5GNR漫谈16:OFDM的符号定时同步与偏差(STO)
任何一个无线收发通信系统,不管是4G,5G,蓝牙,wifi,都要考虑两个同步,一个是定时同步,即接收端要找到接收信号的起始位置;另一个是载波同步,即发送端采用的晶振频率和接收端采用的晶振频率之间会有物理上的偏差,接收端要把这个偏差估计出来,并对数据进行补偿。在数字接收系统,还会涉及到用一个时钟来驱动DA芯片来进行采样,这样还会涉及到采样同步。采样时钟同步,对于单载波调制系统的影响还是挺大的,因为单
任何一个无线收发通信系统,不管是4G,5G,蓝牙,wifi,都要考虑两个同步,一个是定时同步,即接收端要找到接收信号的起始位置;另一个是载波同步,即发送端采用的晶振频率和接收端采用的晶振频率之间会有物理上的偏差,接收端要把这个偏差估计出来,并对数据进行补偿。在数字接收系统,还会涉及到用一个时钟来驱动DA芯片来进行采样,这样还会涉及到采样同步。
采样时钟同步,对于单载波调制系统的影响还是挺大的,因为单载波系统会对调制符号的电平进行判决,如果存在采样时钟同步偏差,这个偏差值会随着时长的积累而错判到其它调制符号上。而单载波系统的帧长往往是由承载数据量的大小决定的,比如一个BPSK调制,一个调制符号承载1个bit的数据,数据量越大,一次发送的调制帧就越长。存在采样时钟偏差时,越是末尾的数据,错判的概率就越大。所以,对于单载波系统,会有专门的算法来纠正采样时钟偏差,最著名的就是上世纪1986年提出的Gardner算法。后面有时间介绍蓝牙、wifi里面的802.11b等单载波调制,再介绍一下这个大名鼎鼎的采样时钟恢复算法。
不过对于OFDM系统,采样时钟偏差的影响没有那么大,因为每一个无线帧长有严格的固定,比如10ms一个无线帧,周而复始,基站会和GPS同步,终端又会过一段时间和基站调整同步。协议里又规定了采样时钟不能低于多少ppm(百万分之一,即1MHz单位的时候会偏差几Hz),满足了这个条件,采样时钟偏差对于OFDM的影响通常可以忽略。大多数接收机进行数据处理的时候,并不需要专门的把这个偏差估计出来,并对数据进行补偿。为什么?因为估计出来再补偿数据,太耗时太浪费运算资源,而带来的性能提升并不见得有质的改变,得不偿失,所以通常在实时的OFDM接收系统里面并不会针对采样频偏进行处理。不过,在OFDM系统测试仪里面,通常会有采样频偏估计测量的要求,因为要进行生产测量,也即测试仪要测量被测件的时钟偏差大不大,太大的话就要和供应商“讲道理”,以钱服人了。
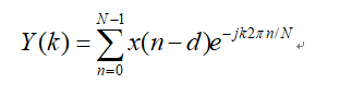
我们先来看看OFDM系统的定时影响,也即,如果找不准OFDM符号的起始位置会怎么样。很多书一上来就会告诉你时移结果的公式是什么什么,这样子填鸭式的方法比较让人难以接受。我们来看看漫谈15中,假如接收机接收定时准确,样点没有偏差,接收到的时间采样序列x(n)的傅立叶变换。
设定时偏差大小为d个样点,于是有
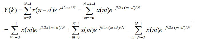
转换下标,令m=n-d,则有n=m+d,当n=0时,m=-d,当n=N-1时,m=N-1-d,于是
好了,见证有趣的时候来了。我们知道OFDM符号在时域组装的时候,会把屁股的一段挪到前头,形成循环前缀CP。
也就是说OFDM符号头尾符号是相同的数据,只要时间偏移落在CP内,则有x(-d)=x(N-d),这样,就有上式中的第一项和第三项是相等的,最终上式只会留下第二项,于是有
上式的物理意义在于:当发生时延d个样点时,接收解调的OFDM子载波位置上的数据会发生相位旋转,第k个子载波产生的相移大小为k2pi*d/N。相位旋转,最直观的表现为子载波上的数据星座图会转圈圈。同时我们也可以看到,OFDM调制技术,有极好的抗符号间干扰性能。这也是为什么4G LTE和5G NR都采用OFDM调制的原因。
对于QPSK是这样,黄色的调制数据发生定时偏移:
对于64QAM是这样,黄色的调制数据发生定时偏移:
上式能够推导出的前提是时钟偏差落在CP以内,如果时钟偏差落在CP以外,那么落在以外的那部分数据,在上式第一项和第三项中将不能被消除,留下来形成干扰,也即子载波干扰ICI,此时星座图表现为一团乱麻。透过现象看本质,做射频到基带数据的工程师,有经验的话通过星座图旋转就可以推断出基带数据存在定时偏移,具体是取缓存的时候地址没对齐还是定时有问题引入的时延,要具体排查。总之,给基带算法处理的数据不能存在系统定时时延,否则会影响到基站对终端的定时提前量TA值调整引入系统偏差。
是不是所有的通信系统存在定时偏差时都会如上图调制星座一样爱的魔力转圈圈?当然不是,具体系统具体分析。有了多载波的思想,我们可以用来分析思考,单载波调制系统,此时相当于整个系统没有了第一级的子载波正交调制,此时k=1,相位k2pi*d/N为定值,只会有固定的相位偏差;也可以直接理解,接收端IQ两路的固定时延,会使得调制符号的IQ两路判决的时间出现固定偏差,判决的I路和Q路合在一起,会出现相位图旋转如下:
那5GNR里面如何确定定时偏差呢?基站采用GPS授时,所有基站都会有相同的时钟源;终端通过小区搜索的PSS和SSS确定帧边界,也就确定了OFDM符号的定时同步。基站通过测量终端的PRACH序列和DMRS序列,或者是SRS序列,通过这些序列都是ZC序列,通过它们相关峰值,可以确定终端对本小区帧边界定时偏差情况。

喜欢 文章可添加公众号,回复SSB,LDPC,ZC可获得代码,回复TM,可获得TM测试用例数据
更多推荐


所有评论(0)