【软件测试-实验-2】基本路径测试方法
一、实验目的1、能熟练应用白盒测试技术(基本路径测试方法)进行测试用例设计。2、对测试用例进行优化设计。二、实验环境操作系统:Windows 7,Windows 10应用系统:Visual C++、Office三、实验任务任务一:如下代码,代码功能是:用折半查找在元素呈升序排列的数组中查找值为key的元素。用基本路径测试方法,画出程序控制流图,计算环形复杂度V(g),找出基本测试路径...
·
一、实验目的
1、能熟练应用白盒测试技术(基本路径测试方法)进行测试用例设计。
2、对测试用例进行优化设计。
二、实验环境
操作系统:Windows 7,Windows 10
应用系统:Visual C++、Office
三、实验任务
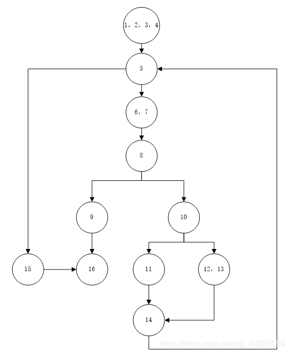
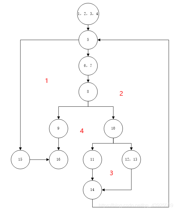
任务一:如下代码,代码功能是:用折半查找在元素呈升序排列的数组中查找值为key的元素。用基本路径测试方法,画出程序控制流图,计算环形复杂度V(g),找出基本测试路径并设计测试用例。
private int BinSearch(int array[],int key)
1 {
2 int mid,low,high;
3 low=0;
4 high = array.Length - 1;
5 while (low <= high)
6 {
7 mid = (low + high) / 2;
8 if (key == array[mid])
9 return mid;
10 else if (key < array[mid])
11 high = mid - 1;
12 else
13 low = mid + 1;
14 }
15 return -1;
16 }
解题:
1.绘制程序控制流图

2.计算环形复杂度

环形复杂度V(g)=4
3.使用基本路径测试法
基本测试路径:
- 5-15-16
- 5-6-7-8-9-16
- 5-6-7-8-10-11-14-5
- 5-6-7-8-10-12-13-14-5

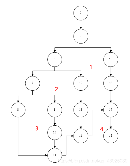
任务二:如下代码,用来闰年,用基本路径测试方法,画出程序控制流图,计算环形复杂度V(g),找出基本测试路径并设计测试用例。

解题:
1.绘制程序控制流图

2.计算环形复杂度

环形复杂度V(g)=4
3.使用基本路径测试法
基本测试路径:
- 2-3-5-7-8-11-14-17-18
- 2-3-5-7-9-10-11-14-17-18
- 2-3-5-12-13-14-17-18
- 2-3-15-16-17-18

四、实验小结
通过本次实验,使我更加熟悉了,基本路径测试法的步骤,画图时,一直在if语句犹豫不决,还有对于‘{’的取舍不定。画图时就自动忽略了‘{’
更多推荐


所有评论(0)