电子系统中的品质因数
在学习通信电子线路的过程中,起初只是把品质因数(品质因子Q)理解成一个人为规定好的无量纲参数,并未再多关注。实际上,品质因子是物理、工程上衡量振子阻尼性质的物理量和振子的共振频率相对于带宽的大小的重要用语。物理含义品质因子是表示振子阻尼性质的物理量, 高Q因子表示振子能量损失的速率较慢,振动可持续较长的时间。例如一个单摆在空气中运动,其Q因子较高,而在油中运动的单摆Q因子较低。高Q因...
在学习通信电子线路的过程中,起初只是把品质因数(品质因子Q)理解成一个人为规定好的无量纲参数,并未再多关注。
实际上,品质因子是物理、工程上衡量振子阻尼性质的物理量和振子的共振频率相对于带宽的大小的重要用语。
物理含义
品质因子是表示振子阻尼性质的物理量, 高Q因子表示振子能量损失的速率较慢,振动可持续较长的时间。
例如一个单摆在空气中运动,其Q因子较高,而在油中运动的单摆Q因子较低。
高Q因子的振子一般其阻尼也较小。
电子系统
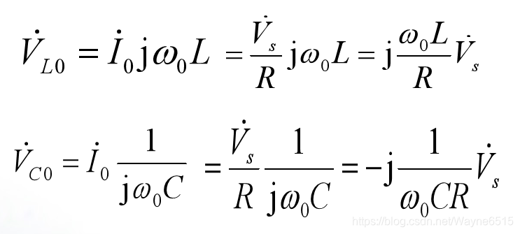
RLC串联谐振电路中:
为了表征谐振时电感L和电容C两端电压值的大小,
引入电感线圈的品质因数:
Q=wLR\bm{Q=\frac{wL}{R}}Q=RwL(线圈的Q值常在几十到一、二百左右)
Q也=1wCR\bm{Q也=\frac{1}{wCR}}Q也=wCR1 (回路的品质因数:谐振时,回路感抗模(或容抗模)与电阻R的比值)
定义谐振曲线之后(回路中电流幅值与外加电压频率之间的关系曲线),可以用品质因数来更方便的描述广义失谐。
当频率w=w0时频率w=w_0时频率w=w0时,失谐量为0,达到谐振状态,谐振时的品质因数Q0=Q=w0LR=1w0CR\bm{Q_0=Q=\frac{w_0L}{R}=\frac{1}{w_0CR}}Q0=Q=Rw0L=w0CR1。
对于同样的频率ω和ω0,回路的Q值愈大, N(ω)下降的越多。
RLC并联谐振电路中:
并联RLC电路的Q因子恰为对应串联电路Q因子的倒数。
Q=RwL=wCR\bm{Q=\frac{R}{wL}={wCR}}Q=wLR=wCR
对串联和并联谐振回路而言,谐振曲线也是相似的。
描述电压增益
将单调谐回路谐振放大器最终等效成以下这样一个RLC并联电路后,我们最关心的就是它的电压增益。
如之前分析的一样,用品质因数QQQ来替换分子中的阻抗值,即替换成广义失谐。
当达到谐振状态时,失谐量2△f0.72△f_{0.7}2△f0.7为0,通频带的相对值为0,分母中的虚数部分为0。
在描述滤波特性的曲线当中,也有用到品质因数这样的概念
不同的Q值。按“最佳逼近特性”标准可分为巴特沃斯滤波器、贝塞尔滤波器、切比雪夫滤波器,它们的Q值分别为0.707、0.56、0.96。
更多推荐



所有评论(0)