软件设计师---数据结构上
数据结构上午题
数据结构
考察范围和比重
数据结构(大头6)+算法(小头3)
题目分布于57-65
大O表示法

对于 在循环和递归以外的代码,都看成常数阶O(1)
时间复杂度T(n)和问题规模n有关(循环次数和递归的次数)
分析代码的时间复杂度(考察的比较多)
非递归形式
问题规模和执行次数的关系
- O(1)代码里面没有循环、递归
- O(log2n)
循环的判断是比循环多一次
总计算步骤为:
转换为大O表示法为:- O(n)
循环的判断是比循环多一次
总运算次数为:
大O表示法为:
4. O(nlog2n)
分析思路是拆分来分析
看成线性阶套对数阶
对于最内层的循环次数:嵌套用乘法
总循环次数是:
加法看高阶,所以答案是线性对数阶O(nlog2n)
总结:嵌套循环只需关注最内层的循环的循环体时间复杂度(就代表了整个算法的时间复杂度)
5. O(n^2)
再次说明:嵌套循环只需关注最内层的循环的循环体时间复杂度(就代表了整个算法的时间复杂度)
O(n^3)
总结:计算时间复杂度只需要看最内层的循环的循环体时间复杂度
例子
分析代码的空间复杂度(考察的较少)
非递归方式
问题规模和存储空间的关系
例子如下


真题

A

A
代码实现如下
package dataStructure.one;
//2011年下半年64
public class a {
public static void main(String[] args) {
int [] A = {-1,0,1,-1,0,1};
int n = A.length;
int n1 = 0;//统计-1的数目
int n2 = 0;//统计0的数目
int n3 = 0;//统计1的数目
//开始统计-1,0,1的数目
for(int i=0;i<n;i++){
if(A[i]==-1){
n1++;
}
if(A[i]==0){
n2++;
}
if(A[i]==1){
n3++;
}
}
//将数组按照统计的-1,0,1数目来赋值(下标从0开始所以全部按照逻辑图的值减1)
for(int i=0;i<n1;i++){
A[i]=-1;
}
for(int j=n1;j<n1+n2;j++){
A[j]=0;
}
for(int k=n1+n2;k<n;k++){
A[k]=1;
}
//输出看看
for (int a:A){
System.out.println(a);
}
}
}
时间复杂度是O(n)
空间复杂度是O(1)
开辟的存储空间n1,n2,n3和问题规模之间没有关系
(上面俩个是题目条件,我们看空间复杂度看的是n1,n2,n3)

C
代码实现如下(我写代码的时候,交换A[i]和A[j]没有在条件if(i<j)下,所以错了)
package dataStructure.one;
public class b {
public static void main(String[] args) {
int [] A = {-1,-3,3,1,-2,2};
int n = A.length;
int i = 0;
int j = n-1;
//i向右移动,j向左移动,直到俩个重合,就完成了。
while (i<j){
while (A[i]<0){
i = i+1;
}
while (A[j]>0){
j = j-1;
}
//到这一步的时候,i指向的是正数,j指向的是负数,就交换他们的位置
if(i<j){
int temp;
temp = A[i];
A[i] = A[j];
A[j] = temp;
}
//然后就开始下一轮的交换。。。
}
for (int a:A){
System.out.println(a);
}
}
}
时间复杂度就是遍历了长度为n的数组O(n)
空间复杂度就是定了了俩个变量O(1)

D
渐进分析就是时间复杂度分析
渐进符号


例子
解题方法:
- 将10n2+4n+2估算,化为:n2
- 对于(1),O(n2)>=n2,成立; 对于(2),O(n3)>=n2,成立;对于(3),O(n)>=n2,不成立
- 对于(4),Ω(n2)<=n2,成立;对于(5),Ω(n3)<=n2,不成立; 对于(6),Ω(n)<=n2,成立
对于(7)成立
对于(8),(9)不能同时满足俩个,所以不成立。

C
递归的时间复杂度和空间复杂度
递归:自己调用自己。。
每次递归时间复杂度不变的情况
例如,求n的阶乘。
package dataStructure.one;
//求n的阶乘
public class c {
public static int func(int n){
if(n==1){
return 1;
}
return n*func(n-1);
}
public static void main(String[] args) {
int result = func(5);
System.out.println(result);
}
}

递归的时间复杂度:递归调用的次数x每次递归的时间复杂度

递归调用的空间复杂度:递归调用的次数x每次递归的空间复杂度
例如:
例子
时间复杂度:O(log2n)
空间复杂度:O(log2n)
先求递归调用的出口,也就是一共递归调用多少次
也就是:
求出x,就是递归调用的总次数
由于本来在一次递归中,时间复杂度和空间复杂度都是O(1),所以总的时间或空间复杂度都是O(log2n)

每次递归时间复杂度都不同的情况
例子

分析时间复杂度:
递归调用n次,但每次递归执行的循环次数不一样
总循环次数有等差数列求和公式得到:
只保留最高阶的项,时间复杂度为O(n2)
时间复杂度为:O(n2)
分析空间复杂度
空间复杂度为O(n),因为每次递归,开辟的存储空间的空间复杂度相同,所以可以用之前的公式:
O(n)xO(1) = O(n)
例子
分析空间复杂度:
每次递归的空间复杂度都不一样。。
把所有的空间复杂度加起来:
所有,空间复杂度为:O(n2)
用主方法求递归式的时间复杂度

题目多考察定理1和定理2
例子
考察(1)和(2)
就是先算出logba的值,看套公式(1)还是(2)。
如果得到
就套用(1)求时间复杂度
如果得到(渐进紧致界括号内的阶要和f括号内的阶完全一样才行)这是之前渐进符号的定义
就套用(2)求时间复杂度
真题

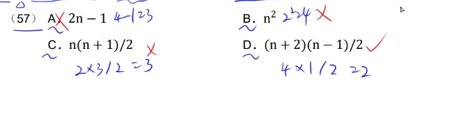
B
自己调用自己:递归式
递归调用n次
并且每次递归的执行次数还不一样
直接求出所有的执行次数(n+1)n/2,时间复杂度为o(n2)

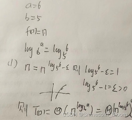
A

A

A

C,C
对于第二问:直接n=16,则T(n)=O(n2)就是256

D.C
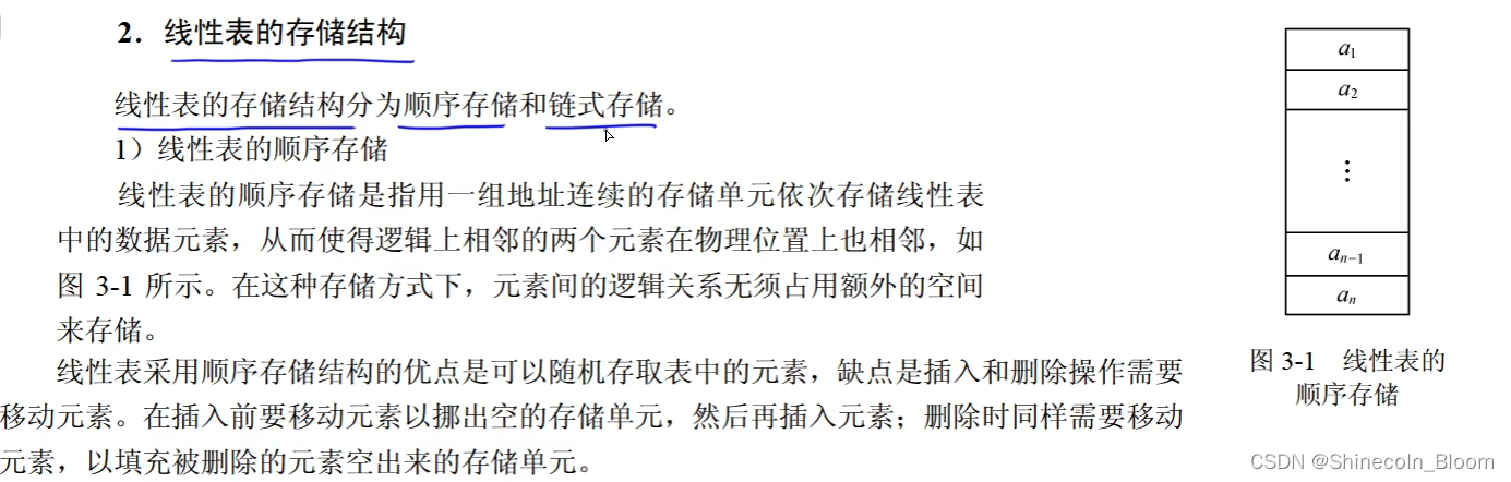
线性结构


线性表
- 顺序存储(顺序表)
- 链式存储(链表)

顺序表

就是用数组实现顺序存储的物理结构(线性表是逻辑结构)
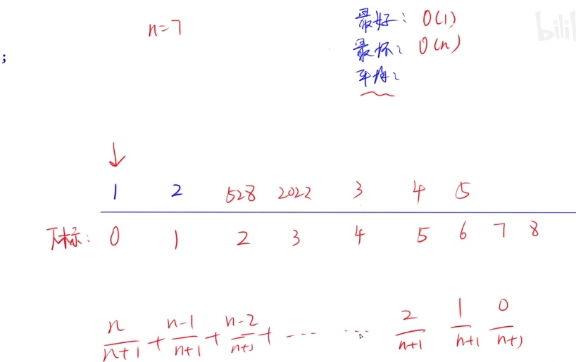
等概率下插入元素,需要移动元素个数的数学期望:
表长n是数组中当前元素个数是n
等概率下删除元素,需要移动元素个数的数学期望:
代码实现顺序存储
package dataStructure.SequenceList;
public class SequenceList {
final int N = 10; //最大容量
int[] a;
int n; //当前表长
void init(){
a = new int[N];
for (int i = 0;i<N/2;i++){
a[i] = i+1;
}
n = N/2;
for (int i =0;i<n;i++){
System.out.print(a[i]+" ");
}
System.out.println();
}
public static void main(String[] args) {
SequenceList list = new SequenceList();
list.init();
}
}
插入

package dataStructure.SequenceList;
public class SequenceList {
final int N = 10; //最大容量
int[] a;
int n; //当前表长
void init(){
a = new int[N];
for (int i = 0;i<N/2;i++){
a[i] = i+1;
}
n = N/2;
for (int i =0;i<n;i++){
System.out.print(a[i]+" ");
}
System.out.println();
}
/*
* k是实际的位置 从1开始到n (n+1是最后的一个插入位置)
* */
void insert(int k,int x){
if(k<1||k>n+1) return;
for(int i =n;i>=k;i--){
a[i] = a[i-1];
}
a[k-1] = x;
n++;
}
void show(){
for (int i=0;i<n;i++){
System.out.print(a[i]+" ");
}
System.out.println();
}
public static void main(String[] args) {
SequenceList list = new SequenceList();
list.init();
list.insert(3,100);
list.insert(0,11);
list.show();
}
}
分析时间复杂度



删除


package dataStructure.SequenceList;
public class SequenceList {
final int N = 10; //最大容量
int[] a;
int n; //当前表长
void init(){
a = new int[N];
for (int i = 0;i<N/2;i++){
a[i] = i+1;
}
n = N/2;
for (int i =0;i<n;i++){
System.out.print(a[i]+" ");
}
System.out.println();
}
/*
* k是实际的位置 从1开始到n (n+1是最后的一个插入位置)
* */
void insert(int k,int x){
if(k<1||k>n+1) return;
for(int i =n;i>=k;i--){
a[i] = a[i-1];
}
a[k-1] = x;
n++;
}
/*
* n也是实际的位置
* */
void delete(int k){
if(k<1||k>n) return;
//后面的元素向前移动
for(int i = k;i<n;i++){
a[i-1] = a[i];
}
n--;
}
void show(){
for (int i=0;i<n;i++){
System.out.print(a[i]+" ");
}
System.out.println();
}
public static void main(String[] args) {
SequenceList list = new SequenceList();
list.init();
list.insert(3,100);
list.insert(0,11);
list.show();
list.delete(1);
list.show();
list.delete(6);
list.show();
}
}
分析时间复杂度


查找



package dataStructure.SequenceList;
public class SequenceList {
final int N = 10; //最大容量
int[] a;
int n; //当前表长
void init(){
a = new int[N];
for (int i = 0;i<N/2;i++){
a[i] = i+1;
}
n = N/2;
for (int i =0;i<n;i++){
System.out.print(a[i]+" ");
}
System.out.println();
}
/*
* k是实际的位置 从1开始到n (n+1是最后的一个插入位置)
* */
void insert(int k,int x){
if(k<1||k>n+1) return;
for(int i =n;i>=k;i--){
a[i] = a[i-1];
}
a[k-1] = x;
n++;
}
/*
* n也是实际的位置
* */
void delete(int k){
if(k<1||k>n) return;
//后面的元素向前移动
for(int i = k;i<n;i++){
a[i-1] = a[i];
}
n--;
}
int getElements(int k){
if(k<1||k>n){
return -1;
}
return a[k-1];
}
void show(){
for (int i=0;i<n;i++){
System.out.print(a[i]+" ");
}
System.out.println();
}
public static void main(String[] args) {
SequenceList list = new SequenceList();
list.init();
list.insert(3,100);
list.insert(0,11);
list.show();
list.delete(1);
list.show();
list.delete(6);
list.show();
System.out.println(list.getElements(1));
}
}
链表


代码实现单链表


不带头节点
不带头节点初始化

package dataStructure.LinkList;
class Node{
int data;
Node next;
Node(int data){
this.data = data;
}
}
public class LinkList {
Node list; //头指针
void init(){
Node n1 = new Node(1);
Node n2 = new Node(2);
Node n3 = new Node(3);
list = n1; //头指针指向头节点
n1.next = n2;
n2.next = n3;
}
void printList(){
Node p = list; //头指针
while (p!=null){
System.out.println(p.data+" ");
p = p.next;
}
System.out.println();
}
public static void main(String[] args) {
LinkList ll = new LinkList();
ll.init();
ll.printList();
}
}
不带头节点插入(k位置的前面插入)
相比带头节点的插入,增加k=1的情况处理(因为k=1,按照之前的判断逻辑就找不到k之前的节点了,不能完成k位置的前面插入)
package dataStructure.LinkList;
//不带头节点
class Node{
int data;
Node next;
Node(int data){
this.data = data;
}
}
public class LinkList {
Node list; //头指针
void init(){
Node n1 = new Node(1);
Node n2 = new Node(2);
Node n3 = new Node(3);
list = n1; //头指针指向头节点
n1.next = n2;
n2.next = n3;
}
boolean insertOld(int k ,Node node){
if(k<1) return false;
//第一个元素
int i = 1;
Node p =list;
while (i<k-1&&p!=null){
i++;
p = p.next;
}
if(p==null) return false;
node.next = p.next;
p.next = node;
return true;
}
boolean insert(int k ,Node node){
if(k<1) return false;
if(k==1){
node.next = list;
list = node;
return true;
}
//第一个元素
int i = 1;
Node p =list;
while (i<k-1&&p!=null){
i++;
p = p.next;
}
if(p==null) return false;
node.next = p.next;
p.next = node;
return true;
}
void printList(){
Node p = list; //头指针
while (p!=null){
System.out.println(p.data+" ");
p = p.next;
}
System.out.println();
}
public static void main(String[] args) {
LinkList ll = new LinkList();
ll.init();
ll.printList();
//之前插入
ll.insertOld(4,new Node(4));
ll.printList();
//之前插入
ll.insertOld(2,new Node(22));
ll.printList();
//如果是第一个位置,无法找到1前面的位置,会导致在后面插入了。。
ll.insertOld(1,new Node(11));
ll.printList();
//1的前面插入
ll.insert(1,new Node(111));
ll.printList();
}
}
优化一下代码逻辑,用变量存储表长。。
时间复杂度


不带头节点删除

package dataStructure.LinkList;
//不带头节点
class Node{
int data;
Node next;
Node(int data){
this.data = data;
}
}
public class LinkList {
Node list; //头指针
void init(){
Node n1 = new Node(1);
Node n2 = new Node(2);
Node n3 = new Node(3);
list = n1; //头指针指向头节点
n1.next = n2;
n2.next = n3;
}
boolean insertOld(int k ,Node node){
if(k<1) return false;
//第一个元素
int i = 1;
Node p =list;
while (i<k-1&&p!=null){
i++;
p = p.next;
}
if(p==null) return false;
node.next = p.next;
p.next = node;
return true;
}
boolean insert(int k ,Node node){
if(k<1) return false;
if(k==1){
node.next = list;
list = node;
return true;
}
//第一个元素
int i = 1;
Node p =list;
while (i<k-1&&p!=null){
i++;
p = p.next;
}
if(p==null) return false;
node.next = p.next;
p.next = node;
return true;
}
//k也是实际位置
boolean delete(int k){
if(k<1) return false;
//删除第一个节点
if(k==1){
list = list.next;
return true;
}
int i = 1;
Node p = list;//指向第一个节点
//先找待插入节点之前的节点
while (i<k-1&&p!=null){
i++;
p = p.next;
}
p.next= p.next.next;
return true;
}
void printList(){
Node p = list; //头指针
while (p!=null){
System.out.print(p.data+" ");
p = p.next;
}
System.out.println();
}
public static void main(String[] args) {
LinkList ll = new LinkList();
ll.init();
ll.printList();
//之前插入
ll.insertOld(4,new Node(4));
ll.printList();
//之前插入
ll.insertOld(2,new Node(22));
ll.printList();
//如果是第一个位置,无法找到1前面的位置,会导致在后面插入了。。
ll.insertOld(1,new Node(11));
ll.printList();
//1的前面插入
ll.insert(1,new Node(111));
ll.printList();
System.out.println("删除第2个节点");
ll.delete(2);
ll.printList();
System.out.println("删除第1个节点");
ll.delete(1);
ll.printList();
}
}
时间复杂度
不带头节点查找


package dataStructure.LinkList;
//不带头节点
class Node{
int data;
Node next;
Node(int data){
this.data = data;
}
}
public class LinkList {
Node list; //头指针
void init(){
Node n1 = new Node(1);
Node n2 = new Node(2);
Node n3 = new Node(3);
list = n1; //头指针指向头节点
n1.next = n2;
n2.next = n3;
}
boolean insertOld(int k ,Node node){
if(k<1) return false;
//第一个元素
int i = 1;
Node p =list;
while (i<k-1&&p!=null){
i++;
p = p.next;
}
if(p==null) return false;
node.next = p.next;
p.next = node;
return true;
}
boolean insert(int k ,Node node){
if(k<1) return false;
if(k==1){
node.next = list;
list = node;
return true;
}
//第一个元素
int i = 1;
Node p =list;
while (i<k-1&&p!=null){
i++;
p = p.next;
}
if(p==null) return false;
node.next = p.next;
p.next = node;
return true;
}
//k也是实际位置
boolean delete(int k){
if(k<1) return false;
//删除第一个节点
if(k==1){
list = list.next;
return true;
}
int i = 1;
Node p = list;//指向第一个节点
//先找待插入节点之前的节点
while (i<k-1&&p!=null){
i++;
p = p.next;
}
p.next= p.next.next;
return true;
}
Node getNode(int k ){
if(k<1) return null;
int i =1;
Node p = list;
while (i<k&&p!=null){
i++;
p = p.next;
}
return p;
}
void printList(){
Node p = list; //头指针
while (p!=null){
System.out.print(p.data+" ");
p = p.next;
}
System.out.println();
}
public static void main(String[] args) {
LinkList ll = new LinkList();
ll.init();
ll.printList();
//之前插入
ll.insertOld(4,new Node(4));
ll.printList();
//之前插入
ll.insertOld(2,new Node(22));
ll.printList();
//如果是第一个位置,无法找到1前面的位置,会导致在后面插入了。。
ll.insertOld(1,new Node(11));
ll.printList();
//1的前面插入
ll.insert(1,new Node(111));
ll.printList();
System.out.println("删除第2个节点");
ll.delete(2);
ll.printList();
System.out.println("删除第1个节点");
ll.delete(1);
ll.printList();
System.out.println(ll.getNode(1).data);
}
}
带头节点
带头节点初始化

package dataStructure.LinkList2;
import dataStructure.LinkList.LinkList;
//带头节点
class Node{
int data;
Node next;
Node(){
System.out.println("调用了空构造");
}
Node(int data){
this.data = data;
}
}
public class LinkList2 {
Node head;//头节点
void init(){
head = new Node();
head.next=null;
Node n1 = new Node(1);
Node n2 = new Node(2);
Node n3 = new Node(3);
head.next = n1;
n1.next = n2;
n2.next = n3;
}
void printList(){
Node p = head.next;//p是指向第一个元素的指针(头节点的下一个元素)
while (p!=null){
System.out.print(p.data+" ");
p = p.next;
}
System.out.println(" ");
}
public static void main(String[] args) {
LinkList2 ll =new LinkList2();
ll.init();
ll.printList();
}
}
带头节点插入(k之前插入)

插入代码如下:

额外引入 i(下标)
package dataStructure.LinkList2;
import dataStructure.LinkList.LinkList;
//带头节点
class Node{
int data;
Node next;
Node(){
System.out.println("调用了空构造");
}
Node(int data){
this.data = data;
}
}
public class LinkList2 {
Node head;//头节点
void init(){
head = new Node();
head.next=null;
}
void printList(){
Node p = head.next;//p是指向第一个元素的指针(头节点的下一个元素)
while (p!=null){
System.out.print(p.data+" ");
p = p.next;
}
System.out.println(" ");
}
//k也是实际位置
boolean insert(int k, Node node) {
if (k<1) return false;
int i =0;
Node p = head;//初始化最开始的位置
//将p指针移动到待插入的位置
while (i<k-1&&p!=null){
i++;
p = p.next;
}
if (p==null) return false;
node.next = p.next;
p.next = node;
return true;
}
public static void main(String[] args) {
LinkList2 ll =new LinkList2();
ll.init();
//开始插入节点
Node n1 = new Node(1);
Node n2 = new Node(2);
Node n3 = new Node(3);
ll.insert(1,n1);
ll.insert(2,n2);
ll.insert(3,n3);
ll.printList();
}
}
在位置K之后插入:
public static void main(String[] args) {
LinkList2 ll =new LinkList2();
ll.init();
//开始插入节点
Node n1 = new Node(1);
Node n2 = new Node(2);
Node n3 = new Node(3);
Node n4 = new Node(22);
ll.insert(1,n1);
ll.insert(2,n2);
ll.insert(3,n3);
//在2位置之后插入
ll.insert(2+1,n4);
ll.printList();
}

优化一下判断逻辑,在头节点里面存储单链表表长
时间复杂度

带头节点删除

先找第k-1个节点。。
指向后继的后继

package dataStructure.LinkList2;
import dataStructure.LinkList.LinkList;
//带头节点
class Node{
int data;
Node next;
Node(){
System.out.println("调用了空构造");
}
Node(int data){
this.data = data;
}
}
public class LinkList2 {
Node head;//头节点
void init(){
head = new Node();
head.next=null;
}
void printList(){
Node p = head.next;//p是指向第一个元素的指针(头节点的下一个元素)
while (p!=null){
System.out.print(p.data+" ");
p = p.next;
}
System.out.println(" ");
}
//k也是实际位置
boolean insert(int k, Node node) {
if (k<1) return false;
int i =0;
Node p = head;//初始化最开始的位置
//将p指针移动到待插入的位置
while (i<k-1&&p!=null){
i++;
p = p.next;
}
if (p==null) return false;
node.next = p.next;
p.next = node;
return true;
}
//k也是实际位置
boolean delete(int k){
if(k<1) return false;
int i = 0;
Node p = head;//指向头节点
//先找待插入节点之前的节点
while (i<k-1&&p!=null){
i++;
p = p.next;
}
p.next = p.next.next;
return true;
}
public static void main(String[] args) {
LinkList2 ll =new LinkList2();
ll.init();
//开始插入节点
Node n1 = new Node(1);
Node n2 = new Node(2);
Node n3 = new Node(3);
Node n4 = new Node(22);
ll.insert(1,n1);
ll.insert(2,n2);
ll.insert(3,n3);
//在2位置之后插入
ll.insert(2+1,n4);
ll.printList();
System.out.println("删除第二个位置元素");
ll.delete(2);
ll.printList();
System.out.println("删除第1个位置元素");
ll.delete(1);
ll.printList();
}
}
时间复杂度

带头节点查找

package dataStructure.LinkList2;
import dataStructure.LinkList.LinkList;
//带头节点
class Node{
int data;
Node next;
Node(){
System.out.println("调用了空构造");
}
Node(int data){
this.data = data;
}
}
public class LinkList2 {
Node head;//头节点
void init(){
head = new Node();
head.next=null;
}
void printList(){
Node p = head.next;//p是指向第一个元素的指针(头节点的下一个元素)
while (p!=null){
System.out.print(p.data+" ");
p = p.next;
}
System.out.println(" ");
}
//k也是实际位置
boolean insert(int k, Node node) {
if (k<1) return false;
int i =0;
Node p = head;//初始化最开始的位置
//将p指针移动到待插入的位置
while (i<k-1&&p!=null){
i++;
p = p.next;
}
if (p==null) return false;
node.next = p.next;
p.next = node;
return true;
}
//k也是实际位置
boolean delete(int k){
if(k<1) return false;
int i = 0;
Node p = head;//指向头节点
//先找待插入节点之前的节点
while (i<k-1&&p!=null){
i++;
p = p.next;
}
p.next = p.next.next;
return true;
}
Node getNode(int k ){
if(k<1) return null;
int i =0;
Node p = head;
while (i<k&&p!=null){
i++;
p = p.next;
}
return p;
}
public static void main(String[] args) {
LinkList2 ll =new LinkList2();
ll.init();
//开始插入节点
Node n1 = new Node(1);
Node n2 = new Node(2);
Node n3 = new Node(3);
Node n4 = new Node(22);
ll.insert(1,n1);
ll.insert(2,n2);
ll.insert(3,n3);
//在2位置之后插入
ll.insert(2+1,n4);
ll.printList();
System.out.println("删除第二个位置元素");
ll.delete(2);
ll.printList();
System.out.println("删除第1个位置元素");
ll.delete(1);
ll.printList();
System.out.println(ll.getNode(1).data);
}
}
循环单链表



尾插
最后尾指针后移
双链表(考察很少)

先找第k-1个节点,然后执行插入操作。

注意非空判断
删除(中间节点)
真题

d
对于a

c
插入操作:(尾节点之后插入)
然后把尾节点加入进来
最后尾节点后移
删除操作:(删除尾节点,需要寻找尾节点之前的节点)
核心代码:

a

a

a

a

b
a
链式存储不用移动

a
栈

栈的顺序存储


top是指向栈顶的下一个位置。。
栈的链式存储


完成入栈操作。。

注意判空条件
完成出栈操作。。

真题

a

b

d
带入一些例子,一个一个去试一试就行。。。

a

a

a
入栈
出栈
栈只有打印所有元素的时候需要变量链表。。。

c

d
栈顶指针一直是指向栈顶元素的下一个元素。。
栈2不插入任何元素,栈1插入4个元素后,栈满。
栈2一直插入元素,栈1不插入任何元素。
也符合
队列

顺序存储队列
判断队列为空:
插入:
出队(删除)
读取队头元素
循环队列
取模运算
同样他,对头出队也是需要取模运算。
判空就得用size计数了。。
链式存储队列

入队
出队(返回出队的节点)
对于只有一个元素的出队。。(需要移动队尾指针了)
结合起来出队的完整代码就是:
获取对头元素
双端队列

真题

d

d

b

d

d
在对于B.D进一步的去验证。。

a

a

b
栈结合队列题目
队列的出对序列就是他的入队序列;同时也是栈的出栈序列。


D
对于B,插入
B删除
都是O1
对于D
2栈可以模拟队列,反之不行。。

d

c

b

b

c
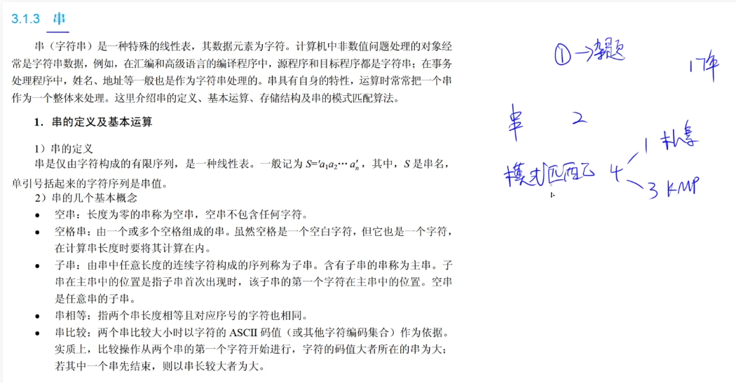
串

真题

c

d
计算公式来源:
串的模式匹配
朴素算法

返回起始位置

进一步匹配
匹配成功
加上限制条件

完整代码如下:
时间复杂度
平均的时间复杂度:
KMP算法

前缀:
后缀:
计算不同位置的next值:

再一个例子:
真题

b

b
(之间有那个KMP前后缀的方法套就行。。)

a

b
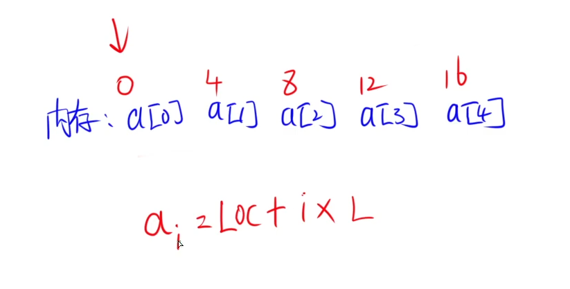
数组
一维数组
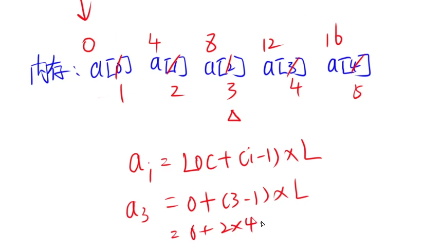
带首地址的计算第i个元素的地址:
不带首地址的计算第i个元素的地址:
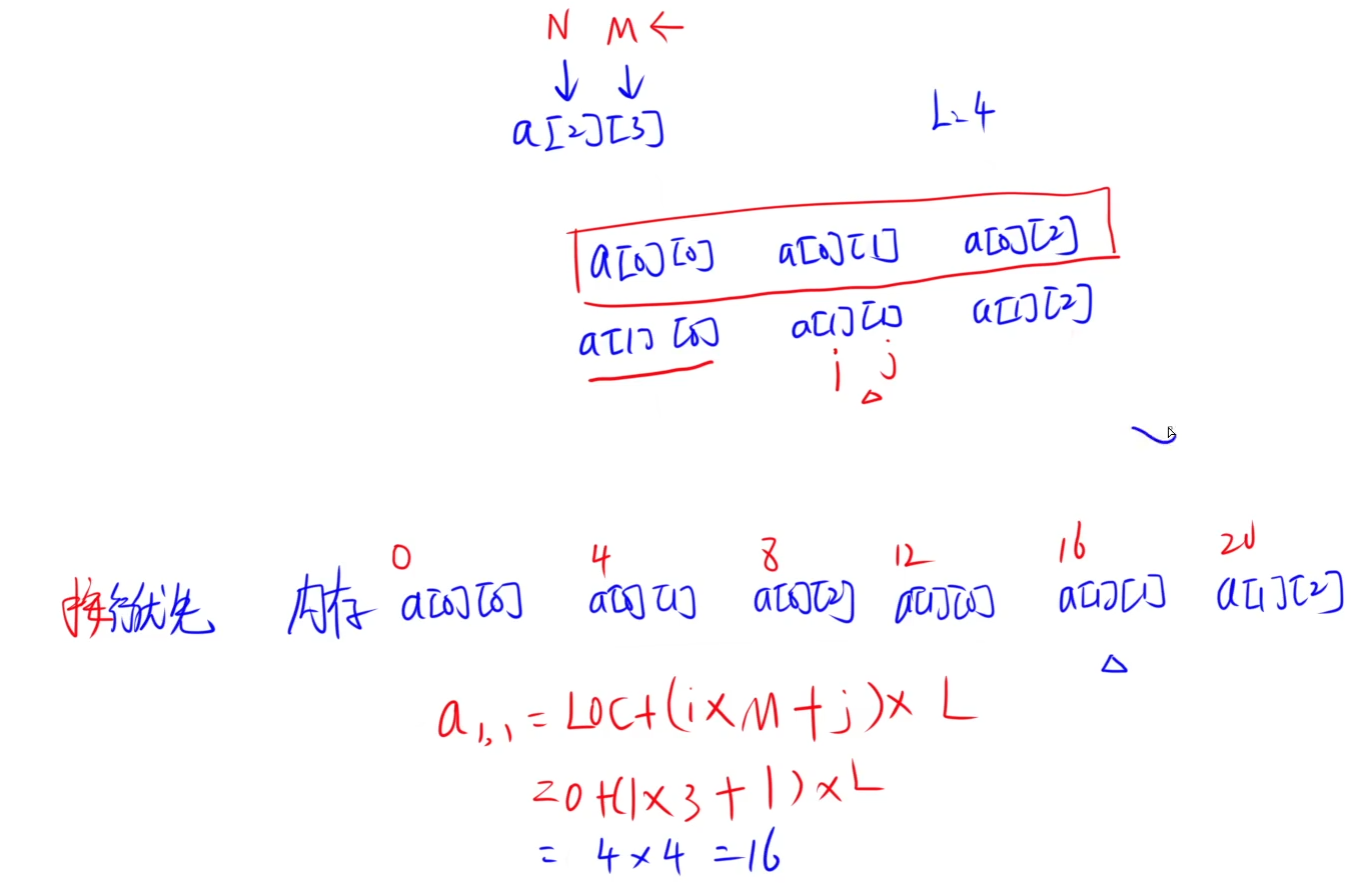
二维数组

行优先存储:
下标从0开始
下标从1开始:
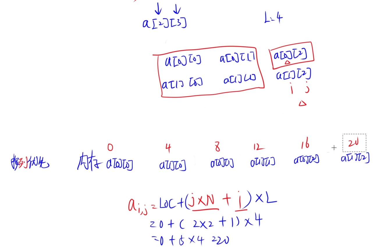
列优先存储:
下标从0开始:

下标从1开始:

总结
当i==j的时候,按行存储和按列存储的偏移量是一样的。
真题

c

b

b
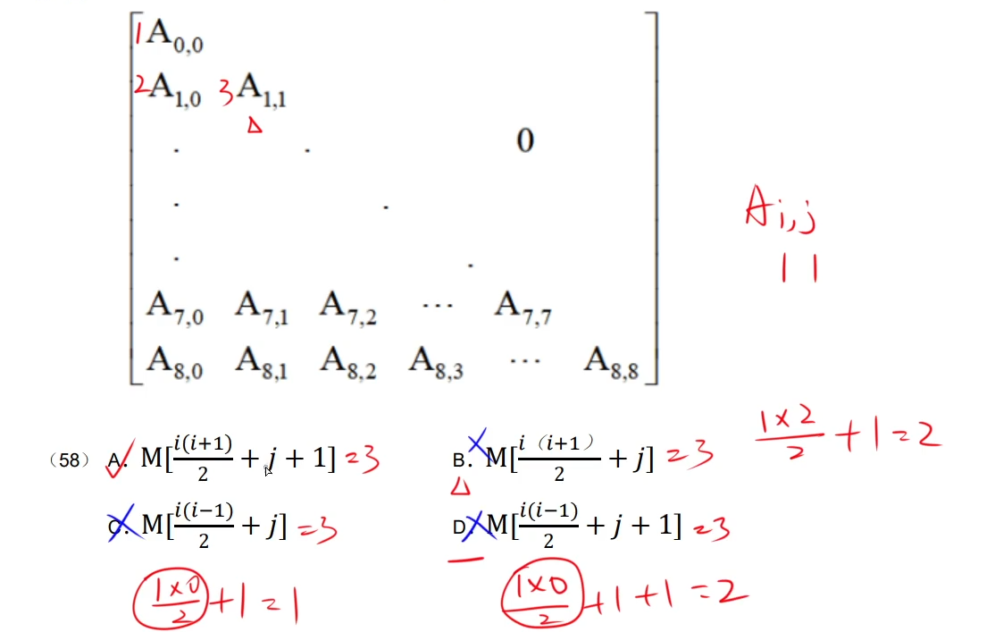
矩阵
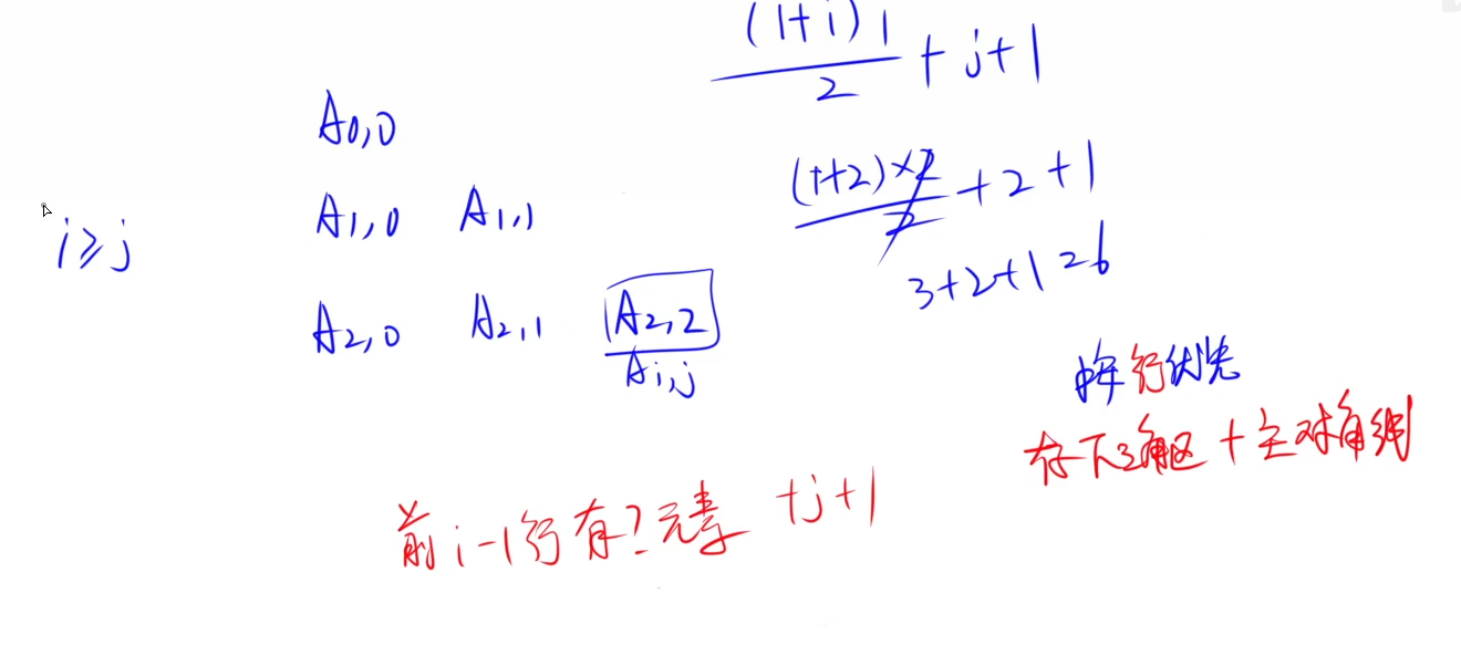
对称矩阵

对称矩阵压缩为一维数组:
存储的元素个数:


下标从0开始,i>=j(下三角)
下标从0开始,j>=i(上三角)
交换i和J就行
总结
当下标从1开始:
三对角矩阵

按行存储


总结
稀疏矩阵
三元组表
十字链表
真题

a
也可代入一个数字去运算。。

a

a
带入一个值计算一下

c

d

b
注意:i小于j,是上三角

b
树

基本概念

树的度:树中节点度的最大值。
性质

第一个例子
第二个例子



带入每一层节点的数量,再等比求和。
例子:

例子:
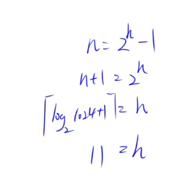
例子2:
需要上取整。最小高度为3
真题

b

c
叶子节点的度为0
一共两种节点:度为0的节点和度为k的节点
二叉树的定义

性质

满二叉树和完全二叉树

关于二叉树性质4:

真题

b
带入具体的数值来计算(注意区分下取整符号和上取整的符号)
对于B的一个不成立的例子

d

d

d

c

C
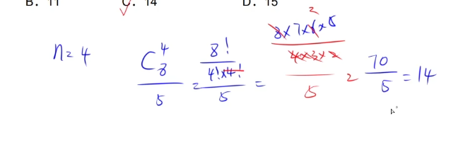
如果有5个节点:

d
最高 1024
最低(完全二叉)
带入公式
或者用性质2求出区间
二叉树顺序存储
数组来存储
完全二叉树利用率高,非完全二叉树利用率低

二叉树链式存储

空指针的数量:
对于n个节点的二叉链表,一共有:个空指针
对于三叉链表来说:
n个节点的三叉链表的空指针域为:
为n+2个空指针域
真题

a

d
b
三叉链表中,指针的数量是当前图片中的线段数乘以2
指针为10个
6个节点,每个节点的指针为3,一共为18个指针
空指针为18-10=8个空指针
或者直接用公式:n+2

c

d
二叉树遍历算法
先序遍历

中序遍历

后序遍历

层序遍历


一个小小的汇总:
根据遍历序列构造二叉树
中序是必不可少的

先序+中序构造二叉树
1:
2:
3:
4:
5:
6:
后序+中序构造二叉树
1:
2:
3:
4:
5:
6:
层序+中序构造二叉树
1:
2:
3:
4:
5:
6:

7:
真题

c
b

a

d
方法一:通过根节点的位置来判断
我的方法:
7开始,所以必然是右开头
然后根节点在中间
就是:右根左

b
1:
2:
3:
4:
5:
6:

b

c
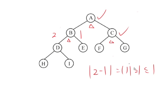
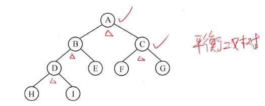
平衡二叉树

对于a节点
对于C节点
对于B节点
因此,此二叉树为平衡二叉树:
同时也是完全二叉树
完全二叉树是平衡二叉树
平衡二叉树不一定是完全二叉树,例子如下:
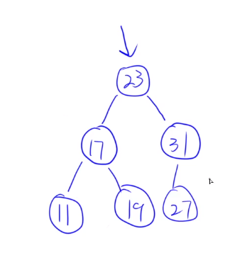
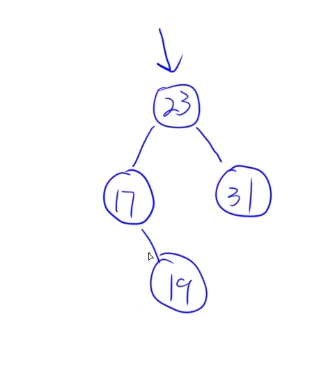
二叉排序树

中序遍历二叉排序树就是有序序列
二叉排序树的构造
关键字序列的第一个元素为根节点:
1:
2:
3:
4:
5:
6:
7:
8:
9:
真题

c

c
找5

c

d对了

b
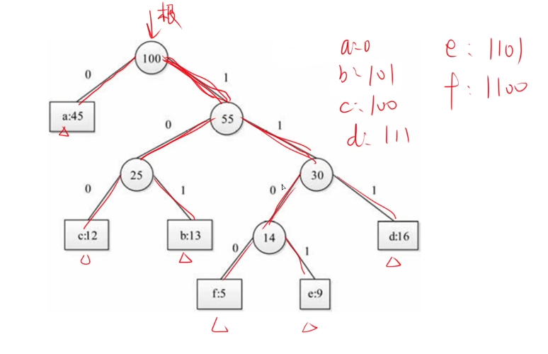
最优二叉树

路径长度:
节点的带权路径长度:
树的带权路径长度:
哈夫曼树:

其中,b为哈夫曼树
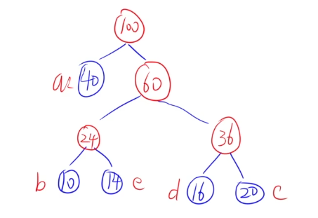
构造最优二叉树

1:
2:
3:
4:
5:
6:
树的带权路径长度为:
最优二叉树的概念

权值大的节点距离根节点进,权值小的节点距离根节点远

叶子节点是存在的节点,分支节点是构造出来的节点

根据之前的公式:
最优二叉树的构造规则

0:
1:
2:
3:
4:
结束:
一个例子:








两个例子:

哈夫曼编码
定义

等长编码:
编码方法如下:
左分支标0,右分支标1
编码为:
译码过程为:
一个例子如下:
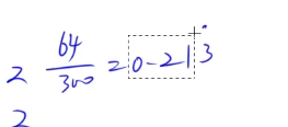
压缩比

压缩比:
等长编码-哈夫曼编码/等长编码
真题

b

c

c

b
等长编码:
哈夫曼编码:
压缩比:

d(之前的性质里面讲了)

b
a

ac

a

等长编码为:
哈夫曼编码为:
压缩比为:

d
哈夫曼树的节点的度为0或者2(不存在只有一个子树的节点)

a
a
线索二叉树

c的直接前驱是b
c的直接后继是a
节点没有左右孩子就直接向直接前驱和后继
节点d:
d有右孩子,指向e,值为0
d没有左孩子,指向直接前驱a,值为1
线索二叉树就是普通二叉树的基础上,改变了一下存储结构
二叉树类别

真题

a
完全二叉树一定是平衡二叉树

c
最优二叉树只有度为0和度为1的节点

b
图

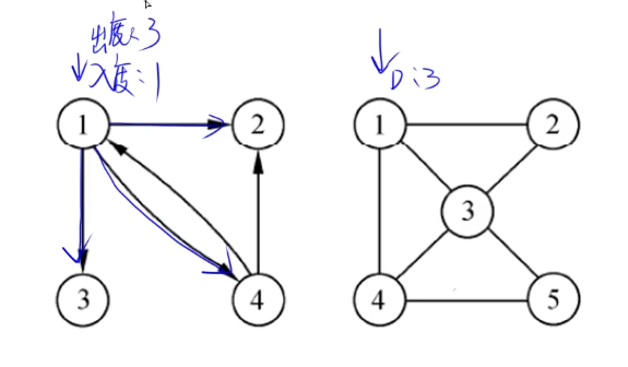
有向图和无向图

完全图



顶点的度

度:无向图
出度和入度:有向图
对于无向图来说:
度 为 边的数量乘以2
有向图同理:
路径


连通图和强连通图

最多和最少边的问题:
多的情况参照完全图
真题

d

b
图的存储
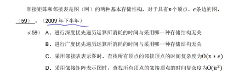
邻接矩阵


邻接表



关于无向图:
稠密图和稀疏图
邻接表适合存储稀疏图
邻接矩阵适合存储稠密图
真题

c

c

a

a
b
网

图的遍历

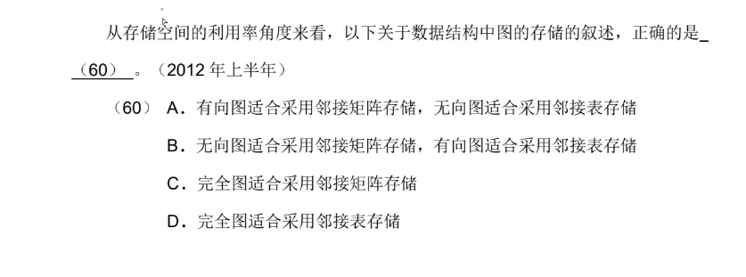
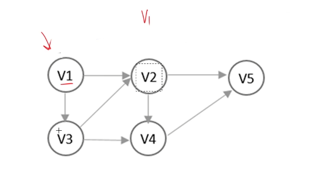
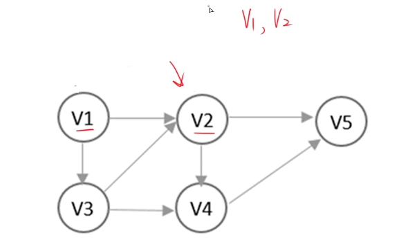
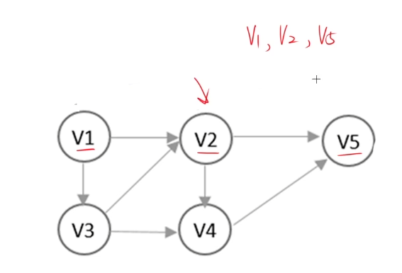
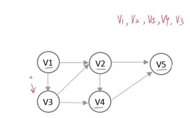
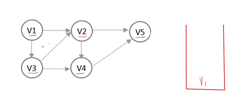
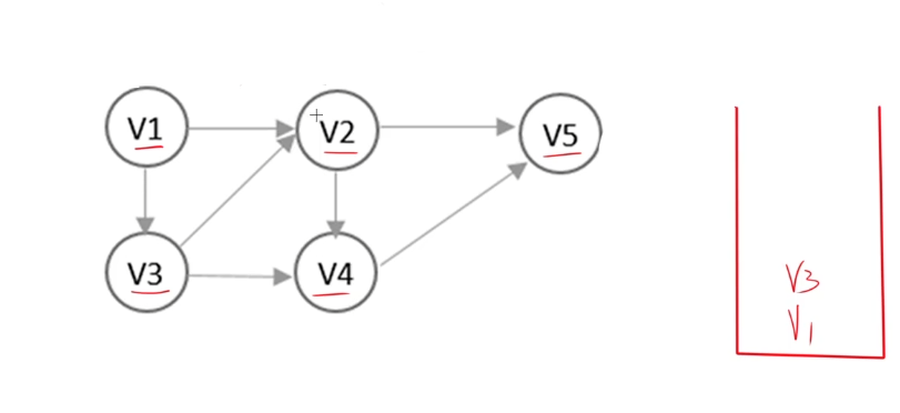
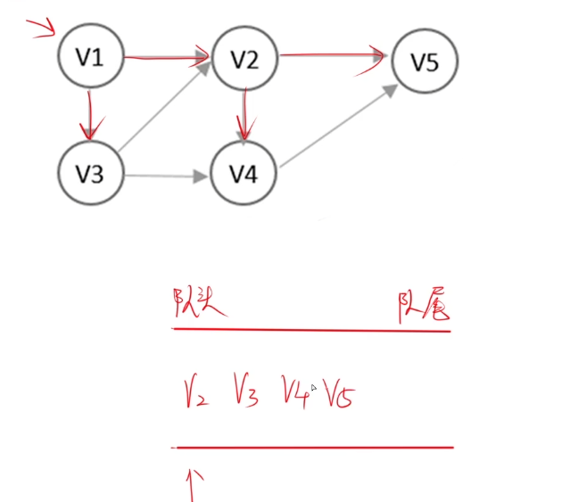
深度优先遍历(DFS)

关键是回溯操作,,

2.

4. (v5没有后续的节点了,回溯到v2)

6.(v4的后续节点也都被访问过了,继续回溯到v2)
7.(v2都后续节点也都被访问过了。继续回溯到v1)
8.
9.(v3的后续节点都被访问过了,回溯到v1)
结束遍历
递归调用的存储结构图如下:







时间复杂度
对于有向图:
采用递归的思想求解的
对于无向图:
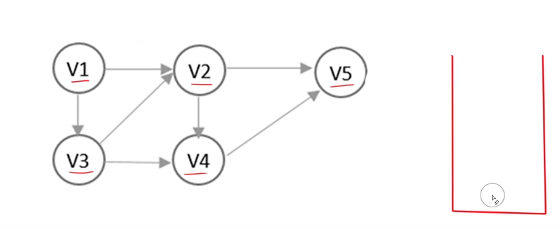
广度优先遍历(BFS)


队列来实现的

2.
3.
4.
5.
6.
时间复杂度


真题

深度优先遍历和广度优先遍历的时间复杂度相同,只是和存储结构相关

c

a

a

b
a
强连通图:1是有向图 2任意两个节点之间存在路径

d
b
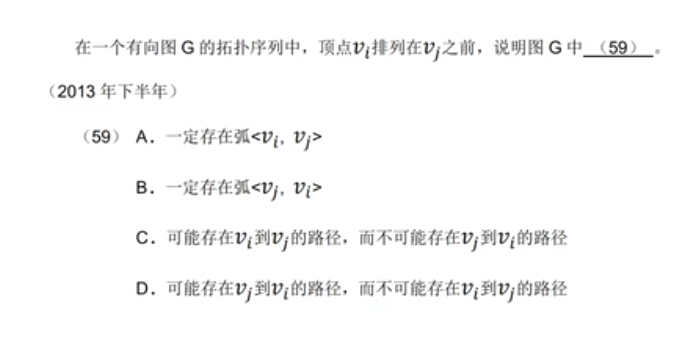
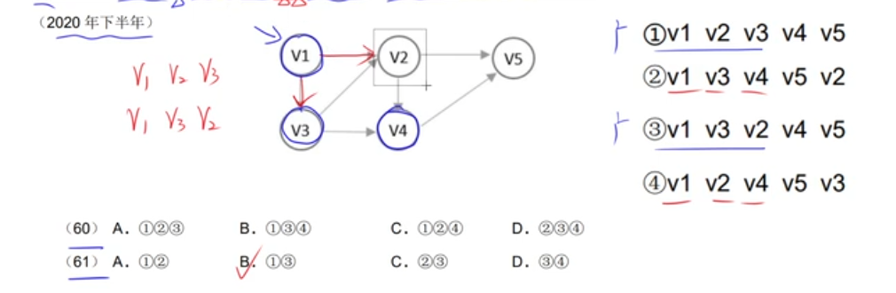
拓扑排序

aov网:有向无环图




真题

a

c

c

a

b
总结

更多推荐



















成立




















































































































个空指针










































































































































所有评论(0)