第四章 连续时间傅里叶变换
信号与系统笔记:连续时间傅里叶变换
注:本博客是基于奥本海姆的《信号与系统》第二版编写,主要是为了自己考研,准备专业课。
一、非周期信号的表示:连续时间傅里叶变换
前言:对周期信号而言,构成信号的 复指数基本信号构造单元是成谐波关系的,对非周期信号,它们是在频率上无限小地靠近的。
1) 非周期信号傅里叶变换表示的导出
为了对傅里叶变换的实质进行更深入的了解,先从一个连续时间周期方波的傅里叶级数表示着手。即,在一个周期内

以周期T周期重复,如下图所示。

该方波信号的傅里叶级数系数ak是
式中 w0=2π/T。
理解上式的另一种方式是把它当作一个包络函数的样本,即
这就是说,若将w看作一个连续变量,则函数(2sinwT1) /w就代表Tak的包络,这些系数就是在此包络上等间隔取得的样本(即k*w0)。而且,若 T1固定,则Tak的包络就与T无关,如下图所示。
从该图可以看出,随着T增加,该包络就被以愈来愈密集的间隔采样。随着T变得任意大,原来的周期方波就趋近于一个矩形脉冲(即,在时域保留下的是一个非周期信号,它对应于原方波的一个周期)。
与此同时,傅里叶级数(乘以 T 后)作为包络上的样本也变得愈来愈密集,这从某种意义上来说,随着 T—>∞ ,傅里叶级数就趋近于这个包络函数。
这个例子说明:
对非周期信号建立傅里叶表示的基本思想:在建立非周期信号的傅里叶变换时,可以把非周期信号当作一个周期任意大的极限来看待,并且研究这个周期信号傅里叶级数表达式的极限特性。

在这种情况下,我们考虑将 x~(t) 表示成傅里叶级数,将积分区间选为 -T/2≤ t ≤T/2。

式中 w0=2π/T,由于在 |t|<T/2 时,
x~(t)=x(t),而在其余情况下x(t)=0,所以上式可以重新写为
因此,定义 Tak 的包络 X(jw) 为
这时候,系数 ak可以写为

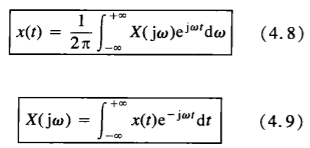
随着 T—>∞, x~(t) 趋近于 x(t),式4.7的极限就变成 x(t) 的表达式。再者,当 T—>∞时,有 w0—>0,式4.7 的右边就过渡为一个积分。
右边的每一项都可以看作是高度为 X(jkw0) ejkw0t,宽度为 w0 的矩形的面积。
于是便推导出傅里叶变换对:
式4.8、4.9 被称为傅里叶变换对。函数 X(jw) 称为 X(t) 的傅里叶变换或傅里叶积分,也通常被称为频谱,而 式4.8 称为傅里叶反变换式。
例题一:
例题二:

sinc 函数通常所用的形式为

二、周期信号的傅里叶变换
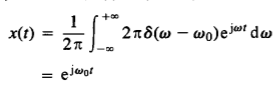
考虑一个信号 ,其傅里叶变换 X(jw) 是一个面积为 2π 出现在 w=w0,处的单独的一个冲激,即
为了求出与 X(jw) 对应的 x(t),可以傅立叶变换的反变换公式得到
将上面的结果再加以推广,如果 X(jw) 是在频率上等间隔的一组冲激函数的线性组合,即
那么利用傅立叶反变换,可得
可以看出,上式就是一个周期信号的傅里叶级数表示。因此,一个傅里叶级数系数为 {ak} 的周期信号的傅里叶变换,可以看成是出现在成谐波关系的频率上的一串冲激函数,发生于第 k次谐波频率 kw0上的冲激函数的面积是第k个傅里叶级数系数 ak的 2π倍。
例题:
三、连续时间傅里叶变换性质
为了方便,我们将 x(t) 和 X(jw) 这一对傅里叶变换用下列符号表示:
3.1、 线性性质
若
和
则
3.2、时移性质
若
则

这个性质说明:信号在时间上移位,并不改变它的傅里叶变换的模。
若将X(jw)用极坐标表示为
那么
因此,信号在时间上的移位只是在它的变换中引入相移,即-w0t,相移与频率w成线性关系。
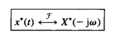
3.3、共轭及共轭对称性
若
则

共轭性质就能证明,若 x(t) 为实函数,那么 X(jw)就具有共轭对称性,即

作为上式的一个结果,①若将X(jw)用笛卡尔坐标表示为
那么若x(t)为实函数,则有
和
这就是说,傅里叶变换的实部是频率的偶函数,而虚部则是频率的奇函数。
②类似的,若将X(jw)用极坐标表示为
那么,根据式(4.30)就可得出:
作为式(4.30)进一步的结果:
①若x(t) 为实偶函数,那么有x(t) = x(-t), 即X(jw) 为实偶函数
②若x(t) 为实奇函数,那么有x(t) = -x(-t),即X(jw)为纯虚奇函数
3.4、微分和积分
令x(t)的傅立叶变换为X(jw),将傅立叶变换综合公式两边对t进行微分,可得

因此有
微分性质即:将时域内的微分用频域内乘以jw所代替
积分性质即:将时域内的积分对应于频域内除以jw,右边的冲激函数反映了由积分所产生的直流或平均值
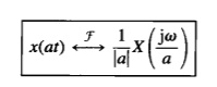
3.5.、时间与频率的尺度变换
若
若令 ,则有

故:除一个1/|a|的幅度因子外,信号在时间上有一个线性尺度因子a的变换,相应于它在频率上有一个线性因子1/a的变换
若令a=-1,则有
该式说明,在时间上反转一个信号,它的傅立叶变换也反转。
3.6、对偶性

和
这两个变换对及其之间的关系如图:
由上面两对傅立叶变换知:对于任何变换对来说,在时间和频率变量互换之后都有一种对偶关系。
x(t) <—F—> X(jw)
X(jw) <—F—> 2π*x(t)
此外,还有一些其他性质之间的对偶性:

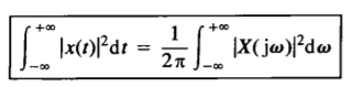
3.7、帕斯瓦尔定理
若x(t) 和 X(jw) 是一对傅立叶变换,则下式称为帕斯瓦尔定理。
帕斯瓦尔定理指出:这个总能量既可以按每单位时间内的能量(|x(t)|2)在整个时间内积分计算出来,也可以按每单位频率内的能量(|X(jw)|2/2π)在整个频率范围内积分而得到,同时|X(jw)|2常称为信号x(t)的能谱密度。
注:一个周期信号的平均功率等于它的各次谐波分量的平均功率之和,而这些谐波分量的平均功率就等于傅立叶系数的模平方。
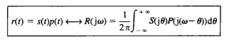
3.8、卷积性质
两个信号在时域内的卷积就等于它们傅里叶变换的乘积。
推导过程:

3.9、相乘性质(调制性质)
两个信号在时域内的相乘就对应于频域内的卷积。
理解:
一个信号被另外一个信号去乘,可以理解为用一个信号去调制另外一个信号的振幅,因此两个信号相乘也称为幅度调制。
例题一:

例题二:
四、傅立叶变换性质和基本傅立叶变换对列表


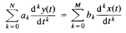
五、由线性常系数微分方程表征的系统
一类特别重要而有用的连续时间线性时不变系统是其输入输出满足如下形式的线性常系数微分方程的系统:
注:该节主要讨论如何确定一个线性时不变系统的频率响应问题,且以下讨论中均假定系统是稳定的,故它的频率响应存在,且收敛。
频率响应公式:
有两种方法可以用于确定由上式的微分方程所描述的线性是不变系统的频率响应H(jw):
①利用复指数信号是线性时不变系统的特征函数
具体而言,若x(t)=ejwt,那么输出就一定是y(t)=H(jw)ejwt,将这些代入上式线性常系数微分方程,并进行一些代数运算,就能解出H(jw)。
②根据卷积性质
y(t) = x(t) * h(t) ==》

或等效为
其中X(jw),Y(jw)和H(jw)分别是输入x(t),输出y(t)和系统的单位冲激响应h(t)的傅立叶变换。
具体计算过程如下:
例题一:
例题二:

例题三:

更多推荐

所有评论(0)