机器学习-线性回归(Linear Regression)
1.什么是线性回归线性:两个变量之间的关系是一次函数关系的——图象是直线,叫做线性。非线性:两个变量之间的关系不是一次函数关系的——图象不是直线,叫做非线性。回归:人们在测量事物的时候因为客观条件所限,求得的都是测量值,而不是事物真实的值,为了能够得到真实值,无限次的进行测量,最后通过这些测量数据计算回归到真实值,这就是回归的由来。2. 能够解决什么样的问题对大量的观测数据进行处理,从而得到比较符
目录
1.什么是线性回归
- 线性:两个变量之间的关系是一次函数关系的——图象是直线,叫做线性。
- 非线性:两个变量之间的关系不是一次函数关系的——图象不是直线,叫做非线性。
- 回归:人们在测量事物的时候因为客观条件所限,求得的都是测量值,而不是事物真实的值,为了能够得到真实值,无限次的进行测量,最后通过这些测量数据计算回归到真实值,这就是回归的由来。
2. 能够解决什么样的问题
对大量的观测数据进行处理,从而得到比较符合事物内部规律的数学表达式。也就是说寻找到数据与数据之间的规律所在,从而就可以模拟出结果,也就是对结果进行预测。解决的就是通过已知的数据得到未知的结果。例如:对房价的预测、判断信用评价、电影票房预估等。
3. 一般表达式是什么
w叫做x的系数,b叫做偏置项。
4. 如何计算
4.1 Loss Function--MSE
利用梯度下降法找到最小值点,也就是最小误差,最后把 w 和 b 给求出来。
4.2 标准方程方法
可以利用Python进行矩阵运算直接求解,也可以使用sk-learn进行求解
5. 过拟合问题如何解决
使用正则化项,也就是给loss function加上一个参数项,正则化项有L1正则化、L2正则化、ElasticNet。加入这个正则化项好处:
- 控制参数幅度,不让模型“无法无天”。
- 限制参数搜索空间
- 解决过拟合的问题。
5.1 什么是L2正则化(岭回归)
方程:
表示上面的 loss function ,在loss function的基础上加入w参数的平方和乘以
,假设:
回忆以前学过的单位元的方程:
正和L2正则化项一样,此时我们的任务变成在L约束下求出J取最小值的解。求解J0的过程可以画出等值线。同时L2正则化的函数L也可以在w1w2的二维平面上画出来。如下图:
L表示为图中的黑色圆形,随着梯度下降法的不断逼近,与圆第一次产生交点,而这个交点很难出现在坐标轴上。这就说明了L2正则化不容易得到稀疏矩阵,同时为了求出损失函数的最小值,使得w1和w2无限接近于0,达到防止过拟合的问题。
5.2 什么场景下用L2正则化
只要数据线性相关,用LinearRegression拟合的不是很好,需要正则化,可以考虑使用岭回归(L2), 如果输入特征的维度很高,而且是稀疏线性关系的话, 岭回归就不太合适,考虑使用Lasso回归。
5.3 什么是L1正则化(Lasso回归)
L1正则化与L2正则化的区别在于惩罚项的不同:
求解J0的过程可以画出等值线。同时L1正则化的函数也可以在w1w2的二维平面上画出来。如下图:

惩罚项表示为图中的黑色棱形,随着梯度下降法的不断逼近,与棱形第一次产生交点,而这个交点很容易出现在坐标轴上。这就说明了L1正则化容易得到稀疏矩阵。
5.4 什么场景下使用L1正则化
L1正则化(Lasso回归)可以使得一些特征的系数变小,甚至还使一些绝对值较小的系数直接变为0,从而增强模型的泛化能力 。对于高的特征数据,尤其是线性关系是稀疏的,就采用L1正则化(Lasso回归),或者是要在一堆特征里面找出主要的特征,那么L1正则化(Lasso回归)更是首选了。
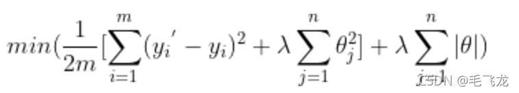
5.5 什么是ElasticNet回归
ElasticNet综合了L1正则化项和L2正则化项,以下是它的公式:

5.6 ElasticNet回归的使用场景
ElasticNet在我们发现用Lasso回归太过(太多特征被稀疏为0),而岭回归也正则化的不够(回归系数衰减太慢)的时候,可以考虑使用ElasticNet回归来综合,得到比较好的结果。
关于L1/L2正则化的解释,可以参考这篇文章
机器学习中正则化项L1和L2的直观理解_小平子的专栏-CSDN博客_l2正则
6. 线性回归要求因变量服从正态分布?
我们假设线性回归的噪声服从均值为0的正态分布。 当噪声符合正态分布N(0,delta^2)时,因变量则符合正态分布N(ax(i)+b,delta^2),其中预测函数y=ax(i)+b。这个结论可以由正态分布的概率密度函数得到。也就是说当噪声符合正态分布时,其因变量必然也符合正态分布。
在用线性回归模型拟合数据之前,首先要求数据应符合或近似符合正态分布,否则得到的拟合函数不正确。
7. 实现代码
参考:https://github.com/Avik-Jain/100-Days-Of-ML-Code/blob/master/Code/Day2_Simple_Linear_Regression.md
# Step 1: Data Preprocessing
import pandas as pd
import numpy as np
import matplotlib.pyplot as plt
dataset = pd.read_csv('studentscores.csv')
X = dataset.iloc[ : , : 1 ].values
Y = dataset.iloc[ : , 1 ].values
from sklearn.cross_validation import train_test_split
X_train, X_test, Y_train, Y_test = train_test_split( X, Y, test_size = 1/4, random_state = 0)
# Step 2: Fitting Simple Linear Regression Model to the training set
from sklearn.linear_model import LinearRegression
regressor = LinearRegression()
regressor = regressor.fit(X_train, Y_train)
# Step 3: Predecting the Result
Y_pred = regressor.predict(X_test)
# Step 4: Visualization
## Visualising the Training results
plt.scatter(X_train , Y_train, color = 'red')
plt.plot(X_train , regressor.predict(X_train), color ='blue')
## Visualizing the test results
plt.scatter(X_test , Y_test, color = 'red')
plt.plot(X_test , regressor.predict(X_test), color ='blue')
文章内容参考:
ML-NLP/Machine Learning at master · NLP-LOVE/ML-NLP · GitHub此项目是机器学习(Machine Learning)、深度学习(Deep Learning)、NLP面试中常考到的知识点和代码实现,也是作为一个算法工程师必会的理论基础知识。 - ML-NLP/Machine Learning at master · NLP-LOVE/ML-NLP
https://github.com/NLP-LOVE/ML-NLP/tree/master/Machine%20Learning
更多推荐










所有评论(0)