信号与系统(四)
一、基本系统性质一)、记忆系统与无记忆系统1、无记忆系统如果对自变量的每一个值,一个系统的输出仅仅取决于该时刻的输入。1)、一个特别简单的系统就是所谓的恒等系统,系统的输出就是输入。对连续时间恒等系统而言,其输入输出关系是相应地,在离散时间情况下就是2、记忆系统在一个系统中记忆的概念相应于该系统具有保留或存储不是当前时刻输入信号的功能。1)、离散时间记忆系统一个例子是累加器或相加器。第二个例子是延
注:本博客是基于奥本海姆的《信号与系统》第二版编写,主要是为了自己考研,准备专业课。
(转载:https://blog.csdn.net/Explorer_day/article/details/77177542)
一、基本系统性质
1、记忆系统与无记忆系统
①无记忆系统
如果对自变量的每一个值,一个系统的输出仅仅取决于该时刻的输入。
tips:一个特别简单的系统就是所谓的恒等系统,系统的输出就是输入。
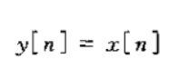
对连续时间恒等系统而言,其输入输出关系是
相应地,在离散时间情况下就是
②记忆系统
在一个系统中记忆的概念相应于该系统具有保留或存储不是当前时刻输入信号的功能。
tips:离散时间记忆系统一个例子是累加器或相加器。
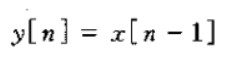
第二个例子是延迟单元。
2、可逆性与可逆系统
①可逆与可逆系统
一个系统如果在不同的输入下,导致不同的输出,就称该系统是可逆的。如果一个系统是可逆的,那么就有一个逆系统存在,当该系统与原系统级联后,就会产生一个输出w[n],等于第一个系统的输入x[n]。
例子:
可逆系统: y(t)=2x(t) 其逆系统为 w(t)=1/2y(t)
不可逆系统:y[n] = 0 其对任何输入序列来说都产生零输出序列、y(t)=x(t)^2 其无法根据输出来确定输入的正负号
即:可逆/不可逆系统取决于输入与输出是否能够一一对应
3、因果性
如果一个系统在任何时刻的输出只取决于现在的输入及过去的输入,该系统就称为因果系统。这样的系统往往也称为不可预测的系统,因为系统的输入无法预测将来的输入值。
1)对于一个因果系统,若两个输入直到某一时间t0或n0以前都是相同的,那么在这同一时间以前相同的输出也一定相等。
2)所有的无记忆系统都是因果性的。
tips:检验因果性方法
①当检验一个系统的因果性时,重要的是仔细看看系统的输入-输出关系。如y[n] = x[-n]
②当检验一个系统的因果性时,另一点也很重要,就是把输入信号的影响仔细地与系统定义中所用到的其他函数的影响区分开来。如y(t) = x(t)cos(t+1)
4、稳定性
一个稳定系统,若其输入是有界的(即输入的幅度不是无界增长的),则系统的输出也必须是有界的。
tips:检验稳定性方法
① 如果怀疑某一系统是不稳定的,那么一种实用的办法是力图找一个特定的有界输入而使输出无界。如果这样的例子找起来困难或不存在,那么就必须用一种方法检验它的稳定性,不过这时就不能再用某些特殊输入信号的例子。
②为寻找一个特殊的反例来证明系统是不稳定的,可以用一个常数或阶跃输入这样的简单有界输入来试试。
5、时不变系统
若系统的特性和行为不随时间而变,该系统就是时不变的。
时不变系统的描述:
如果再输入信号上有一个时移,而在输出信号中产生同样的是移,那么这个系统就是时不变的,也就是说;
1)若y[n]是一个离散时间时不变系统在输入为x[n]时的输出,那么当输入为x[n-n0]时,输出就为y[n-n0]。
2)在连续时间情况下,y[t]是相应输入为x[t]时的输出,一个时不变系统就一定有当输入为x[x-t0]时,输出为y[x-t0]的结果。
6、线性
①线性系统
线性系统(连续时间或离散时间)具有的一种重要性质就是叠加性质。即如果一个输入由几个信号的加权和组成,那么输出也就是系统对这组信号中每一个的响应的加权和。
更准确的说,令y1(t)是一个连续时间系统对输入x1(t)的响应而y2(t)是对应于x2(t)的输出,那么一个线性系统就应该有:
1)y1(t)+y2(t)是对x1(t)+x2(t)的响应。
2)ay1(t)是对ax1(t)的响应,此处a为任意常数。
其中1)称为可加性,2)称为比例性或齐次性。
注意:一个系统可以使线性的,而不必是时不变的;同样,系统是时不变的却不一定是线性的。两者之间没有特定关系
② 把定义一个线性系统的两个性质结合在一起,可以简单写成:
连续时间
离散时间
其中,a和b都是任何复数。
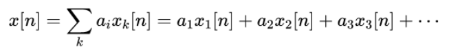
而且,从线性的定义可直接证明出:如果xk[n],k=1,2,3…是某一个离散时间线性系统的一组输入,其相应的输出为yk[n],k=1,2,3…,那么对这一组输入的线性组合,即
的响应就是
这个很重要的试试就称为叠加性质,对连续时间和离散时间都成立。
更多推荐

所有评论(0)