逻辑回归算法
目录引言一、逻辑回归算法的原理1.1 预测函数1.2 损失函数(代价函数)二、案例实现2.1 梯度下降法实现线性逻辑回归2.2 sklearn实现线性逻辑回归引言逻辑回归算法的名字里虽然带有“回归”二字,但实际上逻辑回归算法是用来解决分类问题的算法。线性回归和逻辑回归相当于一对“孪生兄弟”,本文将从二分类入手,介绍逻辑回归算法的预测函数、损失函数(代价函数)和梯度下降算法公式,小伙伴们可以不断联想
引言
逻辑回归算法的名字里虽然带有“回归”二字,但实际上逻辑回归算法是用来解决分类问题的算法。线性回归和逻辑回归相当于一对“孪生兄弟”,本文将从二分类入手,介绍逻辑回归算法的预测函数、损失函数(代价函数)和梯度下降算法公式,小伙伴们可以不断联想线性回归与逻辑回归的区别与联系。
一、逻辑回归算法的原理
假设有一场球赛,我们有两支球队的所有出场球员信息、历史交锋成绩、比赛时间、主客场、裁判和天气等信息,根据这些信息预测球队的输赢。假设比赛结果记为y,赢球标记为1,输球标记为0,这就是一个典型的二元分类问题,可以用逻辑回归算法来解决。
从这个例子里可以看出,逻辑回归算法的输出y ∈ { 0 , 1 } 是个离散值,这是与线性回归算法的最大区别。
1.1 预测函数
需要找出一个预测函数模型,使其值输出在[ 0 , 1 ]之间。然后选择一个基准值,如0.5,如果算出来的预测值大于0.5,就认为其预测值为1,反之则其预测值为0。我们选择g(z) = 1 1 + e − z \frac 1{1+e^{-z}} 1+e−z1来作为预测函数。函数g ( z ) 称为Sigmoid函数,也称为Logistic函数。图像如下:
当z=0时,g(z)=0.5。
当z>0时,g(z)>0.5,当z越来越大时,g(z)无限接近于1。
当z<0时,g(z)<0.5,当z越来越小时,g(z)无限接近0。
对二分类来说,这是一个非黑即白的世界。
这正是我们想要的针对二元分类算法的预测函数。问题来了,怎样把输入特征和预测函数结合起来呢?

总结起来就是:
举个栗子:
那么
这个看起来是不是很像我们中学学过的线性规划,没错,线性规划是已知了约束条件(决策边界)和目标函数,让我们寻找最优解的过程,而逻辑回归则是寻找决策边界的过程,。
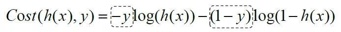
1.2 损失函数(代价函数)
我们不能使用线性回归模型的损失函数来推导逻辑回归的损失函数,因为那样的损失函数太复杂,最终很可能会导致无法通过迭代找到损失函数值最小的点。为了容易地求出损失函数的最小值,我们分成y=1和y=0两种情况分别考虑其预测函数值与真实值的误差。我们先考虑最简单的情况,即计算某一个样本(x,y)的预测值与真实值的误差,损失函数如下:
其中, h θ ( x ) h_θ(x) hθ(x)表示预测为1的概率,这样不管实际是y=0还是y=1,损失函数的值都是最小。虽然这样可以表示,但是还要分类讨论,还是太麻烦,于是,我们引入了下面这个函数。
嘿嘿嘿,是不是瞬间丝滑了很多,这样,就不用分类讨论了。
我们简化一下损失函数,得到:
由线性回归的章节我们知道,我们的目标是找到某θ使损失函数最小,即 m i n θ J ( θ ) min_\theta J(\theta) minθJ(θ),实现的方法也是使用梯度下降算法,即 θ j = θ j − α ∂ J ( θ ) ∂ θ j \theta_j = \theta_j - \alpha \frac {\partial J(\theta)}{\partial \theta_j} θj=θj−α∂θj∂J(θ)。那么关键就是如何求损失函数对θ的梯度 ∂ J ( θ ) ∂ θ j \frac {\partial J(\theta)}{\partial \theta_j} ∂θj∂J(θ)。推导过程如下(需具备一定的高等数学基础):
二、案例实现
接下来我们通过分别手动梯度下降法和调用sklearn接口实现逻辑回归。
2.1 梯度下降法实现线性逻辑回归
- 首先导入需要用到的库并导入数据集(本地数据)。
import numpy as np
import matplotlib.pyplot as plt
# 读取数据
data = np.genfromtxt("LR-testSet.csv",delimiter=",")
data
# 特征:选择前两列
x_data = data[:,:-1]
# 标签:y
y_data = data[:,-1]
- 将数据集可视化展示。
"""
可视化
- y_data为0是一个类别,圆
- y_data为1是一个类型,叉
实现:
- 构建x1,x2
"""
def plot_logi():
# 初始化列表
x_0 = []
y_0 = []
x_1 = []
y_1 = []
# 切分不同类别的数据
for i in range(len(x_data)):
# 取类别为0的数据
if y_data[i] == 0:
# 将特征1添加到x_0中
x_0.append(x_data[i,0])
# 将特征2添加到y_0中
y_0.append(x_data[i,1])
else:
# 将特征1添加到x_1中
x_1.append(x_data[i,0])
# 将特征2添加到y_1中
y_1.append(x_data[i,1])
# 画图
plt.scatter(x_0,y_0,c="skyblue",marker="o",label="class0")
plt.scatter(x_1,y_1,c="red",marker="x",label="class1")
plt.legend()
plot_logi()
plt.show()
如图所示:
3. 对数据进行处理,划分为特征和标签,并考虑到常数项,给X添加一列全为1的数据。
# 特征:选择前两列
x_data = data[:,:-1]
# 标签:y
y_data = data[:,-1]
# θ^T*X 给X添加一列全为1的数据
X_data = np.concatenate((np.ones((len(x_data),1)),x_data),axis=1)
- 定义sigmoid函数、损失函数以及梯度下降求解函数。
# 定义sigmoid函数 x=θ^T*X
def sigmoid_(x):
return 1/(1+np.exp(-x))
# 定义损失函数 xMat:x_data矩阵 yMat:y_data矩阵 ws:参数向量的转置
def cost_(xMat,yMat,ws):
# 进行相乘
left = np.multiply(yMat,np.log(sigmoid_(xMat*ws)))
right = np.multiply(1-yMat,np.log(1-sigmoid_(xMat*ws)))
# 进行求和 除以样本的个数
return np.sum(left+right)/-(len(xMat))
# 定义梯度下降求解θ
def gradAscent(xArr,yArr):
# 将ndarry类型转为矩阵
xMat = np.mat(xArr)
yMat = np.mat(yArr)
# 初始化学习率
lr = 0.001
# 初始化迭代次数
epochs = 10000
# 取出 样本个数m 以及 特征个数n
m,n = np.shape(xMat)
# 初始化的θ --> θ^T*xMat θ0*x0+θ1*x1+θ2*x2
ws = np.mat(np.ones((n,1)))
# 初始化损失列表
costList = []
# 迭代
for i in range(epochs+1):
# 求导
# 1.h(x) 100*3 3*1 --> 100*1 -->每个样本都有一个h(x)
h = sigmoid_(xMat*ws)
# print(f"xMat shape:{np.shape(xMat)}")
# print(f"ws shape:{np.shape(ws)}")
# 矩阵乘法:n*m m*1 --> n*1 -->
# xMat:m*n 3*100 m*1 1*100
# h-->预测值 (m*1)
# yMat-->真实值 (m*1)
ws_grad = xMat.T*(h - yMat.T)/m
# print(f"xmat.T shape{np.shape(xMat.T)}")
# print(f"yMat shape{np.shape(h - yMat.T)}")
# print(np.shape(ws_grad))
# 更新ws-->theta向量
ws = ws - lr*ws_grad
if i%50 == 0:
costList.append(cost_(xMat,yMat,ws))
# 返回theta向量ws,以及损失列表
return ws,costList
- 训练模型。
# 训练模型
ws,costList = gradAscent(X_data,y_data)
print(ws)
输出参数结果:
[[ 5.43584839]
[ 0.58587197]
[-0.78304626]]
- 将结果可视化。
"""
可视化
- 横轴:x1
- 纵轴:x2
x1*theta1+x2*theta2+theta0=0
x2 = -(x1*theta1+theta0)/theta2
"""
# 绘制点
plot_logi()
# 初始化测试集的数据
x_test = [[-4],[3]]
# 计算分类函数
y_test = -(x_test*ws[1]+ws[0])/ws[2]
# 可视化
plt.plot(x_test,y_test)
plt.show()
如图所示,分类效果还可以。
7.绘制loss曲线。
# 绘制loss曲线
# 生成0,10000
x = np.linspace(0,10000,201)
plt.plot(x,costList)
plt.xlabel("epochs")
plt.ylabel("Cost")
plt.show()
可以看到,经过大约500次迭代后,loss值就趋于稳定了。
2.2 sklearn实现线性逻辑回归
- 下面介绍第二种方法,用sklearn实现,前面基本都一样,导入库和数据,将数据集可视化。
import numpy as np
import matplotlib.pyplot as plt
# 读取数据
data = np.genfromtxt("LR-testSet.csv",delimiter=",")
data
# 特征:选择前两列
x_data = data[:,:-1]
# 标签:y
y_data = data[:,-1]
def plot_logi():
# 初始化列表
x_0 = []
y_0 = []
x_1 = []
y_1 = []
# 切分不同类别的数据
for i in range(len(x_data)):
# 取类别为0的数据
if y_data[i] == 0:
# 将特征1添加到x_0中
x_0.append(x_data[i,0])
# 将特征2添加到y_0中
y_0.append(x_data[i,1])
else:
# 将特征1添加到x_1中
x_1.append(x_data[i,0])
# 将特征2添加到y_1中
y_1.append(x_data[i,1])
# 画图
plt.scatter(x_0,y_0,c="skyblue",marker="o",label="class0")
plt.scatter(x_1,y_1,c="red",marker="x",label="class1")
plt.legend()
plot_logi()
- 训练这一个环节相比方法一就简单太多了,两行代码搞定!
# 训练模型
logistic = LogisticRegression()
logistic.fit(x_data,y_data)
# 截距
print(logistic.intercept_)
# theta1 theta2
print(logistic.coef_)
输出结果,截距为θ0=11.386,斜率θ1=0.857,θ2=-1.542:
[11.38607726]
[[ 0.85767013 -1.54232428]]
3.进行可视化展示
# x2 = -(x1*theta1+theta0)/theta2
# 画出散点
plot_logi()
# 画出决策边界
x_test = np.array([[-4],[3]])
y_test = -(x_test*logistic.coef_[0,0]+logistic.intercept_)/logistic.coef_[0,1]
plt.plot(x_test,y_test)
plt.show()
如图,感觉分类效果比上面要好一点(这不是废话吗,人家可是sklearn哈哈哈):
4. 进行评分.
print(logistic.score(x_data,y_data))
得到结果为0.95,对于线性分类模型,这个结果已经非常不错了。OK,收工~
小伙伴,你学会了吗?扫码关注公众号,在后台回复“逻辑回归”即可获取数据集和源代码。
更多推荐

所有评论(0)