模糊综合评价法——解决评价指标模糊、难以量化的问题
模糊综合评价就是用隶属度把模糊概念的定性评价转化为定量评价,能较好地解决模糊的、难以量化的问题。本文详细讲解了关于模糊评价的基本概念,隶属函数的确定以及构建一级模糊综合评价和多级模糊综合评价模型解决实际应用案例。
模糊综合评价法
一、概述
(1)数学中研究的量的划分
确定性的量:经典数学(几何、代数)
不确定性的量:随机性(概率论、随机过程);灰性(灰色系统);模糊性(模糊数学)
(2)什么是模糊性
模糊性是与确定性相对的概念。比如生活中的性别、天气、年龄、身高、体重……这些都是确定性概念;而帅、高、白、年轻……则都是模糊性概念(因为没有非常科学的方法来定义这些量)。
(3)模糊数学的介绍
模糊数学⼜称Fuzzy (模棱两可的)数学,是研究和处理模糊性现象的⼀种数学理论和方法。模糊性数学发展的主流是在它的应⽤⽅⾯。 由于模糊性概念已经找到了模糊集的描述⽅式,⼈们运⽤概念进⾏判断、评价、推理、决策和控制的过程也可以⽤模糊性数学的⽅法来描述。例如模糊聚类分析、模糊模式识别、模糊综合评判、模糊决策与模糊预测、模糊控制、模糊信息处理等。 这些⽅法构成了⼀种模糊性系统理论,构成了⼀种思辨数学的雏形,它已经在医学、⽓象、⼼理、经济管理、⽯油、地质、 环境、⽣物、农业、林业、化⼯、语⾔、控制、遥感、教育、体育等⽅⾯取得具体的研究成果。
二、经典集合和模糊集合的基本概念
(1)经典集合(classical set)和特征函数(characteristic function)
a)经典集合:具有相同属性的事物的集体。例如自然数集、颜色、性别、手机品牌。
b)经典集合的基本属性:①互斥性:若a∈A,b∈A,则a b ; ②确定性:对于a,要么有a∈A,要么有a∉A(非此即彼)。
c)数学中对于经典集合的刻画:特征函数
f:U
{0,1} (意思是函数 f
作用于U上,把U中的每一个元素映射到0和1的一个集合里面)。其中 f
:A集合的特征函数;U:论域(我们感兴趣的一些对象的集合)。
举个例子:
设A是表示成绩及格的集合,即A = {60,61,…,100}, f =
,U是全班成绩的一个集合{68,77,…,40};则对
x
U, f
=
(注:U可看作定义域,{0,1}可视为值域)
(2)模糊集合(fuzzy set)和隶属函数(membership function)
a)模糊集合:用来描述模糊性概念的集合。(帅、高、白、年轻)
b)与经典集合相比,模糊集合承认亦此亦彼。(所以对于a,它可能属于A,也可能属于B,我们关心的是a∈A或者a∈B的“概率”,也就是隶属度)
c)数学中对于模糊集合的刻画:隶属函数
g:U
[0,1] (注意与{0,1}的区别,经典集合{0,1}中只有0和1两个元素,而模糊集合[0,1]是一个区间,其中有无数种可能)其中g
称为模糊集合A的隶属函数。
举个例子:
设A是表示“年轻”的一个集合,U=(0,150)表示年龄的集合,那什么是隶属函数呢?
比如就是一个隶属函数,对应的1,(40-x) / 20 ,0就是相应x值的隶属度。注意:隶属函数不唯一!这里20
x
40时,还可以是其他的解析式。(后面我们再来讲确定隶属函数的三种常见方法)因此,对于U中每一个元素,均对应于模糊集合A中的一个隶属度,隶属度介于[0,1],越大表示越属于这种集合。
注:若对于一个模糊集合A我们给定了一个隶属函数,则我们可以将A和
视为等同。(方便符号表示,即
)
d)模糊集合的三种表示方法
设论域U = {x,x
,…,x
}是我们感兴趣的一些对象的集合,模糊集合为A,隶属度为
,i=1,2,…,n.
①Zadeh表示法(扎德表示法):
注意:这里的“+”不要理解为加法,只是一种记法而已,便于论域U为无限集合的表示。
②序偶表示法:
③向量表示法:
举个例子:现有四个人:张三、李四、王五、老六,其知法程度分别为0.9、0.6、0.7、0.8,试用模糊集合对其表示。
解:U = {张三,李四,王五,老六},A = 知法程度,A(张三) = 0.9(即 (张三)=0.9 ),A(李四) = 0.6,A(王五) = 0.7,A(老六) = 0.8.则
① A = 0.9/张三 + 0.6/李四 + 0.7/王五 + 0.8/老六
② A = { (张三,0.9),(李四,0.6),(王五,0.7),(老六,0.8) }
③ A = {0.9,0.6,0.7,0.8}
特别地,当论域U为无限集合时, (用一个积分号来表示)
e)模糊集合的分类
一般的,我们可以将模糊集合分为三类:
偏小型:年轻、小、冷
中间型:中年、中、暖
偏大型:年老、大、热
一般在确定隶属函数时,偏小型图像递减,中间型图像先递增后递减,偏大型图像递增。
三、隶属函数的三种确定方法
(1)模糊统计法(比赛中很少用,要设计发放问卷,可能来不及,但在实际做研究中用的较多)
原理:找多个人去对同一个模糊概念进行描述,用隶属频率去定义隶属度。
例子:定义“年轻人”的隶属函数
①定义人的年龄为论域U,调查n个人;
②让这n个人仔细考虑好“年轻人”的含义后,给出他们认为的最合适的年龄区间;
③对于任意一个确定的年龄,比如25岁,若这n个人中有m个人给出的“年轻人”的年龄区间包含有25,则称 m/n 为25岁对于“年轻人”这个概念的隶属频率;
④以此类推,我们可以找出所有年龄对于“年轻人”的隶属频率;
⑤若n很大时,隶属频率会趋于稳定,此时我们可将其视为隶属度,进而得到隶属函数。
(2)借助已有的客观尺度(需要有合适的指标,并能收集到数据)
| 论域 | 模糊集 | 隶属度 |
|---|---|---|
| 设备 | 设备完好 | 设备完好率 |
| 产品 | 质量稳定 | 正品率 |
| 家庭 | 小康家庭 | 恩格尔系数 |
比如说这里,“设备完好”、“质量稳定”、“小康家庭”都是几个比较模糊的概念,但我们可以分别借助设备完好率(设备完好个数/设备总数)、正品率(正品数/产品总数)、恩格尔系数来表示隶属度
。
注:这里我们找的指标必须介于0和1之间,如果不是则需要进行归一化处理 ,
(3)指派法(根据问题的性质直接套用某些分布作为隶属函数,主观性较强)


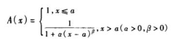
eg1.请用柯西分布确定“年轻人”的隶属函数。
解:“年轻人”是偏小型,对应的柯西分布
。显然,这里面有三个未知参数a、α、β,其中a是分段点,根据生活经验(或别人的研究成果、常识),我们令a=20,A(30)=0.5(因为40岁一般是中年人,30在20—40中间,故其隶属度可设为1/2),同时,β在指数部分,我们一般倾向于简化模型,则β可取1或者2,由这些又可解出α=0.01.
eg2.已知某一天SO的浓度为0.07
/
,大气污染物中关于SO
的评价标准为:
| Ⅰ级 | Ⅱ级 | Ⅲ级 | Ⅳ级 |
|---|---|---|---|
| 0.05 | 0.15 | 0.25 | 0.50 |
试确定SO在每个等级中的隶属度。
分析:SO浓度越大说明等级越高,因此,Ⅰ级为偏小型,Ⅳ级为偏大型,Ⅱ级和Ⅲ级为中间型。确定隶属函数我们一般用的最多的是梯形分布。结合梯形分布函数特点我们可得四个等级的隶属函数分别如下:

(等号在哪一边无所谓,一般使用梯形分布最为简单)
则 ,
,
.
(注:使用梯形分布得到的各评语的隶属度的和恰好为1,但其他分布得到的各评语的隶属度的和不一定为1)
下节我们主要讲下第四部分:模糊综合评价在具体案例中的应用。
更多推荐


所有评论(0)