004 数字调制ASK,OOK,FSK,PSK,QAM,CPFSK
数字调制,就是将数字信号的变换转化成正弦(或余弦)幅度,频率,相位的变换。
数字调制
数字调制,就是将数字信号的变换转化成正弦(或余弦)幅度,频率,相位的变换。
ASK(Amplitude Shift Keying,幅移键控)
听着名字怪怪的哈,看图的话就很简单了,也称OOK(On-Off Keying),开关键控

FSK(Amplitude Shift Keying,频移键控)
FSK就是用不同频率的正弦波表示不同的二进制数字


PSK(Phase Shift Keying,相移键控)

QAM(Quadrature amplitude modulation,正交幅度调制)
QAM同时使用幅度和相位进行调制,两个信号正交(相位相差90)
CPFSK(Continuous-phase frequency-shift keying,连续相位FSK)
码元转换期间无相位突变
MSK(Minimum-shift keying,最小频移键控)
CPFSK的一种
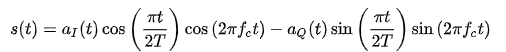
将输入的基带信号进行差分编码,分成码元交错一个的两路信号(aI(t),aQ(t)a_I(t), a_Q(t)aI(t),aQ(t)),两路信号分别进行加权(cos(π∗t/2T),sin(π∗t/2T)cos(\pi*t/2T), sin(\pi*t/2T)cos(π∗t/2T),sin(π∗t/2T)),调制(fcf_cfc)。
通过三角恒等式变换,上述公式可写成
bk(t)={+1if aI(t)==aQ(t)−1if aI(t)==−aQ(t)ϕk(t)={0if aI(t)==1πelse b_k(t)=\begin{cases} +1 &\text{if } a_I(t)==a_Q(t) \\ -1 &\text{if } a_I(t)==-a_Q(t) \end{cases} \phi_k(t)=\begin{cases} 0 &\text{if } a_I(t)==1 \\ \pi &\text{else } \end{cases} bk(t)={+1−1if aI(t)==aQ(t)if aI(t)==−aQ(t)ϕk(t)={0πif aI(t)==1else
| a_I(t) | a_Q(t) | b_k(t) | ϕk(t)\phi_k(t)ϕk(t) |
|---|---|---|---|
| 0 | 0 | +1 | π\piπ |
| 0 | 1 | -1 | π\piπ |
| 1 | 0 | -1 | 0 |
| 1 | 1 | +1 | 0 |
因此,数字信号被调制到了频率和相位上,且相位连续线性变化
GMSK(Gaussian,Minimum-shift keying,最小频移键控)
先通过高斯滤波器,然后进行MSK,拥有比MSK更窄的频谱,主瓣窄,旁瓣衰减更快
OFDM(Orthogonal Frequency Division Multiplexing,正交频分复用调制)
将信道分成若干正交子信道,将高速数据信号转换成并行低速子数据流
DPSK(Differential Phase Shift Keying,差分PSK)
PSK在传输中可能发生相位翻转,导致数据错误,DPSK用前后数据的相对相位传输数据
https://www.tutorialspoint.com/digital_communication/digital_communication_amplitude_shift_keying.htm
更多推荐
所有评论(0)