二叉树带图详解
二叉树的特点,性质及遍历等各种操作
文章目录
一、二叉树的特点
- 每个结点最多有两颗子树
- 左子树和右子树是有顺序的
- 即使树中某结点只有一颗子树,也要区分它是左子树还是右子树
二叉树有以下五种基本形态:
二、特殊二叉树
1.斜树
所有的结点都只有左子树的二叉树叫左斜树,所有结点都只有右子树的二叉树叫右斜树。
2.满二叉树
在一颗二叉树中,如果所有结点分支结点都存在左子树和右子树,并且所有叶子都在同一层上,这样的二叉树称为满二叉树。

满二叉树的特点有:
(1)叶子只能出现在最下一层。出现在其他层就不可能达到平衡。
(2)非叶子结点的度一定是2。否则就是“缺胳膊少腿了”。
(3)在同样深度的二叉树中,满二叉树的结点个数最多,叶子树最多。
3.完全二叉树
对一颗具有n个结点的二叉树按层序编号,如果编号为i的结点与同样深度的满二叉树中编号为i的结点在二叉树中的位置相同,则这棵二叉树称为完全二叉树。

完全二叉树的特点:
(1)叶子结点只能出现在最下两层。
(2)最下层的叶子一定集中在左部连续位置。
(3)倒数第二层,若有叶子结点,一定都在右部连续位置。
(4)如果结点度为1,则该结点只有左孩子。
(5)同样结点数为2的二叉树,完全二叉树的深度最小。
三、二叉树的性质
性质1:在二叉树的第i层最多有2i-1个结点。
性质2:深度为k的二叉树最多有2k-1个结点。
性质3:对任意一颗二叉树,如果其终端结点数为n0,度为2的结点数为n2,则n0= n2+1。
性质4:具有n个结点的完全二叉树的深度为 log2n+1。
性质5:如果根节点标号为1,则对任意结点i,它的左孩子为2i,右孩子为2i+1。

四、二叉树的遍历等操作
1、前序遍历
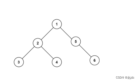
规则是若二叉树为空,则空操作返回,否则先访问根节点,然后前序遍历左子树,在前序遍历右子树。如下图的遍历顺序为1 2 3 NULL NULL 4 NULL NULL 5 NULL 6 NULL NULL(我们在遍历时把空也加上,避免我们误以为没有访问空结点)。
前序遍历的代码如下:
// 二叉树前序遍历
void PreOrder(BTNode* root)
{
if (root == NULL)
{
printf("NULL ");
return;
}
printf("%d ", root->data);
PreOrder(root->_left);
PreOrder(root->_right);
}
我们可以观察到,我们的代码采用了递归,但理解递归的最好方式是画递归展开图,所以我们绘制如下展开图,来帮助我们理解。

2、中序遍历
规则是若树为空,则空操作返回,否则从根节点开始(并不是先访问跟结点),中序遍历跟结点的左子树,然后是访问跟结点,最后中序遍历右子树。如下图的遍历顺序为:NULL 3 NULL 2 NULL 4 NULL 1 NULL 5 NULL 6 NULL
中序遍历的代码如下:
// 二叉树中序遍历
void InOrder(BTNode* root)
{
if (root == NULL)
{
printf("NULL ");
return;
}
InOrder(root->_left);
printf("%d ", root->data);
InOrder(root->_right);
}
3、后序遍历
规则是若树为空,则空操作返回,否则从左到右先叶子后结点的方式遍历访问左右子树,最后是访问根节点。如下图的遍历顺序为:NULL NULL 3 NULL NULL 4 2 NULL NULL NULL 6 5 1。
后序遍历的代码如下:
// 二叉树后序遍历
void PostOrder(BTNode* root)
{
if (root == NULL)
{
printf("NULL ");
return;
}
PostOrder(root->_left);
PostOrder(root->_right);
printf("%d ", root->data);
}
4、二叉树结点的个数
我们同样可以采用递归的思想,遍历每一颗子树的每一个结点。
我们访问到空结点时,返回0,那么这个空结点的父亲结点返回1,然后层层向上返回,左子树的结点加上右子树的结点,最后再加上跟结点,便是二叉树结点的个数。
//求结点个数
int TreeSize(BTNode* root)
{
return root == NULL ? 0 : TreeSize(root->_left) + TreeSize(root->_right) + 1;
}
5、叶子结点的个数
叶子结点的特征是左右子树为空,所以我们同样可以通过递归的方法遍历每一颗子树。

终止条件是根节点为空,叶子结点的条件是左右子树为空,我们得到左右子树中叶子结点的个数然后返回即可。
//求叶子结点个数
int TreeLeafSize(BTNode* root)
{
if (root == NULL)
return 0;
//叶子结点的特征是左右为空
if (root->_left == NULL && root->_right == NULL)
return 1;
return TreeLeafSize(root->_left) + TreeLeafSize(root->_right);
}
6、树的深度
树的深度是求最大深度,所以我们需要遍历左右子树,然后进行比较,选出较大值返回。

我们遍历时,需要有两个值来分别计数左右子树的深度,然后返回较大值。
//求树的深度
int TreeHeight(BTNode* root)
{
if (root == NULL)
return 0;
int left = TreeHeight(root->_left);
int right = TreeHeight(root->_right);
return ( left > right ? left : right ) + 1;
}
7、第k层结点的个数
第一层结点就是根节点,个数为1,然后向下访问k-1层,直到k等于1。

注意返回值是左右子树的和。
//求树第k层结点的个数
int TreeLevelkSize(BTNode* root , int k)
{
if (root == NULL)
return 0;
if (k == 1)
return 1;
return TreeLevelkSize(root->_left, k - 1) + TreeLevelkSize(root->_right, k - 1);
}
8、查找树中的某个值
我们可以先查找左子树,如果没有找到返回,继续查找右子树,如果没有找到则返回空。

注意我们需要判断根节点是否是我们查找的结点。
//查找树中某个结点
BTNode* FindNode(BTNode* root, BTDataType x)
{
if (root == NULL)
return NULL;
if (root->data == x)
return root;
if (FindNode(root->_left, x))
return FindNode(root->_left, x);
else
return FindNode(root->_right, x);
}
总结
对于树的操作,我们常采用递归的方法,多画图可以帮助我们更好的理解树。
更多推荐



所有评论(0)