第6章 放大器的频率特性
放大器频率响应
·
6.1 概述
- 关心稳态响应,令拉氏变换的s=jw,实现从复频域到频域的转换。
- 频率响应的实际求解:代入电阻、电容的复频率阻抗,
。模拟电路(低频)一般不考虑电感sL。相频特性:时域上反映输出对输入的延迟Δt,Δφ=(Δt/T)×2Π,高频时延迟对相位的影响很大。
- 两极点系统的幅频响应=两个单极点系统的幅频响应之积;相频响应=两个单极点系统的相频响应之和。
- 如果
,则
称为主极点,主极点对频率响应的影响(衰减幅值、相角phase angle移动)更大。
极点在左半平面(LHP)时,输出信号的相位比输入滞后。极点在右半平面(RHP)时,输出信号的相位比输入超前。
右半平面的零点(RHZ)和LHP的作用相反。

衰减速度:-20dB/dec(频率增加到10倍时,增益下降了20dB),-40dB/dec...
传输函数的magnitude,当频率通过zero frequencey时以+20dB/decade、+40dB/dec上升。“-3dB带宽”“cutoff frequency”
处相位变化了±45deg、
处±135deg...
- 频率特性:电压源+串联RC=电流源+并联RC

- 电路的每个node贡献一个pole。可以采用结点分析法直接写出传递函数:pole=从结点看向地的电阻×对地的总电容。复杂情况:feedback branch 在结点之间产生联系。
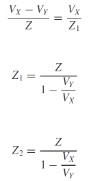
- Miller’s theorem--decomposition of a "floating" impedance into two "grounded" impedances
Miller’s approximation:用低频时的增益分析高频。缺点:可能消除了传递函数的zeros、预测额外的poles、不能正确计算输出阻抗。


注:如果Z在X和Y之间只有一个信号通路,则密勒定理不适用。
典型案例:和增益为
的放大器主通路并联。
通常用的直流增益来分解
应用:实现电容放大,节省芯片面积。缺点:对放大器的输出摆幅要求高;更大的功耗。

- transit frequency:器件的小信号电流增益为1时的频率。
随着过驱动电压增加到一定程度,由于速度饱和,会导致迁移率明显逐渐减小,而使ft-Vod曲线变平,不再是线性直线。

6.2 共源极
方法1:通过密勒近似,直接求出极点频率


- 误差1:忽略了输入输出(通过
)耦合产生的零点。


- 误差2:放大器的增益会随频率变化。当电路驱动大的负载电容时,低频时的电压增益会下降,此时不能用低频增益计算密勒效应的乘积项。
方法2:利用小信号电路,直接推出传递函数,然后利用 主极点近似 反推极点和零点。
- 零点频率:
,比特征频率大。是RHZ,增加了输出相移,损害电路的稳定性。零点产生的原因:两条以上的path。除了主通路,提供了前馈feedforward通路。
- 一种简单的计算零点的方法:令输出电流为0。根据KCL定律有
[ 极点:传递函数输入为0时,输出不为0。零点:传递函数输入不为0时,输出为0。
"We have seen that the signals traveling through two paths within an amplifier may cancel each other at one frequency, creating a zero in the transfer function." ]
- CS输入容性阻抗(resistance是impededance的实部):高频时,存在输入电流。前馈影响了输入阻抗,不再是单纯的容抗,而是复阻抗。

Class-AB stage:和CS级结构相同。等效小信号模型:
6.3 源跟随器
- 传输函数包含一个在左半平面的零点。原因:高频时,由
传导的信号与本征晶体管产生的信号以相同的极性相加。
- 当
为0,且不考虑沟调效应和体效应的情况下,
is bootstrapped,没有电流通过,不贡献零极点。
- 高频时,驱动负载电容的源跟随器会显示出负的输入电阻,可能引起不稳定。负阻特性可被用于振荡器oscillator。

- 若源跟随器前一级输出阻抗很大,则源跟随器的输出阻抗表现出电感特性(随频率增加)

6.4 共栅级
- 如果不考虑沟调效应,输入、输出结点是isolated。如果不忽略,输入阻抗和负载阻抗、
有关。
- 如果与栅串联的是大阻抗,则降低了极点频率。

更多推荐

所有评论(0)