冒泡排序(详解)
冒泡排序冒泡排序(Bubble Sort),是一种计算机科学领域的较简单基础的排序算法。其基本思路是,对于一组要排序的元素列,依次比较相邻的两个数,将比较小的数放在前面,比较大的数放在后面,如此继续,直到比较到最后的两个数,将小数放在前面,大数放在后面,重复步骤,直至全部排序完成。这个算法的名字由来是因为越大的元素会经由交换慢慢“浮”到数列的顶端(升序或降序排列),就如同碳酸饮料中二氧化碳的气泡最
冒泡排序
冒泡排序(Bubble Sort),是一种计算机科学领域的较简单基础的排序算法。其基本思路是,对于一组要排序的元素列,依次比较相邻的两个数,将比较小的数放在前面,比较大的数放在后面,如此继续,直到比较到最后的两个数,将小数放在前面,大数放在后面,重复步骤,直至全部排序完成。
这个算法的名字由来是因为越大的元素会经由交换慢慢“浮”到数列的顶端(升序或降序排列),就如同碳酸饮料中二氧化碳的气泡最终会上浮到顶端一样,故名“冒泡排序”。
冒泡排序算法的原理如下:
-
假设一共有M个元素需要排序,比较相邻的元素。如果第一个比第二个大(或小),则进行交换。
-
按照既定顺序,对每一对相邻元素做同样的工作,从开始第一对到结尾的最后一对。第一轮比较完成以后,最后的元素应该会是整个元素列中最大(或最小)的数。
-
第N(N<M)轮比较结束后,会有N个元素已经被放置在正确的顺序位置,即每轮排序的最后一个元素,针对所有的剩余的元素(M-N)重复以上的步骤。
-
持续每次对越来越少的元素重复上面的步骤,直到没有任何一对数字需要比较。
算法示意图
代码实现
#include<stdio.h>
//冒泡排序由大到小
int sort(int *a,int n)
{
int end = n;
while (end>0)
{
int m = 0;
int i = 0;
while (i < end-1)
{
//将a[i]与a[i+1]交换
if (a[i] < a[i + 1])
{
//使用异或操作符
a[i] = a[i] ^ a[i + 1];
a[i + 1] = a[i] ^ a[i + 1];
a[i] = a[i] ^ a[i + 1];
m = 1;
}
++i;
}
//如果一个循环以后没有交换则说明已经有序,退出最外层循环
if (m == 0)
{
break;
}
//一个循环以后最小的已经被排到最后,所以再次进入循环则少比较一次
--end;
}
return 0;
}
//打印一个数组
int print(int *a,int n)
{
int i;
for (i = 0; i < n; ++i)
{
printf("%d ", a[i]);
}
printf("\n");
return 0;
}
int main()
{
int a[] = { 3, 4, 2, 6, 6, 7, 8, 4, 5, 6, 7, 9, };
int n = sizeof(a) / sizeof(int);//整型为四个字节
print(a, n);//排序前
sort(a, n);
print(a, n);//排序后
return 0;
}
算法分析
时间复杂度
若文件的初始状态是正序的,一趟扫描即可完成排序。所需的关键字比较次数和记录移动次数均达到最小值

所以,冒泡排序最好的时间复杂度为。
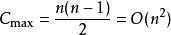
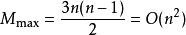
若初始文件是反序的,需要进行趟排序。每趟排序要进行次关键字的比较(1≤i≤n-1),且每次比较都必须移动记录三次来达到交换记录位置。在这种情况下,比较和移动次数均达到最大值:

冒泡排序的最坏时间复杂度为
综上,因此冒泡排序总的平均时间复杂度为
算法稳定性
冒泡排序就是把小的元素往前调或者把大的元素往后调。比较是相邻的两个元素比较,交换也发生在这两个元素之间。所以,如果两个元素相等,是不会再交换的;如果两个相等的元素没有相邻,那么即使通过前面的两两交换把两个相邻起来,这时候也不会交换,所以相同元素的前后顺序并没有改变,所以冒泡排序是一种稳定排序算法。
更多推荐


所有评论(0)