matlab小波变换学习入门
备注:为了完成课程作业的笔记,内部不连贯,但是足够实用一:一维小波变换的 matlab 实现1、dwt 函数:功能:一维离散小波变换格式:[cA,cD]=dwt(X, 'wname')——使用指定的小波基函数 ‘wname’ 对信号X进行单层分解,求得的近似系数存放在数组cA中,细节系数存放在数组cD中[cA,cD]=dwt(X,Lo_D,Hi_D)——使用指定的滤波器组 Lo_D、Hi_D 对信
备注:为了完成课程作业的笔记,内部不连贯,但是足够实用
一:一维小波变换的 matlab 实现
1、dwt 函数:
功能:一维离散小波变换
格式:[cA,cD]=dwt(X, 'wname')——使用指定的小波基函数 ‘wname’ 对信号X进行单层分解,求得的近似系数存放在数组cA中,
细节系数存放在数组cD中
[cA,cD]=dwt(X,Lo_D,Hi_D)——使用指定的滤波器组 Lo_D、Hi_D 对信号X进行分解
说明:cA 是近似分量;cD 是细节分量;Lo_D 是低通分解滤波器系数;Hi_D 是高通分解滤波器系数
2、idwt 函数:
功能:一维离散小波反变换
格式:X=idwt(cA,cD,'wname')
X=idwt(cA,cD,'Lo_R,Hi_R')
X=idwt(cA,cD,'wname',L)
X=idwt(cA,cD,Lo_R,Hi_R,L)
说明:X=idwt(cA,cD,'wname') 由近似分量 cA 和细节分量 cD 经小波反变换重构原始信号 X,‘wname’ 是所选小波
X=idwt(cA,cD,'Lo_R,Hi_R') 用指定的重构滤波器 Lo_R 和 Hi_R 经小波反变换重构原始信号 X
X=idwt(cA,cD,'wname',L) 和 X=idwt(cA,cD,Lo_R,Hi_R,L) 指定返回信号 X 中心附近的 L 个点
3、wavedec 函数:
格式:[C,L]=wavedec(X,N,'wname')
利用小波 'wname' 对信号 X 进行多层分解,返回的近似系数和细节系数都存放在C中,即C=[cA,cD],L存放是近似和各阶细节系
数对应的长度
4、补充:
dwt2 是二维单尺度小波变换,其可以通过指定小波或者分解滤波器进行二维单尺度小波分解
dwt2 的一种语法格式是 [cA,cH,cV,cD]=dwt2(X,'wname')
wavedec2 是二维多尺度小波分解
wavedec2 的语法格式是 [C,S]=wavedec2(X,N,'wname'),其中 N 为大于1的正整数
也就是说, dwt2 只能对某个输入矩阵 X 进行一层分解,而 wavedec2 可以对输入矩阵 X 进行 N 层分解
二、信号重构:
wrcoef2 函数是用来重建一幅图像的系数,其实就是根据小波分解之后的系数 c 来重建其对应的图像。重建好的图像的尺度与原
始图像一致。即无论你要重构哪个层的系数,最终它的维度都是和原始图像的尺度一致。其调用形式如下:
(1) X = wrcoef2(‘type’,c,s,’wname’,N)
(2) X = wrcoef2(‘type’,c,s,Lo_R,Hi_R,N)
(3) X = wrcoef2(‘type’,c,s,’wname’)
(4) X = wrcoef2(‘type’,c,s,Lo_R,Hi_R)
第一种调用形式的参数说明:
type :指定要进行重构的小波系数,如 a –近似图像 ; h – 水平高频分量; v – 垂直高频分量; d–对角高频分量;
c: 是小波分解函数 wavedec2 分解的小波系数;
s: 是 wavedec2 分解形成的尺度;
wname :指定小波基;
N :指定重构的小波系数所在的层。
而形式(3)则是默认重构最大层的系数,N = size(S,1)-2。
对于形式(2)Lo_R 是重建低通滤波器,Hi_R 是重建高通滤波器,形式(4)的默认层数同上面所述一样。
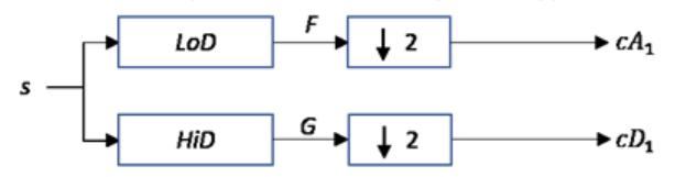
三、关于对一维离散小波变换的理解:
这部分转自博客:一维离散小波变换过程
1、对于一维离散小波变换的理解:
1).一维小波变换的输入变量是一个【1×n】的矩阵,你也可以把它理解为信号、函数等等
2).进行离散小波变换需要预先指定两个滤波器,一个是高通滤波器、另一个是低通滤波器
3).将输入的一维向量和滤波器的系统函数卷积得到两个卷积的结果
4).得到的两个结果分别进行系数为2的下采样得到两个分量。从低通滤波器获得的分量称为【近似分量】,从高通滤波器获得的
分量称为【细节分量】
一维离散小波变换的框图可以如下所示:

四、解决作业:
作业描述:基于MATLAB,针对一维信号(可用matlab工具箱自带信号sumsin.mat),实现一维离散小波变换,选用Daubechies小波(如db3)函数,进行五层分解,并对第5层到第1层的低频、高频系数分别进行重构。
1、Daubechies小波:
Daubechies 小波是常用的小波函数之一。小波变换中,通常使用小波系数来选择小波基函数,小波变换后的系数比较大,就表明
小波和信号的波形相似程度较大;反之则比较小。另外根据信号处理的目的来决定尺度的大小,如果小波变换仅仅反映信号整体
的近似程度,往往选用比较大的尺度;反映信号细节的变换则选用尺度不大的小波。
db 小波是小波家族中的一部分,称为 Daubechies 极限相位小波,db 后面的数字表示的是消失矩;一般来说,消失矩的数字越
大,这个小波越光滑,频域的局部化能力就越强,频带的划分效果越好,但是会使时域紧支撑性减弱,同时计算量大大增加,实
时性变差。另外,除 N=1 外,dbN 小波不具有对称性(即非线性相位),即在对信号进行分析和重构时会产生一定的相位失真。
dbN 没有明确的表达式(除了 N=1 外,N=1 时即为 Haar 小波)。
对于 db 小波族的小波函数可以如下图所示:

更多推荐

所有评论(0)