sums:
plt.plot(days,sums[key],label = labels[key] )
plt.legend()
plt.show()

可以看出,英文要明显比其他语言要高一些。其他语言点击率曲线有时候会有奇怪,像粉色的俄罗斯,在第400天左右的时候发生了突变,阅读量开始猛增,可能是在这个时候发生了一些国民性的重大事件。
而中国整体点击量比较低,这也是合乎情理的。因为大家用的一般都是百度嘛,维基百科不常用。Goolge也被屏蔽了,百度百科处于垄断地位。
由于不同国家的词频点击量差异较大,所以我们可以分国家建模。
当然,我们也可以分词条进行建模,随机选取词条,观察点击量随时间变化情况:
def plot_entry(key,idx):
data = lang_sets[key].iloc[idx,1:]
fig = plt.figure(1,figsize=(10,5))
plt.plot(days,data)
plt.xlabel('day')
plt.ylabel('views')
plt.title(train.iloc[lang_sets[key].index[idx],0])
plt.show()
idx = [1, 5, 10, 50, 100, 250,500, 750,1000,1500,2000,3000,4000,5000]
for i in idx:
plot_entry('en',i)














可以看出,对于每个词条都是有着一定的时间热度的。比如说第一个,在前500天都是默默无闻的,突然在第500天爆发,且爆发量很大。针对很多词条来说,都会呈现出这样一种趋势。
我们也可以对不同国家的词条点击量进行排序,一次推断大众的关注点,即热点:
npages = 5
top_pages = {}
for key in lang_sets:
print(key)
sum_set = pd.DataFrame(lang_sets[key][['Page']])
sum_set['total'] = lang_sets[key].sum(axis=1)
sum_set = sum_set.sort_values('total',ascending=False)
print(sum_set.head(10))
top_pages[key] = sum_set.index[0]
print('\n\n')
en
Page total
38573 Main_Page_en.wikipedia.org_all-access_all-agents 12066181102
9774 Main_Page_en.wikipedia.org_desktop_all-agents 8774497458
74114 Main_Page_en.wikipedia.org_mobile-web_all-agents 3153984882
39180 Special:Search_en.wikipedia.org_all-access_all... 1304079353
10403 Special:Search_en.wikipedia.org_desktop_all-ag... 1011847748
74690 Special:Search_en.wikipedia.org_mobile-web_all... 292162839
39172 Special:Book_en.wikipedia.org_all-access_all-a... 133993144
10399 Special:Book_en.wikipedia.org_desktop_all-agents 133285908
33644 Main_Page_en.wikipedia.org_all-access_spider 129020407
34257 Special:Search_en.wikipedia.org_all-access_spider 124310206
ja
Page total
120336 メインページ_ja.wikipedia.org_all-access_all-agents 210753795
86431 メインページ_ja.wikipedia.org_desktop_all-agents 134147415
123025 特別:検索_ja.wikipedia.org_all-access_all-agents 70316929
89202 特別:検索_ja.wikipedia.org_desktop_all-agents 69215206
57309 メインページ_ja.wikipedia.org_mobile-web_all-agents 66459122
119609 特別:最近の更新_ja.wikipedia.org_all-access_all-agents 17662791
88897 特別:最近の更新_ja.wikipedia.org_desktop_all-agents 17627621
119625 真田信繁_ja.wikipedia.org_all-access_all-agents 10793039
123292 特別:外部リンク検索_ja.wikipedia.org_all-access_all-agents 10331191
89463 特別:外部リンク検索_ja.wikipedia.org_desktop_all-agents 10327917
de
Page total
139119 Wikipedia:Hauptseite_de.wikipedia.org_all-acce... 1603934248
116196 Wikipedia:Hauptseite_de.wikipedia.org_mobile-w... 1112689084
67049 Wikipedia:Hauptseite_de.wikipedia.org_desktop_... 426992426
140151 Spezial:Suche_de.wikipedia.org_all-access_all-... 223425944
66736 Spezial:Suche_de.wikipedia.org_desktop_all-agents 219636761
140147 Spezial:Anmelden_de.wikipedia.org_all-access_a... 40291806
138800 Special:Search_de.wikipedia.org_all-access_all... 39881543
68104 Spezial:Anmelden_de.wikipedia.org_desktop_all-... 35355226
68511 Special:MyPage/toolserverhelferleinconfig.js_d... 32584955
137765 Hauptseite_de.wikipedia.org_all-access_all-agents 31732458
na
Page total
45071 Special:Search_commons.wikimedia.org_all-acces... 67150638
81665 Special:Search_commons.wikimedia.org_desktop_a... 63349756
45056 Special:CreateAccount_commons.wikimedia.org_al... 53795386
45028 Main_Page_commons.wikimedia.org_all-access_all... 52732292
81644 Special:CreateAccount_commons.wikimedia.org_de... 48061029
81610 Main_Page_commons.wikimedia.org_desktop_all-ag... 39160923
46078 Special:RecentChangesLinked_commons.wikimedia.... 28306336
45078 Special:UploadWizard_commons.wikimedia.org_all... 23733805
81671 Special:UploadWizard_commons.wikimedia.org_des... 22008544
82680 Special:RecentChangesLinked_commons.wikimedia.... 21915202
fr
Page total
27330 Wikipédia:Accueil_principal_fr.wikipedia.org_a... 868480667
55104 Wikipédia:Accueil_principal_fr.wikipedia.org_m... 611302821
7344 Wikipédia:Accueil_principal_fr.wikipedia.org_d... 239589012
27825 Spécial:Recherche_fr.wikipedia.org_all-access_... 95666374
8221 Spécial:Recherche_fr.wikipedia.org_desktop_all... 88448938
26500 Sp?cial:Search_fr.wikipedia.org_all-access_all... 76194568
6978 Sp?cial:Search_fr.wikipedia.org_desktop_all-ag... 76185450
131296 Wikipédia:Accueil_principal_fr.wikipedia.org_a... 63860799
26993 Organisme_de_placement_collectif_en_valeurs_mo... 36647929
7213 Organisme_de_placement_collectif_en_valeurs_mo... 36624145
zh
Page total
28727 Wikipedia:首页_zh.wikipedia.org_all-access_all-a... 123694312
61350 Wikipedia:首页_zh.wikipedia.org_desktop_all-agents 66435641
105844 Wikipedia:首页_zh.wikipedia.org_mobile-web_all-a... 50887429
28728 Special:搜索_zh.wikipedia.org_all-access_all-agents 48678124
61351 Special:搜索_zh.wikipedia.org_desktop_all-agents 48203843
28089 Running_Man_zh.wikipedia.org_all-access_all-ag... 11485845
30960 Special:链接搜索_zh.wikipedia.org_all-access_all-a... 10320403
63510 Special:链接搜索_zh.wikipedia.org_desktop_all-agents 10320336
60711 Running_Man_zh.wikipedia.org_desktop_all-agents 7968443
30446 瑯琊榜_(電視劇)_zh.wikipedia.org_all-access_all-agents 5891589
ru
Page total
99322 Заглавная_страница_ru.wikipedia.org_all-access... 1086019452
103123 Заглавная_страница_ru.wikipedia.org_desktop_al... 742880016
17670 Заглавная_страница_ru.wikipedia.org_mobile-web... 327930433
99537 Служебная:Поиск_ru.wikipedia.org_all-access_al... 103764279
103349 Служебная:Поиск_ru.wikipedia.org_desktop_all-a... 98664171
100414 Служебная:Ссылки_сюда_ru.wikipedia.org_all-acc... 25102004
104195 Служебная:Ссылки_сюда_ru.wikipedia.org_desktop... 25058155
97670 Special:Search_ru.wikipedia.org_all-access_all... 24374572
101457 Special:Search_ru.wikipedia.org_desktop_all-ag... 21958472
98301 Служебная:Вход_ru.wikipedia.org_all-access_all... 12162587
es
Page total
92205 Wikipedia:Portada_es.wikipedia.org_all-access_... 751492304
95855 Wikipedia:Portada_es.wikipedia.org_mobile-web_... 565077372
90810 Especial:Buscar_es.wikipedia.org_all-access_al... 194491245
71199 Wikipedia:Portada_es.wikipedia.org_desktop_all... 165439354
69939 Especial:Buscar_es.wikipedia.org_desktop_all-a... 160431271
94389 Especial:Buscar_es.wikipedia.org_mobile-web_al... 34059966
90813 Especial:Entrar_es.wikipedia.org_all-access_al... 33983359
143440 Wikipedia:Portada_es.wikipedia.org_all-access_... 31615409
93094 Lali_Espósito_es.wikipedia.org_all-access_all-... 26602688
69942 Especial:Entrar_es.wikipedia.org_desktop_all-a... 25747141
绘图观察这些热点随时间变化情况:
for key in top_pages:
fig = plt.figure(1,figsize=(10,5))
cols = train.columns
cols = cols[1:-1]
data = train.loc[top_pages[key],cols]
plt.plot(days,data)
plt.xlabel('Days')
plt.ylabel('Views')
plt.title(train.loc[top_pages[key],'Page'])
plt.show()








更多推荐


所有评论(0)